【引言】
一般来说,对结晶过程进行预测调控,有助于合成具有优异性能的块体非晶合金及纳米合金。对块体非晶合金在过冷液相区退火处理,可获得含有均匀分布的高密度纳米晶析出物的纳米复合材料。对于具有玻璃形成能力的合金系统,理解其非经典的结晶路径仍是非晶态科学中极具挑战性的课题。
【成果简介】
近日,香港城市大学/香港城市大学深圳研究院的王循理教授与南京理工大学的兰司教授、北京HTH官网地址 大学的吕昭平教授等合作开展了相关研究工作,其研究成果以“Structure origin of a transition of classic-to-avalanche nucleation in Zr-Cu-Al bulk metallic glasses”为题发表在Acta Materialia上。该工作系统研究了一系列不同玻璃形成能力的Zr-Cu-Al块体非晶合金的结晶动力学,实验结果揭示了等温退火过程中经典形核到雪崩形核的转变。经典模式以连续形核并生长Zr2Cu型晶体。雪崩模式以形成大量Cu10Zr7型析出物和复杂、低对称性的晶体结构为特征,在Cu10Zr7型晶相形成之前,存在一个异常放热峰,通过电子显微镜可在该位置观察到亚稳态的非晶/半晶体相。该结果显示亚稳相的形成可能会降低形核自由能垒,激发雪崩形核过程。中子衍射的对分布函数分析表明,短程团簇简单连接得到的中程序,可能有利于雪崩形核。
【图文导读】
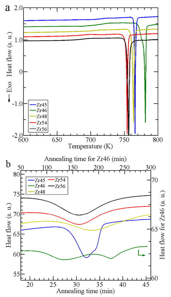
图1: Zr45Cu49Al6, Zr46Cu46Al8, Zr48Cu45Al7, Zr54Cu38Al8, Zr56Cu36Al8(简称Zr45, Zr46, Zr48,Zr54和Zr56)块体非晶合金的热分析结果。

(a) 所有非晶合金在加热速率为10K/min的DSC扫描图谱;
(b) 五种块体非晶合金在约1.03Tg时等温退火的结果,Zr45和Zr46有两个放热峰,Zr54,Zr56和Zr48均只有一个放热峰。
图2:晶化过程中,中子衍射结构因子S(Q)随Q和等温退火时间变化的3D图。

Zr45和Zr46的布拉格峰的强度在孕育期后剧烈增加,此后趋于平缓。然而,Zr48,Zr54和Zr56的布拉格峰强度仍逐渐增加。
图3:体系的中子衍射结构因子表征。

(a) 铸态块体非晶合金的中子衍射结构因子S(Q),红色箭头表示第一衍射峰的峰值位置Q1;
(b) 合金晶化后,最终晶相产物的S(Q);
(c) 最终晶相产物的结构精修结果。
图4:每个块体非晶合金的归一化积分强度随退火时间变化情况。

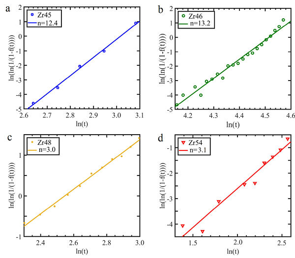
图5:不同Zr含量的Zr-Cu-Al块体非晶合金的Avrami曲线。

(a)Zr45; (b)Zr46; (c)Zr48; (d)Zr54.
图6:~1.03Tg温度退火,不同结晶路径的Zr56和Zr46非晶合金的原位透射电子显微镜图像。

