当前位置: 材料牛 » HTH官网地址 » 导读 » Advanced Sus. Sys. 戴洪兴&新南UNSW:无机非贵金属材料低温高效转化CO2

Advanced Sus. Sys. 戴洪兴&新南UNSW:无机非贵金属材料低温高效转化CO2

【引言】

过渡金属氧化物替代贵金属负载型催化剂一直是热点也同时是难点问题。作者此前的研究(Nature Communications, 2017, 8, 15553, doi:10.1038/ncomms15553),对高比表面积的钙钛矿型氧化物进行暴露晶面调控,得到具有高活性暴露晶面的镧系钙钛矿催化剂,用于催化氧化甲烷燃烧。在此基础上,作者对同钙钛矿具有类似结构的尖晶石进行改性,成功优化其氧化还原性能。

【成果简介】

近日,北京工业大学戴洪兴教授Prof. Hongxing Dai)再度联手澳洲新南威尔士大学Prof. Rose Amal, Dr. Hamid Arandiyan, Dr. Jason ScottAdvanced Sustainable Systems合作发表题为“Hierarchically Porous Network-like Ni/Co3O4: Noble Metal-Free Catalysts for Carbon Dioxide Methanation”的研究论文(第一作者,Yuan Wang),利用改进的PMMA胶晶模板法制备具有高比表面积,表面褶皱形貌的三维有序大孔3DDPCo3O4尖晶石材料,并利用湿浸渍负载还原法将Ni纳米颗粒负载在钴尖晶石的内、外表面。与常规制备的Co-Ni混合材料比较,文章合成的Ni/3DDPCo3O4 催化剂对CO2在低温下具有相当高的催化活性。3DDPCo3O4 不单一作为载体分散Ni颗粒,Co本身还作为催化活性位,Ni的载入大幅提高了3DDPCo3O4的反应活性,其反应速率提高了2.6倍,并且反应活化能降低了20%。通过对Ni-Co复合材料的一系列表征研究发现,在氢气还原过程中,Ni和Co通过电子补偿机制产生了相互作用,促进了表面氧空穴的生成,使得获得的复合材料具有更好的低温还原性能和催化还原氧化性能。在这其中,褶皱有序大孔Co3O4起到了均匀分散Ni颗粒的作用,大的内外比表面积增加了Ni-Co的充分接触,因而获得更好的相互作用效应。

【图文导读】

图1:Ni/Co3O4活化CO2示意图

CO2其中一个氧原子吸附在催化剂表面氧空穴位,被活化的CO2分子在富氢气环境下完成加氢反应生成CH4

图2:Ni/Co3O4催化剂电镜图片

图(a-c)不同倍数下表面褶皱的三维有序大孔3DDP-Co3O4 FIB切面形貌;

图(d-f)Ni负载的3DDP-Co3O4

图(g-i)Ni掺杂的3DDP-NiCo2O4。

图3:TEM和HAADF-STEM透射电镜图片以及XRD

图(a-b)表面褶皱的三维有序大孔Ni/3DDP-Co3O4 TEM透射图片;

图(c-e)Ni/3DDP-Co3O4 HAADF-STEM-EDS Mapping元素图片,红色代表Co元素,绿色代表Ni元素;

图(f-g)氢气还原处理前后3DDP-NiCo2O4 XRD衍射峰谱图。

图4:公式(1-4)Co-Ni电子补偿机制原理

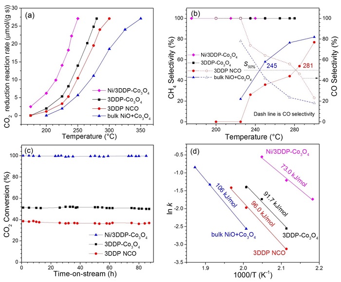
图5:催化性能图

图a:不同温度下CO2还原反应速率;

图b:不同温度下CH4和CO的选择性;

图c:250度下长时间不间断CO2还原反应稳定性;

图d:化学反应动力图计算催化活化能(kJ/mol)。

文献链接: Hierarchically Porous Network-like Ni/Co3O4: Noble Metal-Free Catalysts for Carbon Dioxide Methanation, Yuan Wang, Hamidreza Arandiyan, Jason Scott, Hongxing Dai, & Rose Amal, Advanced Sustainable Systems, 2018, DOI: 10.1002/adsu.201700119.

作者其他相关论文:

1. Wang, Y., Arandiyan, H., Dai, HX. et al. Nature Communications, 2017, 8, 15553, doi:10.1038/ncomms15553.

2. Wang, Y., Arandiyan, H., Dai, HX. et al. Journal of Materials and Chemistry A, 5, 2017, 8825-8846.

3. Arandiyan, H., Dai, HX. et al. ACS Applied Materials & Interfaces, 8, 2016, 2457-2463.

4. Wang, Y., Dai, HX. et al. ACS Catalysis, 7, 2016, 6935-6947.

5. Arandiyan, H., Dai, HX. et al. ACS Catalysis, 5, 2015, 1781-1793.

6. Arandiyan, H., Dai, HX. et al. Journal of Physical Chemistry C, 118, 2014, 14913-14928.

7. Arandiyan, H., Dai, HX. et al. Journal of Catalysis, 307, 2013, 327-339.

8. Wang, Y., Dai, HX. et al. Chemical Engineering Journal, 226, 2013, 87-94.

9. Wang Y., Dai, HX. et al. Solid State Sciences 24, 2013, 62-70.

本文来自撰稿人Helena,特此感谢。

材料牛网专注于跟踪材料领域HTH官网地址 及行业进展,如果您对于跟踪材料领域HTH官网地址 进展,解读高水平文章或是评述行业有兴趣,点我加入编辑部。欢迎大家到材料人宣传HTH官网地址 成果并对文献进行深入解读,投稿邮箱tougao@cailiaoren.com。

仪器设备、试剂耗材、材料测试、数据分析,找材料人、上测试谷

未经允许不得转载:材料牛 » Advanced Sus. Sys. 戴洪兴&新南UNSW:无机非贵金属材料低温高效转化CO2

相关文章

Baidu
map