材料人推出计算材料成果汇编(月刊),报道计算材料相关重大成果。本篇为Physical Review Letters专刊。
1、多电子量子点中的反自旋交换
图1 磁场中的交换振荡
带有单一未成对的电子自旋的半导体量子点为量子计算提供了一体化平台。近日,丹麦哥本哈根大学的Frederico Martins和Filip K.Malinowski等人使用单电子量子点作为光谱探针,来研究栅控多电子GaAs量子点在奇偶占据数转变之间的自旋性质。研究者发现随着增加下一个更高电子态的失谐,多电子基态转变由类自旋1/2的到类单峰再到类三峰。在零磁场中推测的交换能信号反转,交换强度可通过门电压和平面内磁场进行调节。通过补足自旋泄漏光谱数据,相干多电子自旋交换振荡的检测为信号反转提供了进一步证据,可推论得出,其对于非平凡多电子自旋交换关联的重要性。
文献链接:Negative Spin Exchange in a Multielectron Quantum Dot(Phys. Rev. Lett.,2018,DOI:10.1103/PhysRevLett.119.227701)
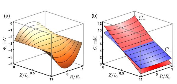
2、带有可极化纳米孔的膜中扩散能的诱导电荷增强现象

图2 NaCl溶液中可极化纳米孔的势能场和浓度场
对纳米孔和纳米通道中离子输运的理解在科学技术的众多领域中有着基础重要性。当带电荷膜分离两种不同浓度的盐溶液,由于界面Donnan平衡和扩散结,会出现势能差。近日,俄罗斯KSC SB RAS联邦研究中心和西伯利亚联邦大学的I.I.Ryzhkov(通讯作者)报道了可极化导电膜中,通过诱导表面电荷产生膜势能的一种新机制,这是由不同迁移率的离子扩散产生电场所致。对于无电荷的膜,该效应强烈提高了扩散势能,使其对迁移率的比值、电解质浓度和孔的大小高度敏感。在KCl和NaCl水溶液中,将基于空间电荷模型的理论预测推广到可极化纳米孔,其结果与实验测量可很好地相符。
文献链接:Induced-Charge Enhancement of the Diffusion Potential in Membranes with Polarizable Nanopores(Phys. Rev. Lett.,2018,DOI:10.1103/PhysRevLett.119.226001)
3、Heusler材料中的电荷密度波和磁性耦合

图3 和单参数模型对比的时间分辨XRD表征
典型的磁性形状记忆合金Ni2MnGa随温度、压力和掺杂变化,可能经历多种相变。在低于260K的低温相中,发生在[110]方向的不对称的结构调制被视为引发声子模软化的原因。这一现象与磁性记忆效应如果相关,其具体关联还不清楚。近日,苏黎世联邦理工大学的G.Lantz等人报道了对已调制的高对称性立方相的相变过程,利用时间分辨测量同时追踪其结构和磁性组分。结果显示,对于由嵌套向量作用和结构调制周期性强耦合区域,其费米面被声子诱导消磁改变。然而,消磁对周期性晶格扭曲的幅度的影响极小。
文献链接:Coupling between a Charge Density Wave and Magnetism in an Heusler Material(Phys. Rev. Lett.,2018,DOI:10.1103/PhysRevLett.119.227207)
4、六方氮化硼膜中色心的自旋力学系统

图4 六方氮化硼单层膜中的缺陷表征
最近观测到的六方氮化硼(hBN)膜内量子发射器因更低的空间维度,有获得高可及性和可控性的潜力。此外,这些物体凭借自身的低质量密度和高弹性模量,本身具有对主膜的高敏感度。近日,德国乌尔姆大学的Martin B. Plenio等人提出并分析一个基于六方氮化硼膜中色心的自旋力学系统。通过群理论分析和ab initio计算该系统的电子和自旋性质,作者发现一个自旋成对基态,并阐明了自旋-移动相互作用可被设计,使得力学发射器的基态冷却。此外,提出了一个用于初始化、旋转和自旋量子比特读取的工具箱。因此,提出的设定呈现出对于大多数物理研究的可能性。
文献链接:Spin-Mechanical Scheme with Color Centers in Hexagonal Boron Nitride Membranes(Phys. Rev. Lett.,2018,DOI:10.1103/PhysRevLett.119.233602)
5、石墨烯中的光诱导分数量子霍尔相

图5 Rabi频率的光驱动单层石墨烯
分数量子霍尔效应是一种电子-电子相互作用和磁场导致强关联的新奇现象。近日,美国纽约城市大学的Pouyan Ghaemi和马里兰大学的Mohammad Hafezi等人通过光学驱动系统,展示了如何识别在单层石墨烯中的双组分分数量子霍尔相。激光调控在两个朗道能级间达到共振,非零相对角动量的层间相互作用可开始占主导,类似一个空心赝势。在微弱的隧穿机制中,这一相互作用有利于单态的形成。作者讨论了可能的相,包括Haldane-Rezayi相,层间Pfaffian相和一个Fibonacci相。这表明作者提出的方法可以为识别非阿贝尔相和控制拓扑相变奠定基础。
文献链接:Light-Induced Fractional Quantum Hall Phases in Graphene(Phys. Rev. Lett.,2018,DOI:10.1103/PhysRevLett.119.247403)
6、高速滑移界面中的静电可协调附着力