(a)不同退火时间的Zr56非晶合金的TEM结果;
(b)不同退火时间的Zr46非晶合金的TEM结果;
图7:退火态Zr46样品的TEM表征。

(a) ~1.03Tg退火75min的Zr46样品的明场透射电子显微镜图像,内插图的选区电子衍射结果表征样品的非晶本质;
(b) ~1.03Tg退火75min的Zr46样品的高分辨透射电子显微镜图像;
(c) 更高放大倍数的高分辨透射电子显微镜图像;
(d) ~6h退火时间的Zr46合金的明场透射电子显微镜图像。
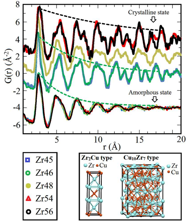
图8:不同退火温度下,通过Q(S(Q)-1)傅里叶变换获得的约化的对分布函数G(r)。

(a) Zr45BMG;(b) Zr46BMG ; (c) Zr54BMG;(b) Zr56BMG。
黑色箭头表示退火期间第二和第三壳层峰强度的演化。
图9:晶态产物和铸态非晶态Zr-Cu-Al合金通过衰减指数函数拟合的约化对分布函数。越无序、复杂的体系其有序度随着r的增大衰减越快。

图10:块体非晶合金结晶过程示意图。

(a) 一步经典形核路径。TEM结果(i-iv)显示连续形核和长大过程。
(b) 雪崩形核的两步形核路径。TEM结果(i-iv)显示孕育期内类非晶前驱体或半晶体团簇。明场TEM图像是退火时原位拍摄的。高分辨透射电镜图像用的是和明场TEM相同组成和结晶阶段的类比样品。
【小结】
综上,差示扫描量热法(DSC)、原位中子衍射和原位透射电镜共同揭示了不同玻璃形成能力和热力学行为的Zr-Cu-Al块体非晶合金的经典形核-雪崩形核转变。可将研究的块体非晶合金分为两类:Zr2Cu型(非AEP型)和Cu10Zr7型(AEP型)。研究提出对于AEP型Zr-Cu-Al合金系雪崩形核路径的结构起源。根据热力学计算,更高热稳定性的过冷液体中的Cu10Zr7产物,其形核驱动力要高于较低热稳定性的过冷液体中的Zr2Cu产物的形核驱动力,表明经典形核动力学受阻,因此促进AEP型Zr-Cu-Al块体非晶合金的雪崩型形核发生。实验结果揭示,对具有异常放热峰的Cu10Zr7型产物的块体非晶合金来讲,非晶/半晶体结构的中间体具有更低的形核能垒,表明雪崩形核可由非晶多形性相转变所激发。此外,亚稳相形成导致短程团簇的简单连接,在有序度降低的AEP块体非晶合金中形成晶相产物,或许有助于雪崩形核。
文献链接:Structure origin of a transition of classic-to-avalanche nucleation in Zr-Cu-Al bulk metallic glasses(Acta Mater.,2018,DOI:10.1016/j.actamat.2018.02.028)
团队介绍
香港城市大学王循理教授团队利用原位中子散射、同步辐射X-射线散射等手段研究复杂材料包括非晶合金、形状记忆合金、高熵合金等先进合金材料相关的相变、力学性能及磁性相关前沿科学问题。王循理教授是香港城市大学/深圳研究院讲座教授、系主任,从事中子和同步辐射散射在材料科学中的研究工作逾三十余年,曾领导建设美国橡树岭国家实验室散裂中子源八台谱仪的建设(包括著名的工程应力谱仪VULCAN),在Science、Nature Materials、Nature Communications、Physical Review Letters等发表SCI论文250多篇,应邀作特约报告100次。早期工作获美国焊接协会A. F. Davis 奖章,2008年中国科学院海外知名学者称号,2009年被中国教育部授予长江讲座教授, 2010年当选为美国物理学会会士 (APS Fellow),2015年发起高登中子散射会议(Gordon Research Conference on Neutron Scattering),并担任首届会议主席,2017年获美国科学促进会理事(AAAS Fellow)。王教授曾多次受命于美国能源部基础科学办公室,为美国洛斯阿拉莫斯国家实验室先进中子源和阿贡国家实验室同步辐射中心的评审委员会担任评委,2015起担任中国科学院重大HTH官网地址 基础设施咨询委员会委员。兰司博士曾为王循理教授团队核心成员,现为南京理工大学教授,在Nature Communications、Acta Materialia、Applied Physics Letters、Small等发表SCI论文30多篇,获得2017年中国材料研究大会 非晶合金“杰出青年科学家”奖。
相关工作汇总(按时间降序)
