【引言】
液体电解质的锂离子电池易出现热失控、着火等安全隐患。采用固体电解质的固态锂电池,则能从根本上解决电池的安全性问题。固态锂电池具有安全性高、长效循环好、自放电低、易于薄膜化和小型化等的优点,是锂电池的重要发展方向。当前,获得高离子电导率、宽电压窗口、高力学性能和优良界面稳定性的固体电解质是固态锂电池开发的首要难题。
在众多固体电解质体系中,聚合物电解质具有优良的柔性,能够缓解电池服役条件下界面处的体积膨胀,起到稳定界面的作用。但是聚合物电解质离子导电能力差、电压窗口窄、力学性能低以及难以抑制锂枝晶生长。无机固体电解质虽然离子导电能力高、电压窗口宽,但是其存在脆性大、可加工性不足。而通过多相复合手段,得到的聚合物/无机复合型固体电解质则兼具上述两种材料的优点,是最有应用前景的电解质材料。
【成果介绍】
近日,北京HTH官网地址 大学材料基因工程高精尖创新中心的范丽珍教授(通讯作者)、清华大学南策文院士和美国德州大学奥斯汀分校的John. B. Goodenough教授(共同通讯作者)团队利用PEO和Garnet结构LLZTO通过无溶剂热压法制备了全系列的PEO/Garnet 复合固体电解质。随LLZTO含量增加,复合固体电解质由“ceramic-in-polymer”逐渐过渡到“polymer-in-ceramic”。同时,电解质的导锂通道也由单一聚合物导锂向聚合物和LLZTO双相导锂转变。此外,电解质具有高的离子电导率、宽电压窗口和良好的界面稳定性,用该电解质组装的固态锂电池能够长效、稳定循环。该研究成果以“PEO/Garnet Composite Electrolytes for Solid-State Lithium Batteries: from “Ceramic-in-Polymer” to“Polymer-in-Ceramic””为题发表在期刊Nano Energy(影响因子:12.343)。
【图文导读】
图1 PEO-LLZTO 复合固体电解质导锂示意图及SEM照片

(a-c)复合固体电解质由“ceramic-in-polymer”向“polymer-in-ceramic”的转变过程。
(d-i)PEO8-LiTFSI-LLZTO的表面SEM和光学照片,LLZTO的质量分数分别为:(d, g) 10 wt%; (e, h) 50 wt%; (f, i) 80 wt%。
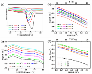
图2 复合固体电解质的热行为和离子电导率

(a)不同LLZTO含量的PEO8-LiTFSI-LLZTO电解质的DSC曲线。
(b) 不同LLZTO含量的PEO8-LiTFSI-LLZTO电解质的离子电导率随温度变化曲线。
(c)PEO8-LiTFSI-LLZTO电解质在不同温度下离子电导率随LLZTO含量的变化曲线。
(d)添加聚乙二醇-400(PEG)的PEO-LLZTO-PEG-LiTFSI电解质,对应不同锂盐含量时电解质的离子电导率随温度变化曲线。
图3 PEG对复合电解质成膜性影响与电解质的热稳定性

(a-c)添加PEG前后,电解质成膜性对比。
(d-e)添加PEG后,复合固体电解质在弯曲、折叠情况下表现优良柔性。
(f)添加PEG后,复合固体电解质的SEM图。
(g)Celgard隔膜与LLZTO基电解质热稳定性对比。
图4 复合固体电解质的电化学稳定性

(a)复合固体电解质的线性扫描曲线。
(b-d)4.8 V 偏压下,不同电解质对应的不锈钢|Li电池随时间变化的阻抗谱图。
图5 复合固体电解质与锂负极的界面稳定性

(a)对称锂电池界面阻抗随时间变化曲线。
(b)Li|PEO-LLZTO-PEG-60 wt% LiTFSI|Li电池在0.5 mA cm-2电流密度下的电压随时间变化曲线。
图6 LiFePO4|PEO8-LiTFSI-10 wt% LLZTO|Li电池性能

(a)不同温度下,电池在0.2 C 电流密度下的首次充放电曲线。
(b)55 oC下, 电池在不同电流密度下的首次充放电曲线。
(c)添加LLZTO前后,电池的循环稳定性对比。
(d)添加LLZTO前后,电池在不同次数循环后的阻抗对比。
(e-f)添加LLZTO前后,电池在0.2 C 电流密度下循环100次后锂金属表面的SEM图。
图7 LiFePO4|PEO-LLZTO-PEG-60 wt% LiTFSI|Li电池性能

(a)55 oC和0.2 C 电流密度下电池的充放电曲线。
(b)55 oC和0.2 C 电流密度下电池的循环性能。
(c)55 oC,电池的倍率性能。
(d)柔性软包固态锂电池点亮LED灯泡。
【小结】
该研究工作主要利用无溶剂的热压方法成功制备了复合固体电解质,实现了锂离子传输通道由单相向双相的转变,而且两种电解质都展现了高离子电导率、宽电压窗口和优良界面稳定性。两种电解质组装的LiFePO4|Li固态锂电池具有循环稳定性好、界面阻抗小和能够抑制枝晶的优点。该工作为固体电解质的进一步发展和应用提供了较好的设计思路。
本成果是在国家自然科学基金重点项目(51532002)、北京市自然基金-海淀联合原始创新基金重点项目(L172023)和HTH官网地址 部重大研发计划(2015CB932500)的资助下完成。本研究工作的作者依次为陈龙、李玉涛、李帅鹏、范丽珍、南策文、John B. Goodenough。通讯作者为范丽珍和John B. Goodenough。
文献链接:Long Chen, Yutao Li, Shuai-Peng Li, Li-Zhen Fan*, Ce-Wen Nan, John B. Goodenough*. PEO/Garnet Composite Electrolytes for Solid-State Lithium Batteries: from “Ceramic-in-Polymer” to “Polymer-in-Ceramic”, Nano Energy, 2018, DOI:10.1016/j.nanoen.2017.12.037.





