引言
钙钛矿是一类具有高度对称的紧密堆积结构的材料,由于其化学和物理性质的多样性,在过去的数十年中已被广泛研究。近几年来,基于无机有机杂化钙钛矿的太阳能电池吸引了前所未有的关注,多晶薄膜钙钛矿光伏器件的功率转换效率已经超过22.1%。但是目前杂化钙钛矿材料的稳定性非常差,当暴露在光照下以及在受热或者与水/氧气接触的情况下很容易在短时间内降解失效。另外,目前主流的杂化钙钛矿材料(CH3NH3PbI3)含有有毒的重金属元素铅,不仅将污染环境,也会损害人的健康。这些问题严重制约了钙钛矿光伏器件的大规模商业应用。为了解决这些问题,基于无毒元素并兼具较高的结构稳定性的无机无铅钙钛矿已被引入到钙钛矿太阳能电池领域,并且引起了研究人员极大的关注。
成果简介
北京时间2018年1月,美国内布拉斯加林肯大学的Xiao Cheng Zeng教授,布朗大学的Yuanyuan Zhou 教授 以及Nitin Padture教授(共同通讯作者)合作在ACS Energy Letters在线发表了“Earth-Abundant Nontoxic Titanium(IV)-based Vacancy-Ordered Double Perovskite Halides with Tunable 1.0 to 1.8 eV Bandgaps for Photovoltaic Applications”研究论文,并且被选为ACS Editors’ Choice。该工作利用第一原理理论计算同时结合实验,使用四价态钛作为金属阳离子取代二价态铅,对于一系列的钙钛矿衍生物材料进行了深入研究,发现Cs2TiI6-xBrx展示了良好的光电性质,很有希望成为优异的太阳能电池吸收层材料。美国内布拉斯加林肯大学博士后Ming-Gang Ju和布朗大学博士生Min Chen为文章共同第一作者。
图文导读

图一,通过对于一些列的A2TiI6的电子结构的计算得出了可能的带隙,发现当A原子是Cs的时候带隙较为合适,吸光能力也较强。

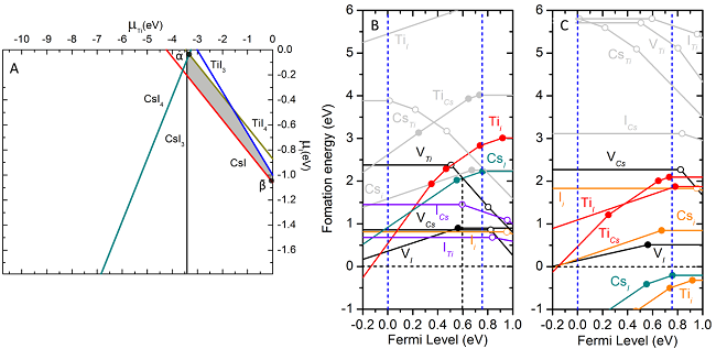
图二,针对可能的分解产物进行了化学势的计算,同时针对可能的缺陷态惊醒了计算,得到该Cs2TiI6较为稳定并且呈现N型的特征。

图三,实验合成Cs2TiI6-xBrx,发现其带隙覆盖1.0-1.8 eV的区域,是太阳能电池吸光层材料的理想带隙。

图四,通过对于Cs2TiI6-xBrx电子结构和带隙的计算验证了上述吸收光谱。

图五,首先通过AIMD模拟Cs2TiI6-xBrx系列的稳定性,通过对于稳定性的一列实验(热稳,473K,一小时;湿稳,70%RH,298K),发现Cs2TiI6-xBrx呈现了良好的稳定性。
小结
作者首先利用第一原理理论计算对于一系列无铅含钛双钙钛矿卤化物材料进行了深入研究。通过计算这些钙钛矿材料的带隙和光吸收谱,发现Cs2TiI6-xBrx钙钛矿具有适宜的准直接带隙(在1.0-1.8 eV的最佳光转换效率范围内)以及非常好的光学吸收性能。进一步的研究发现它们也具有良好的稳定性和载流子迁移性能。基本以上的预测,我们合成了一系列的无铅含钛双钙钛矿卤化物材料。其具有良好的稳定性以及吸光性能。这些优良的性质使这种材料很有希望成为优异的太阳能电池吸收层材料。关于此材料太阳能电池制备的文章已经被Cell旗下的能源领域期刊Joule接受,DOI为10.1016/j.joule.2018.01.009
文献链接:Earth-Abundant Nontoxic Titanium(IV)-based Vacancy-Ordered Double Perovskite Halides with Tunable 1.0 to 1.8 eV Bandgaps for Photovoltaic Applications (ACS Energy Letters, 2018, DOI: 10.1021/acsenergylett.7b01167)
注:ACS Energy Letters是ACS旗下的能源旗舰期刊,预计2018年6月会出第一期影响因子,预计在10以上。
以上资料来自布朗大学,特此感谢!
材料牛网专注于跟踪材料领域HTH官网地址 及行业进展,如果您对于跟踪材料领域HTH官网地址 进展,解读高水平文章或是评述行业有兴趣,点我加入编辑部大家庭。
欢迎大家到材料人宣传HTH官网地址 成果并对文献进行深入解读,投稿邮箱tougao@cailiaoren.com。
材料测试,数据分析,上测试谷!





