当前位置: 材料牛 » HTH官网地址 » Advanced Materials:克服平面结钙钛矿电池的界面损失【新能源160512期】

Advanced Materials:克服平面结钙钛矿电池的界面损失【新能源160512期】

钙钛矿电池作为第三代太阳能电池的新秀,光电转化效率已高达22%,远远高于薄膜、染料和量子点敏化太阳能电池的效率,可以和硅基太阳能电池相媲美。但是,滞后现象(所谓滞后现象是指钙钛矿电池在进行效率J-V曲线测量时,性能会随着测试正向和反向而不同,更有甚者,改变测试时的速率和也会改变性能曲线。)一直是困扰和阻碍钙钛矿电池进一步发展的主要原因之一。因此,探索滞后现象的本质原因以及一定程度的降低滞后现象,无疑是太阳能电池的里程碑式的进步。

近日,埃尔朗根-纽伦堡大学的Yi Hou和Christoph J. Brabec课题组发现了以NiO纳米晶体(LT-NiO)作为空穴传输材料的钙钛矿电池的滞后现象得到了显著的降低,该电池的光电转化效率达17.5%,相比基于3,4-乙撑二氧噻吩单体-聚苯乙烯磺酸盐聚合物(PEDOT:PPS)空穴传输层的钙钛矿电池(12.4%),提高了41.1%。

本工作的亮点在于低温环境下制备的以LT-NiO为空穴传输层的钙钛矿电池,其滞后现象几乎消失。同时,文章比较系统的对比了LT-NiO与传统空穴传输材料(PEDOT:PPS),并对不同热处理温度LT-NiO膜进行电池性能的研究。最后,为进一步提高电池光电转化效率,作者引入了二萘嵌苯—二酰亚胺衍生物(PDINO)作为电子传输的辅助层,从而使填充因子得到极大提升。

以下是该工作图文详解:

adma201504168-fig-0001
1. (a)电池结构示意图:导电玻璃(ITO)/LT-NiO/钙钛矿(Perovskite)/富勒烯衍生物(PCBM)/(PDINO)/Ag,(b) PDINO的分子结构。(c) LT-NiO的晶体结构,(d)反向钙钛矿电池的能带匹配图,(e)和(f)分别是以PEDOT:PPS和 LT-NiO为基底的钙钛矿膜的形貌,(g)和(h)分别是以PEDOT:PPS和 LT-NiO空穴传输层的完整钙钛矿电池的截面图。

adma201504168-fig-0002

2. NiO纳米颗粒的透射电镜图(a),高分辨下的电镜图(b)和选定区电子衍射(c)。

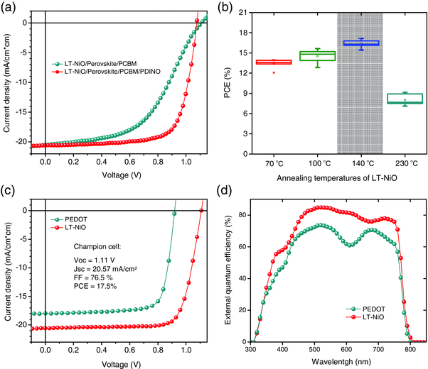
adma201504168-fig-0003

3. 不同界面层的J-V测试曲线。(a)有无添加PDINO 的电池的J-V曲线,很明显看出,添加了PDINO层的电池填充因子有了很大的提高,(b)处理温度对电池性能的影响,对LI-NiO层进行140°C热处理后的效率是最佳的,(c) 以PEDOT:PPS和 LT-NiO为空穴传输材料的电池性能,与传统空穴传输材料相比,表现出良好的光电转化效率,最高效率达17.5%,(d) LT-NiO空穴传输材料的电池的外量子转化效率在全波段都高于PEDOT:PPS电池的外量子转化效率,说明LT-NiO材料加速了载流子的分离和空穴的传输。

adma201504168-fig-0004

4. 不同界面层的电池的滞后现象和稳态电流。(a)传统空穴传输材料制备的电池的正反扫曲线,可以看出PEDOT:PPS电池滞后现象严重,(b)添加PDINO层后,电池的正反扫曲线重合,说明该电池的滞后现象消失,(c)同时添加LT-NiO 和PDINO 层的电池滞后现象消失,相比(b),短路电流和开路电压均得到提升,效率也明显增加,(d)稳态电流比介孔钙钛矿电池还要高,说明该电池的稳定性可以和介孔钙钛矿电池相比拟。

adma201504168-fig-0005

5. 傅里叶变换光电流光谱(FTPs) 和光致发光(EL)测量。

结合FTPs和EL研究,可以得出LT-NiO2相比于PEDOT:PPS有效抑制了非辐射复合,其非辐射损失电压(Voc)只有0.226V,与Si电池和CIGS电池的损失值相当。

以LT-NiO2为空穴传输层,结合PCBM/PDINO电子传输层的低温制备的钙钛矿电池成功削弱了滞后现象,并获得了17.5%的光电转换效率,是目前低温制备的平面结钙钛矿电池中的最高效率。因此,该钙钛矿电池有望从实验室走向实际应用。

该工作发表于Advanced Materials (IF= 17.493), 原文链接::Overcoming the Interface Losses in Planar Heterojunction Perovskite-Based Solar Cells.

该文献导读由材料人新能源学术小组  水牛牛  供稿,参与新能源话题讨论请加入“材料人新能源材料交流群 422065952”,若想参与新能源文献解读和文献汇总、新能源知识科普和深度挖掘新能源学术产业信息,请加qq 2728811768。

欢迎各大课题组到材料人宣传HTH官网地址 成果并对文献进行深入解读,投稿邮箱tougao@cailiaoren.com

未经允许不得转载:材料牛 » Advanced Materials:克服平面结钙钛矿电池的界面损失【新能源160512期】

相关文章

Baidu
map