【引言】
金属锂具有极高的理论比容量和最低的氧化还原电极电势,因而成为了下一代高能量密度储能电池(下一代锂离子电池、锂硫电池、锂空电池等)最理想的负极材料。然而,金属锂充放电过程中的枝晶问题和锂与电解质界面膜的稳定性问题严重地降低了锂金属电池的循环效率,缩短了电池的使用寿命,甚至带来了一定程度的安全隐患,严重阻碍了锂金属电池的发展。
最近,研究者们提出了诸多基于导电碳骨架或金属骨架的金属锂负极。然而,很多此类骨架并未预先复合金属锂,而是作为无锂集流体进行半电池测试。这样的无锂集流体难以直接应用到全电池中。因此,如何高效地将金属锂预先复合到集流体结构中形成可直接装配为各类全电池的高性能复合锂金属负极成为了研究的重点。
【成果简介】
近日,清华大学张强教授研究团队在Cell Press旗下的能源领域新刊Joule发表了题为” Coralloid Carbon Fiber-Based Composite Lithium Anode for Robust Lithium Metal Batteries”的文章,文中采用电镀银涂层的方法将碳纤维骨架(CF)的表面改性为亲锂表面,进而可使液态熔融金属锂能够迅速吸入具有银涂层的碳纤维骨架(CF/Ag),制得高性能的复合锂金属负极(CF/Ag-Li)。其中的银镀层一方面可使任何导电骨架改性为可虹吸液态熔融锂的亲锂导电骨架,另一方面还可以降低金属锂的沉积过电势,获得高倍率下优异的循环稳定性和无枝晶无“死锂”的循环形貌。所设计的复合锂金属负极还可与硫正极和磷酸铁锂正极等直接装配为性能优异的锂硫电池和磷酸铁锂电池。
【图文导读】
图1:CF/Ag-Li复合负极的制备

碳纤维(CF)、珊瑚状镀银碳纤维(CF/Ag)、表面灌注熔融锂的复合负极(CF/Ag-Li (I))、完全灌注熔融锂的复合负极(CF/Ag-Li (II))的(A)示意图和(B)扫描电镜照片及光学照片。
图2:熔融锂灌注过程

(A)熔融锂灌注过程光学照片;
(B)CF原始截面扫描电镜照片;
(C)CF/Ag-Li复合负极的截面扫描电镜照片。
图3:CF/Ag-Li复合负极的化学表征

(A)XRD谱图;
(B, C)密度泛函理论(DFT)计算得到的Li原子与Ag原子、C原子结合能。
图4:CF/Ag-Li复合负极的循环形貌

(A-C)CF/Ag-Li在半电池中脱锂的原位光学显微照片;
(D-G)CF/Ag-Li在第一圈脱锂、第一圈重嵌锂、第五圈脱锂、第五圈重嵌锂的扫描电镜照片;
(H, I)CF/Ag-Li在大容量脱锂后的扫描电镜照片。
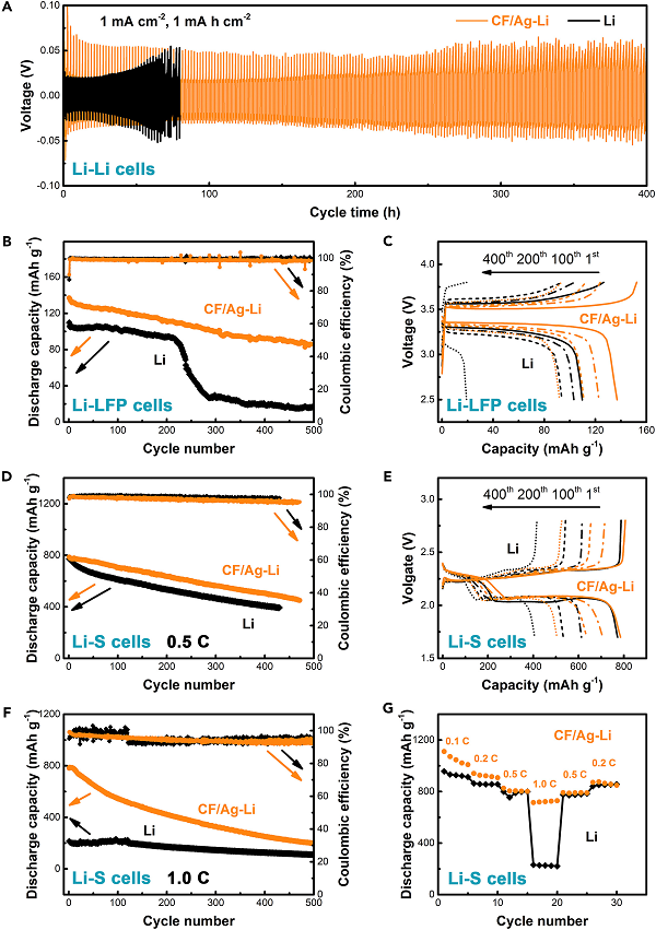
图5:长循环电化学性能

