【引言】
目前,锂离子电池(LIBs)在储能方面发挥着重要作用,其应用范围非常广泛,从笔记本电脑,手机等便携式电子设备到电动汽车,混合动力汽车,拥有大容量储能,寿命长,能量储存密度高等优点。然而,如此广泛的用途,以及地壳中锂资源丰度低,分布不均的现象,正在造成LIBs价格大幅上涨。可以合理预测的是,越来越高的价格终将导致消费者在不久的将来难以随心所欲地消费得起LIBs。
【成果简介】
近日,东北师范大学吴兴隆副教授(通讯作者)团队首次设计了一种由高能无锂Na3V2(PO4)2O2F(NVPOF)正极和市售石墨负极中间相碳微球组成的新型混合型锂/钠离子电池(HLNIB)。组装成的HLNIBs在4.05和3.69 V处具有两个较高的工作电压,比容量为112.7 mA h g-1。根据正极和负极材料的总质量计算,其能量密度可以达到328W h kg-1。而且,HLNIB具有优异的高倍率性能,长期循环寿命和优异的低温性能。此外,通过恒电流间歇滴定技术和原位X射线衍射技术初步研究了NVPOF电极的反应动力学和Li/Na-嵌入/脱出机理。相关成果以题为“A Practicable Li/Na-Ion Hybrid Full Battery Assembled by a High-Voltage Cathode and Commercial Graphite Anode: Superior Energy Storage Performance and Working Mechanism”发表在了Advanced Energy Materials上。论文第一作者为博士生郭晋芝。
【图文导读】
图1 设计的MCMB//NVPOF HLNIBs的工作机制示意图

a,c)a)CV和c)NVPOF和MCMB电极在2.5-4.5V(橙色)和0.005-2.5V(绿色)电位范围内的恒电流曲线
b)NVPOF中的V5+/V4+,MCMB中的C6/LixC6和金属Li中的Li+/Li的氧化还原电位比较
图2 CV曲线和GCD曲线

a)在0.1mV s-1扫描速率下的代表性CV曲线
b)在0.065A g-1的电流密度下在2.8V和4.4V之间组装的MCMB//NVPOF HLNIB的GCD曲线
图3 组装的MCMB // NVPOF HLNIB的LT性能

a)在25°C至25°C的温度范围内以0.013 A g-1循环后GCD曲线和容量保持率
b)温度为-25°C,循环次数为100次后循环性能为0.013 A g-1
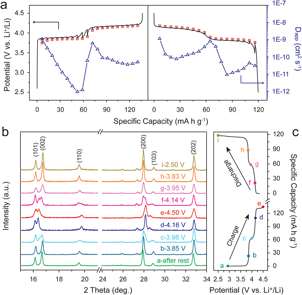
图4 非原位XRD图案以及相应的GCD分布图

a)GITT测试结果显示了Dapp和准平衡电位随GCD过程的变化
b,c)在不同的充电/放电状态下,在0.013A g-1的电流密度下NVPOF电极的第一个循环期间收集的非原位XRD图案以及相应的GCD分布图
【小结】
该工作首次实现了新型MCMB // NVPOF HLNIB由高压无锂NVPOF正极,市售石墨负极MCMB和普通LIBs电解液的成功组装。电化学测试表明,所装配的HLNIB表现出高工作电压(4.05和3.69V)、优异倍率性能、超长循环稳定性和优异低温性能等方面的储能性能,说明设计的HLNIBs将成为具有高能量和高功率密度的先进二次电池的有希望的候选者。
文献链接:A Practicable Li/Na-Ion Hybrid Full Battery Assembled by a High-Voltage Cathode and Commercial Graphite Anode: Superior Energy Storage Performance and Working Mechanism(Adv. Energy Mater. ,2017,DOI:10.1002/aenm.201702504)
通讯作者介绍:
吴兴隆,东北师范大学化学学院副教授,中科院化学所获得博士学位和从事博士后研究,并在博士后国际交流派出计划的资助下于新加坡南洋理工大学进行研究工作;主要从事电化学储能和纳米新能源材料方面的基础和应用研究工作;已以通讯或第一作者身份在Adv. Mater., Adv. Energy Mater., Nano Energy等著名学术期刊发表了研究论文60余篇,多篇论文被评选为ESI top 1%高引用论文,论文被引用超过5500次,个人H-index为34;申请中国发明专利15项以上,其中已有8项获得授权,曾参与专利转化以及电极材料、锂电产品开发方面的应用研究工作;曾获教育部自然科学研究成果一等奖、中国科学院HTH官网地址 成果转化二等奖、青少年HTH官网地址 创新奖、“挑战杯”特等奖等多项HTH官网地址 奖励和荣誉称号。
团队近期发表的五篇代表性研究论文:
- High-Energy/Power and Low-Temperature Cathode for Sodium-Ion Batteries: In-Situ XRD Study and Superior Full-Cell Performance. Advanced Materials 2017, 29 (33), 1701968.
- A Practicable Li/Na-Ion Hybrid Full Battery Assembled by a High-Voltage Cathode and Commercial Graphite Anode: Superior Energy Storage Performance and Working Mechanism. Advanced Energy Materials 2018, DOI:10.1002/aenm.201702504.
- Do the bridging oxygen bonds between active Sn nanodots and graphene improve the Li-storage properties? Energy Storage Materials 2016, 5, 214-222.
- A new strategy for developing superior electrode materials for advanced batteries: using a positive cycling trend to compensate the negative one to achieve ultralong cycling stability. Nanoscale Horizons 2016, 1 (6), 496-501.
- Nanoeffects promote the electrochemical properties of organic Na2C8H4O4 as anode material for sodium-ion batteries. Nano Energy 2015, 13, 450-457.
本文由材料人新能源前线Allen供稿,材料牛整理编辑。
材料牛网专注于跟踪材料领域HTH官网地址 及行业进展,这里汇集了各大高校硕博生、一线科研人员以及行业从业者,如果您对于跟踪材料领域HTH官网地址 进展,解读高水平文章或是评述行业有兴趣,点我加入编辑部大家庭。
欢迎大家到材料人宣传HTH官网地址 成果并对文献进行深入解读,投稿邮箱tougao@cailiaoren.com。
投稿以及内容合作可加编辑微信:RDD-2011-CHERISH,任丹丹,我们会邀请各位老师加入专家群。
材料测试,数据分析,上测试谷!