【1】S. Lan, Y. Ren, X.Y. Wei, B. Wang, E.P. Gilbert, T. Shibayama, S. Watanabe, M. Ohnuma, X.L. Wang, Hidden amorphous phase and reentrant supercooled liquid in Pd-Ni-P metallic glasses, Nat. Commun. 8, 14679 (2017). DOI:10.1038/NCOMMS14679
工作简介:以钯-镍-磷玻璃为原型的非晶合金中远低于结晶温度下出现的热力学异常放热峰困扰了该领域逾四十多年。该研究领衔四国(中、美、澳、日)科学家,采用一系列先进的原位实验手段,包括美国阿贡国家实验室先进光源高能同步辐射、澳洲中子源小角中子散射-热分析以及日本北海道大学电镜中心的双球差透射电子显微镜等,探明了在超过冷液体区间具有异常放热现象的典型Pd-Ni-P非晶合金中一种新型隐藏非晶相,为开发新型非晶合金提供了思路。该研究成果被国家基金委网站首页以基金要闻报道。(http://www.nsfc.gov.cn/publish/portal0/tab448/info68359.htm)
【2】S. Lan, M. Blodgett, K.F. Kelton, J.L. Ma, J. Fan, X.L. Wang, Structural crossover in a supercooled metallic liquid and the link to a liquid-to-liquid phase transition, Appl
. Phys. Lett. 108 (21) (2016).
工作简介:利用美国阿贡国家实验室先进光源APS原位高能同步辐射并搭载华盛顿大学的静电悬浮仪,直接观测到Zr基过冷金属液态中的原子短程和中程序结构、密度转变,为该体系液-液相变过程提供了直接观测证据。同时结合分子动力学模拟等,揭示了中程序尺度团簇连接性在液-液相变过程中的作用。
【3】S. Lan, X.Y. Wei, J. Zhou, Z.P. Lu, X.L. Wu, M. Feygenson, J. Neuefeind, X.L. Wang, In-situ study of crystallization kinetics in ternary bulk metallic glass alloys with different glass forming abilities, Appl
. Phys. Lett. 105(20)(2014).
工作简介:原位中子/同步辐射散射以及透射电子显微镜技术,研究了两种简单化学组成的大块三元合金Zr56Cu36Al8和Zr46Cu46Al8的结晶动力学过程。结果证明,两种玻璃形成合金的结晶动力学过程截然不同,且中程和长程有序在好的玻璃形成体系Zr46Cu46Al8中比在普通的玻璃形成体系Zr56Cu36Al8中更难发展。
【4】D. Ma, A.D. Stoica A D, X.-L. Wang, Power-law scaling and fractal nature of medium-range order in metallic glasses. Nature materials, 8(1)(2009)
工作简介:基于中子和同步辐射X射线衍射和大量文献调研数据,研究了金属玻璃中第一峰主衍射峰的位置和密度之间的普适性规律,首次提出金属-金属基金属玻璃体系的第一主衍射峰位置和密度的关系为~2.31,同时结合径向分布函数分析提出了金属-金属基金属玻璃体系团簇的分形堆积规律。
【5】L. Yang L, M.K. Miller, X.-L. Wang X L, et al. Nanoscale solute partitioning in bulk metallic glasses. Advanced Materials, 21(3)(2009) 305-308.
工作简介:基于小角中子和同步辐射X射线散射和三维原子探针分析,研究了Zr基金属玻璃结晶产物的纳米尺度结构,首次提出独特的核-壳结构。
【6】X.-L. Wang, J. Almer, C. T. Liu, Y. D. Wang, J. K. Zhao, A. D. Stoica, D. R. Haeffner, and W. H. Wang, In situ Synchrotron Study of Phase Transformation Behaviors in Bulk Metallic Glass by Simultaneous Diffraction and Small Angle Scattering. Phys. Rev. Lett. 91(2003): 265501
