【引言】
自从加工得到第一个Ni/AL纳米焊接片以来,活性多层焊接片(RMNF)凭借其极特殊的性质逐渐引起广泛关注。这些活性多层纳米焊接片是由数以百计的金属薄层组成,厚度在4~100nm不等。合金化反应在样品的某个边缘产生后,会以自保持的方式持续反应。由于过程本身放热,不需要其他的热量供应。该反应可以在相对低的温度下开始,和金属粉末混合物中的相同反应相比,反应速度更快。因此,活性多层焊接片一般用于材料连接领域或作为含能材料使用。
【成果简介】
近日,法国勃艮第大学的F.Baras教授在Acta Materialia上发表最新研究成果“Epitaxial growth of the intermetallic compound NiAl on low-index Ni surfaces in Ni/Al reactive multilayer nanofoils”。文章通过分子动力学模拟对Ni-Al焊接片自蔓延反应的晶体生长展开相关研究。以(001)、(101)、(111)这三个低指数的Ni表面为例,探究在Ni的界面出混合和合金化的过程中,NiAl的不均匀外延生长情况。显微结构的演化沿晶粒取向动力学的轨迹进行。在所有的实例中,基于Ni和NiAl单胞之间的关系建立的简单几何构型,来解释晶体生长特征。形核过程和生长动力学均有研究。本项工作证明晶体生长根据Ni的不同取向会产生较大差异。
【图文导读】
图1:活性多层纳米焊接片中自保持前沿的示意图。预热区由交替排列的反应物组成,补燃区充满了NiAl晶粒。

图2:层状NiAl体系的分子动力学模拟图示。

(a)模拟系统的原始构型,一个Al薄片位于两个Ni层之间,模拟盒子尺寸为Lx =Ly =13.6nm, Lz =22.3nm。该系统由316602个原子组成;
(b)t = 20ns时的系统快照,选取位置在更低的界面附近。
图3:固态Ni的三个不同的表面取向(顶视图)。

图4:在Ni的(001)界面(a)和(111)界面(b)处,NiAl的晶粒取向直方图。

图5:NiAl在界面处外延生长的示意图。

图6:NiAl单胞对应的立方体。

图7:模拟得到的Ni-[001]基底的选区电子衍射表征分析。

(a)模拟得到的系统在z方向坐标为65到105部分的选区电子衍射图(SAED);
(b)计算得到的Ni-[001]基底衍射图和NiAl-[101]四个取向的叠加。
图8:模拟得到的Ni-[111]基底的选区电子衍射表征分析。

(a)模拟得到的系统在z方向坐标为65到105部分的选区电子衍射图(SAED);
(b)计算得到的Ni-[111]基底衍射图和NiAl-[101]六个取向的叠加。
图9:在Ni(110)面上NiAl的外延生长示意图。

(a)Ni原子的排列方式图示;
(b)Ni原子相对参考平面发生轻微位移,其上一层的相邻平面处,NiAl单胞置于(110)Ni界面处。
图10:模拟得到的Ni-[110]基底的选区电子衍射表征分析。

(a)模拟得到的系统在z方向坐标为65到105A ̇部分的选区电子衍射图(SAED);
(b)计算得到的Ni-[110]基底衍射图和已发生晶化的NiAl晶粒的叠加。
图11:在形核和生长过程中,不同时间的系统快照。

图12:反应过程中,不同时间下,界面上下的原子排列情况。

(a)界面以下的系统切片快照,在混合过程开始后立即取样;
(b)界面以上的系统切片快照,在NiAl相晶化后(t=40ns);
(c)已晶化区域以上的液相区切片快照。
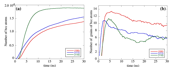
图13:Ni基底取向对形核和长大的影响。

(a)对界面的三个不同取向,在更低界面处bcc原子数量随时间变化情况;
(b)界面处bcc原子的晶粒数随时间变化情况。
【结论】
在Ni-Al纳米焊接片中的自蔓延高温合成可导致界面处形成NiAl金属间化合物。所得的显微结构是被晶界分开的多取向晶粒集合体。这是富Ni样品的典型特征,在固液界面上观察到形核现象。本工作的侧重点在于控制晶粒取向的重要作用。作者考虑了固态Ni界面的三个低指数取向,通过分子动力学模拟对晶粒形核生长情况展开表征分析。除了对分子动力学模拟结果的分析,作者还提供了转变的完整表述,并对观测结果给出了简洁的几何学解释。最终,结果显示Ni基底的取向在形核和生长方面发挥着重要作用。对该产物进行织构分析的特殊工具也可以进一步发展应用于NiAl金属间化合物的表征。分子动力学模拟过程中,更一般地,这些工具可以用于绘制生成相晶体学取向的图谱。
文献链接:Epitaxial growth of the intermetallic compound NiAl on low-index Ni surfaces in Ni/Al reactive multilayer nanofoils(Acta Mater., 2018, DOI:10.1016/j.actamat.2018.01.035)
本文由材料人计算材料组Isobel供稿,材料牛整理编辑。
材料牛网专注于跟踪材料领域HTH官网地址 及行业进展,这里汇集了各大高校硕博生、一线科研人员以及行业从业者,如果您对于跟踪材料领域HTH官网地址 进展,解读高水平文章或是评述行业有兴趣,点我加入编辑部大家庭。
欢迎大家到材料人宣传HTH官网地址 成果并对文献进行深入解读,投稿邮箱tougao@cailiaoren.com。
投稿以及内容合作可加编辑微信:RDD-2011-CHERISH,任丹丹,我们会邀请各位老师加入专家群。
材料人重磅推出材料计算解决方案,组建了一支来自全国知名高校老师及企业工程师的HTH官网地址 顾问团队,专注于为大家解决各类计算模拟需求。如果您有需求,欢迎扫以下二维码提交您的需求。或点击链接提交,或直接联系微信客服(微信号:iceshigu)






