【引言】
手性在自然界中无处不在,在对映体选择性催化,药物科学,光学器件中起着关键作用。迄今为止,许多手性纳米簇已被发现或合成。原子级精确的纳米团簇是探测手性起源的良好模型。然而,与手性有机化合物或其他小分子不同,大尺寸手性结构,如纳米颗粒或纳米簇的不对称合成仍然是一个真正的挑战,这阻碍了解开金属纳米簇手性起源的进展。
【成果简介】
近日,在厦门大学郑南峰教授课题组和Boon K. Teo教授(共同通讯作者)的带领下,与芬兰于韦斯屈莱大学合作,报道了一种通过配体的不对称排列破坏(降低)非手性金属内核的对称性来合成手性纳米团簇的方法,并对所合成的手性Au13Cu2团簇的手性来源进行了解释。他们使用非手性二膦(DPPP)与巯基吡啶混配体,得到的是一对外消旋体[Au13Cu2(DPPP)3(SPy)6]+,难以分离;通过单晶结构分析发现外消旋的Au13Cu2团簇的两种手性构型与其使用的双二苯基膦丙烷中C-C-C链的取向有直接关系,在合成中直接引入了手性双膦(2r,4r/2s,4s-BDPP),使得双膦配体中C-C-C链的取向可以通过手性季碳的绝对构型得以固定,得到了100% 光学纯R或S构型Au13Cu2团簇[Au13Cu2(2r,4r-BDPP)3(SPy)6]+和[Au13Cu2(2s,4s-BDPP)3(SPy)6]+。此外,他们还结合结构分析和理论计算发现了该团簇的手性主要源于巯基吡啶(非手性配体)的不对称排列,而手性双膦配体的作用主要是提供空间位阻以稳定巯基吡啶的不对称排列,并不直接贡献于团簇的手性光谱信号。该研究为制备内核为非手性的手性金属纳米颗粒提供了一种有效的合成策略,并为解释手性纳米材料的手性来源提供了很好的模型。相关成果以题为“From Symmetry Breaking to Unraveling the Origin of the Chirality of Ligated Au13Cu2 Nanoclusters”发表在了Angew. Chem. Int. Ed.上。
【图文导读】
图1 [Au13Cu2(DPPP)3(SPy)6]+的结构图

a)对映体对[Au13Cu2(DPPP)3(SPy)6]+(左:2-R;右:2-S)的分子结构;
b-e)从Au13(b)的Ih到Au13Cu2(c)的D3d到Au13Cu2(SPy)6(d)的C3到[Au13Cu2(DPPP)3(SPy)6]+(e)的C1的对称破裂。橙色代表Au,绿色代表Cu,粉红代表P,黄色代表S,蓝色代表N,灰色和淡蓝色代表C。为了清晰起见,省略了所有的氢原子。
图2 两种对映体金属簇3-R和3-S的结构图

两种对映体呈现出完美的镜像对称性,金属簇为3-R和3-S。橙色代表Au,绿色代表Cu,粉红代表P,黄色代表S,蓝色代表N,灰色和淡蓝色代表C。为了清晰起见,省略了所有的氢原子。
图3 CH2Cl2中产物的光谱表征

a)CH2Cl2中的2和3-R的实验和计算的UV/Vis光谱。在理论光谱中,通过使用0.1eV的高斯宽度,单个光学跃迁已被折叠成平滑曲线。
b)CH2Cl2中3-R单晶的ESI-MS。
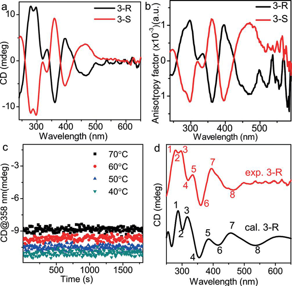
图4 对映体的圆二色性(CD)谱及稳定性表征

a)3-R和3-S的对映体的圆二色性(CD)谱;
b)3-R和3-S对映异构体的相应各向异性因子(g = A/A高达1.2×10-3);
c)在DMF溶液中,在358nm下3-R的消旋实验对不同温度的函数响应;
d)3-R的实验(红色)和计算(黑色)CD谱,有8个可区分的特征。
【小结】
该研究介绍了一种使用混合配体(二膦和硫醇盐)来合成内核为非手性,手性仅由配体的不对称排列引起的手性金属团簇的方法,并对手性Au13Cu2团簇的手性来源进行了解释。结构分析表明膦和硫醇盐配体之间的相互作用导致表面配体的不对称排列,从而引起手性。使用手性二膦取代非手性二膦,可以实现在一锅合成中100%光学纯度和高收率的对映选择性合成手性纳米簇。消旋实验表明该方法合成的3-R团簇在70℃未观察到消旋现象,该团簇的高稳定性使得在不对称催化,生物医学等领域中具有很好的应用前景。
文献链接:From Symmetry Breaking to Unraveling the Origin of the Chirality of Ligated Au13Cu2 Nanoclusters(Angew. Chem. Int. Ed.,2018,DOI: 10.1002/anie.201800327)
本文由材料人编辑部学术组木文韬编译,论文通讯作者郑南峰教授修正供稿,材料牛整理编辑。
材料牛网专注于跟踪材料领域HTH官网地址 及行业进展,如果您对于跟踪材料领域HTH官网地址 进展,解读高水平文章或是评述行业有兴趣,点我加入编辑部。欢迎大家到材料人宣传HTH官网地址 成果并对文献进行深入解读,投稿邮箱tougao@cailiaoren.com。
仪器设备、试剂耗材、材料测试、数据分析,找材料人、上测试谷!