图6 接触滞后行为的示意图
滑移界面之间的接触滞后在宏观和纳米尺度的滑移界面中是一种被普遍观察的现象。多通过滑移速度为几微米每秒的原子力显微镜(AFM)进行研究。近日,美国西部数据公司的Sukumar Rajauria(通讯作者)等对商业用硬盘驱动的磁头界面间的粘滞阻力展开了一项特殊的研究,其中磁头与磁盘间的垂直间隙差不多与多种基于AFM的基础研究在同一数量级,滑移速度的大小为其6倍多。作者证明,尽管静电力是吸引力,磁头相对于磁盘交流电压诱导的平面外振荡,能够完全抑制接触滞后现象。
文献链接:Electrostatically Tunable Adhesion in a High Speed Sliding Interface(Phys. Rev. Lett.,2018,DOI:10.1103/PhysRevLett.120.026101)
7、胶体多晶中的局域熔化吸附晶界

图7 在二维胶体晶体中光爆破引发的局域融化
晶界,是在相邻晶粒之间的无序界面,在熔化等相变发挥着重要作用,决定着屈服应力到电导率等多种重要材料性质。近日,美国哈维姆德学院的Sharon J. Gerbode(通讯作者)等发现二维胶体晶体中激光诱导熔化吸附和变形晶界。当熔化区域与晶粒再结晶边缘接触,会使晶界变形——吸引力由变形晶界构型的多样性所驱动。此外,吸引力提供了一种制备任意形状的人工胶体晶体的方法,使得晶界动力学新的实验研究。最终,可据此得到通过设计显微结构来制备材料的一种新方法。
文献链接:Local Melting Attracts Grain Boundaries in Colloidal Polycrystals(Phys. Rev. Lett.,2018,DOI:10.1103/PhysRevLett.120.018002)
8、原子系统张量性质的对称性匹配机器学习

图8 偶极子、极化率和超极化率的不可约球张量的学习曲线
统计学习方法凭借其可使电子结构计算对计算能力要求的最小化,在精确预测材料和分子性质方面表现出巨大的潜力。这些模型将学习步骤的旋转和置换的基本对称性的标度性质进行编码,因此模型准确性和可转移性大大增加。然而,当参考模型旋转时,张量性质的预测要求模型遵循适当的几何转变,而不是不变量。近日,瑞士洛桑联邦理工学院的Michele Ceriotti和英国剑桥大学的Gábor Csányi介绍了一种延展存在系统的形式,并可开展任意等级张量性质的机器学习,也适用于一般的分子几何学。
文献链接:Symmetry-Adapted Machine Learning for Tensorial Properties of Atomistic Systems(Phys. Rev. Lett.,2018,DOI:10.1103/PhysRevLett.120.036002)
9、强电子-声子和能带结构对高压金属氢的光学性质的影响

图9 I41=amd氢在500GPa的电子能带结构
现有的实验室制备金属氢,目前多为依靠光谱测量。近日,西班牙CSIC-UPV/EHU和DIPC的Miguel Borinaga等人通过第一性原理计算I41=amd晶体结构的氢在400至400GPa之间的反射率,同时通过时间相关密度函数和Eliashberg理论来预测这些压力条件下的情况。因此,可涵盖从红外到紫外波段的光学性质。结果显示,氢原子在6eV附近出现能带间的等离激元,剧烈抑制反射率,而在红外波段约为120meV时,大的半导体能隙使得反射率剧烈降低。实验估计在0.7-3eV的电子散射率和该工作的理论估计相符,系统巨大的电子-声子相互作用控制着该能量范围内的电子散射。光谱预测的显著特征有助于将光学测量扩展至红外和紫外区域,所以该工作的结论表明,光学测量具有应用于识别氢高压相的潜力。
文献链接:Strong Electron-Phonon and Band Structure Effects in the Optical Properties of High Pressure Metallic Hydrogen(Phys. Rev. Lett.,2018,DOI:10.1103/PhysRevLett.120.057402)
本文由材料人编辑部计算材料组Isobel供稿,材料牛整理编辑。
材料人建有材料计算微信群,请添加微信客服“cailiaokefu”,并提供姓名+方向加入。
材料人重磅推出材料计算解决方案,组建了一支来自全国知名高校老师及企业工程师的HTH官网地址 顾问团队,专注于为大家解决各类计算模拟需求。如果您有需求,欢迎扫以下二维码提交您的需求。或点击链接提交,或直接联系微信客服(微信号:iceshigu)







