【引言】
全球快速工业化导致陆地元素资源高度紧张,诸如铁,硅,钛和铝等元素的氧化物因地表含量丰富而极具吸引力,同时它们在能量储存,催化作用和采光等重要领域有着重要作用。然而,这些金属氧化物介导转化过程的能力是有限,通过温和而简单的方法对这些材料性能进行微调以达到高的转化效率仍然具有挑战性。最近,有学者报道了用分子交联的方法改性金属氧化物。
【成果简介】
近日,加州大学伯克利分校的Alexander M. Spokoyny (通讯作者)等人在Nat. Mater.上发布了一篇关于金属氧化物的文章,题为“A molecular cross-linking approach for hybrid metal oxides”。作者创新的通过“分子交联”法成功地对金属氧化物进行了改性。其中混合分子氧化硼材料由多面体硼簇前体形成,这种新方法由硼簇分子结构单元固有的坚固性所支持的,该结构与金属氧化物合成所需苛刻的热学和氧化条件相容。文中,作者利用一系列实验技术和材料模拟手段,展示了这种材料如何与TiO2和其他金属氧化物成功对接,从而制备出了具有优异光物理和电化学特性的富硼杂化材料。
【图片导读】
图1 现有制备方法概述

(a) 金属氧化物化学改性的不同方法:使用有机和无机染料敏化金属氧化物表面;
(b) 材料合成的综合路径;
(c) 材料3的漫反射UV-vis数据。
图2 材料3的结构数据

(a) 商用TiO2和材料3的PXRD图揭示了在锐钛矿相中存在TiO2晶体;
(b) 材料3的TEM图像;
(c) 材料3的STEM图像,显示了嵌入材料2中的致密TiO2纳米颗粒;
(d) [NnBu4]2[B12(OH)12] 的硼1s区在187.8eV和191.2eV处显示两个峰;
(e) 材料3的钛2p区域分别在459.1eV和464.8eV处显示出峰;
(f) TiO2,材料2和3的氧1s区域。
图3 锐钛矿TiO2和材料3 的XANES和EXAFS数据

(a) 材料3的XANES测量结果与锐钛矿TiO2的测量结果进行比较;
(b) 材料3和锐钛矿的k平方加权EXAFS函数。
图4 固态硼的 MAS NMR和PDF分析

(a) 材料3的固态1D单脉冲11B MAS NMR(顶部)和11B {1H} CP-MAS(底部)光谱;
(b) 材料2的2D J-介导的(通过键)11B {11B}相关谱;
(c) 材料2和3的PDF分析;
(d) 使用B2O3和无定形硼控制材料2和3的附加PDF分析。
图5 材料电化学性质的数据3

(a) 材料2和3在室温下的EPR光谱;
(b) 铁-亚铁氰化物的氧化还原CV曲线;
(c) 材料3,锐钛矿和金红石TiO2的电子转移速率常数;
(d) 袋式电池超级电容器的示意图;
(e) 袋型超级电容器的CV曲线;
(f) 恒电流充电/放电曲线。
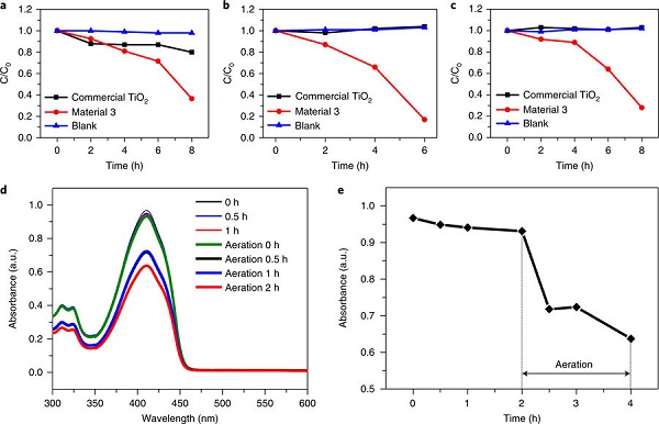
图6 材料3的电化学性质数据

(a-c) 三种染料的光催化降解;
(d) 紫外可见光谱。
【小结】
作者通过TiO2的成功改性证实了分子交联可作为实现金属氧化物材料性质变化的一种新策略。实验结果表明,分子交联的方法可以用到含有ZrO2的杂化材料。材料的独特结构显著改善了的电和光化学行为,文中通过快速电子转移速率,低电阻率和在红光下降解常见染料污染物的能力证明了性能的提高。
文献链接:A molecular cross-linking approach for hybrid metal oxides (Nat. Mater., 05 March, 2018 , DOI: 10.1038/s41563-018-0021-9)
本文由材料人编辑部金属学术组jcfxs01供稿,材料牛编辑整理。
材料牛网专注于跟踪材料领域HTH官网地址 及行业进展,这里汇集了各大高校硕博生、一线科研人员以及行业从业者,如果您对于跟踪材料领域HTH官网地址 进展,解读高水平文章或是评述行业有兴趣,点我加入编辑部大家庭。
欢迎大家到材料人宣传HTH官网地址
成果并对文献进行深入解读,投稿邮箱tougao@cailiaoren.com。
投稿以及内容合作可加编辑微信:RDD-2011-CHERISH,任丹丹,我们会邀请各位老师加入专家群。
材料测试、数据分析,上测试谷!