(A)CF/Ag-Li|Li半电池的长循环电压曲线;
(B, C)CF/Ag-Li|LFP磷酸铁锂电池在1.0 C下的放电容量、库伦效率和充放电电压曲线;
(D, E)CF/Ag-Li|S锂硫电池在0.5 C下的放电容量、库伦效率和充放电电压曲线;
(F)CF/Ag-Li|S锂硫电池在1.0 C下的放电容量、库伦效率;
(G)CF/Ag-Li|S锂硫电池的倍率性能。
【小结】
通过采用电镀银涂层的方法将碳纤维骨架(CF)的表面改性为亲锂表面,进而可使液态熔融金属锂能够迅速吸入具有银涂层的碳纤维骨架(CF/Ag),制得高性能的复合锂金属负极(CF/Ag-Li)。其中的银镀层一方面可使任何导电骨架改性为可虹吸液态熔融锂的亲锂导电骨架,另一方面还可以降低金属锂的沉积过电势,获得高倍率下优异的循环稳定性和无枝晶无“死锂”的循环形貌。所设计的复合锂金属负极可以在10 mA cm-2和10 mAh cm-2的极高倍率下以很低的极化稳定循环超过160圈,其还可与硫正极和磷酸铁锂正极等直接装配为性能优异的锂硫电池和磷酸铁锂电池。其磷酸铁锂电池可在1.0 C倍率下稳定循环超过500圈,而锂硫电池在0.5 C下的初始放电容量可达781 mAh g-1,并保持高容量循环超过400圈。该工作的导电骨架镀银灌锂方法可普适于任何基于导电骨架的复合金属锂负极设计与制备,其镀银层可实现高效的预置金属锂复合,并实现无枝晶、无“死锂”的循环容貌,进而获得在锂硫电池等全电池体系中优异的电化学性能,为锂金属电池的研究提供了新的设计研究思路。
张强教授课题组致力于能源材料,尤其是金属锂、锂硫电池、电催化方面的研究。在金属锂电池领域内,通过先进手段研究固态电解质膜,通过引入纳米骨架、修饰表面固态电解质保护层等方法调控金属锂的沉积行为,实现金属锂电池的高效安全利用。这些相关研究工作发表在《微尺度》(Small 2014, 10, 4257);《美国化学学会·纳米》(ACS Nano 2015, 9, 6373);《先进材料》(Advanced Materials 2016, 28, 2155-2162; Advanced Materials 2016, 28, 2888-2895);《美国化学会会志》(Journal of the American Chemical Society 2017, 139, 8458);《德国应用化学》(Angewandte Chemie International Edition 2017, 56, 7764);《能源存储材料》(Energy Storage Materials 2017, 6, 18-25);《化学》(Chem 2017, 2, 258–270);《自然通讯》(Nature Communications 2017, 8, 336);《美国科学院院报》(PNAS 2017, 114, 11069–11074)等知名期刊上。该研究团队同时在金属锂负极领域申请了一系列发明专利。近期,该研究团队在Chem. Rev.上进行了二次电池中安全金属锂负极评述(Chem. Rev. 2017, 117, 10403)。
文献链接: Zhang R, Chen X, Shen X, Zhang XQ, Chen XR, Cheng XB, Yan C, Zhao CZ, Zhang Q. Coralloid Carbon Fibers based Composite Lithium Anode for Robust Lithium Metal Batteries. Joule 2018, 10.1016/j.joule.2018.02.001.
感谢清华大学张强教授课题组供稿!
材料牛网专注于跟踪材料领域HTH官网地址 及行业进展,如果您对于跟踪材料领域HTH官网地址 进展,解读高水平文章或是评述行业有兴趣,点我加入编辑部大家庭。
欢迎大家到材料人宣传HTH官网地址 成果并对文献进行深入解读,投稿邮箱tougao@cailiaoren.com。
材料测试,数据分析,上测试谷!