工作简介:利用原位高能X-射线同步小角散射/广角衍射研究了Zr基多元非晶合金在加热和保温过程中的结晶行为,首次给出了非晶合金在结晶前可能的液态相变行为的可靠证据。
其他相关优质文献推荐(按时间降序)
【1】S. Lan, Z. Wu, X.-L Wang, Multiscale structures and phase transitions in metallic glasses:
A scattering perspective, Chin. Phys. B 26(1) (2017) 017104.
本文综述了近年来散射技术在非晶合金相变、力学性能、磁性等相关问题上的应用进展。
【2】Z. Wu, S. Lan, X. Wei, D. Olds, K. Page, B. Shen, X.-L. Wang, Heterogeneous nucleation in Zr-Cu-Al-Ag metallic glasses triggered by quenched-in metastable crystals-A time-resolved neutron diffraction study, Phys. B Condens. Matter, In Press, (2017). Doi: 10.1016/j.physb.2017.12.030
本文利用中子散射研究了Zr-Cu-Al-Ag金属玻璃在制备过程中引入的亚稳相在加热过程中的相变过程。
【3】X. Wu, S. Lan, Z. Wu, X. Wei, Y. Ren, H.Y. Tsang, X.-L. Wang, Multiscale structures of Zr-based binary metallic glasses and the correlation with glass forming ability. Progress in Natural Science: Materials International, 27(4) (2017): 482-486.
本文利用同步辐射散射及透射电镜研究了Zr-Cu和Zr-Ni二元金属玻璃的相稳定性和金属玻璃形成能力之间的可能关系。
【4】D. Ma, A.D. Stoica, X.-L. Wang, et al., Moduli inheritance and the weakest link in metallic glasses, Phys. Rev. Lett. 109 (2012) 085501.
本文利用同步辐射散射手段首次提出非晶合金中程序尺度在变形过程中的独特作用。
【5】D. Ma, D., A.D. Stoica, A. D., X.-L. Wang, Z.P. Lu, Z. P., T. Proffen, In-situ neutron scattering study of crystallization in a Zr-based bulk metallic glass. Applied Physics A, 99(3)(2010)537-542.
利用中子散射研究了Zr基金属玻璃的晶化过程,提出了计算晶化相体积分数的快速确定方法。
【6】D. Ma, A. D. Stoica, X-L. Wang, Z. P. Lu, M. Xu, M. Kramer, Efficient local atomic packing in metallic glasses and its correlation with glass-forming ability. Phys. Rev. B 80(2009): 014202
本文通过中子和同步辐射衍射研究了金属玻璃中局域有效堆积与金属玻璃形成能力的潜在关联。
【7】D. Ma, A.D. Stoica, L. Yang, X.-L. Wang, Lu, Z. P., et al., Nearest-neighbor coordination and chemical ordering in multicomponent bulk metallic glasses. Applied physics letters, 90(21)(2007): 211908.
本文提出了多元非晶合金体系中子和同步辐射径向分布函数的伪三元简化分析方法。
本文由材料人金属材料组Isobel供稿,材料牛整理编辑。
投稿以及内容合作可加编辑微信:RDD-2011-CHERISH,任丹丹,我们会邀请各位老师加入专家群。
材料人重磅推出材料计算解决方案,组建了一支来自全国知名高校老师及企业工程师的HTH官网地址 顾问团队,专注于为大家解决各类计算模拟需求。如果您有需求,欢迎扫以下二维码提交您的需求。或点击链接提交,或直接联系微信客服(微信号:iceshigu)






