在化石资源日益枯竭和环境污染两大世界难题面前,开发新型可持续的清洁能源显得尤为重要;在此大背景下,解决方法之一就是发展可再生生物质资源代替不可再生的化石资源,用于生产液体燃料和化学品。近年来,此类方法引起了国内外极大的关注。

张泽会教授在其研究工作的基础上,首次系统总结了催化氧化技术在催化生物质碳水化合物转化为各种重要的有机酸(甲酸、醋酸、乙醇酸、丙二酸、草酸、葡萄糖酸、葡糖二酸)及催化呋喃化合物选择性氧化中的应用,并对当前各种方法进行了深入讨论与分析。本文针对当前催化生物质氧化为有机酸和呋喃类化合物的各种方法进行了评论并提供了该研究方向的重要建议。该综述对生物质催化氧化合成重要有机酸和呋喃类化合物具有指导和引领作用。文章以“Catalytic oxidation of carbohydrates into organic acids and furan chemicals”为题发表在2018年1月3日出版的Chemical Society Reviews上。

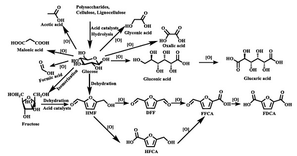
图1. 由葡萄糖和葡萄糖衍生的分子氧化产生的化学品
碳水化合物转化为甲酸
1954年,文献中首先报道了将碳水化合物氧化为甲酸的研究。 其中,Schöpf和Wild用化学计量的高碘酸(H5IO6)将葡萄糖氧化成甲酸,图2显示了1 mol葡萄糖与3 mol O2的化学计量反应,结果产生了6 mol甲酸,同时没有任何其他副产物。

图2. (a)葡萄糖氧化为甲酸的化学计量反应; (b)通过H3+nPVnMo12-nO40(HPA)催化剂将碳水化合物氧化转化为甲酸
碳水化合物转化为醋酸
生物质氧化成乙酸通常发生两步反应:首先将碳水化合物转化为中间体,然后将中间体氧化成乙酸。 H2O2经常用作第二步的氧化剂。根据反应条件,中间体包括HMF,2-糠醛(2-FA),乳酸和乙酰丙酸。

图3. 两步法用于经由不同中间体生产乙酸
碳水化合物转化为葡萄糖酸
从碳水化合物合成葡萄糖酸基本上需要两个连续的步骤:将碳水化合物催化水解成葡萄糖,随后氧化产生的葡萄糖酸。 因此,结合金属和酸性位点的双功能催化剂对于将水解和氧化步骤整合到用于将碳水化合物转化为葡萄糖酸的一锅反应是目前发展的一个趋势。

图4. 碳水化合物转化成葡萄糖酸及其衍生物的反应路径
呋喃类化合物的催化氧化
HMF,糠醛和其他从生物质生产的平台化学品也可以被催化氧化成多种化学品。 由C6碳水化合物脱水生成的HMF被认为是从生物质中得到的最重要的平台化合物之一。其中,HMF选择性氧化是一类重要的反应,文章对其相关反应进行了论述:(1)HMF中甲酰基选择性氧化为HFCA和FFCA;(2)用O2选择性氧化HMF至DFF;(3)TEMPO对HMF氧化成DFF的调节;(4)贵金属催化剂中HMF催化氧化FDCA;(5)使用t-BuOOH和H2O2作为氧化剂将HMF催化氧化成FDCA;(6)电催化、光催化氧化HMF等。

图5. HMF和碳水化合物合成呋喃类化合物
总的来说,HMF氧化成DFF主要在过渡金属(V、Mn或Ru)作催化剂的无碱有机溶剂中进行。 钒催化剂在DFF选择性和催化剂稳定性方面表现出较低的催化活性,而O MS-2(KMn8O16·nH2O)催化剂具有较高的将HMF氧化为DFF的活性和稳定性。HMF氧化成FDCA主要在负载贵金属的催化剂(Pt,Pd和Au)且碱过量的水中进行。 Au催化剂在HMF有氧氧化成FDCA中比Pt和Pd催化剂具有更高的选择性和稳定性。
作者对部分商用化学品的市场进行分析后发现,常用的甲酸、乙酸等由于来源广泛,所以商品已大量生产,并且价格低廉;然而,乙醇酸、2,5-呋喃二甲酸 (FDCA)等,一方面由于生产工艺苛刻、不成熟,另一方面由于其可以替代石油衍生物生产塑料,橡胶等化工产品,市场需求量巨大,所以价格昂贵。因此,张泽会教授课题组在此前的一系列研究中发展了热、光催化体系对木质素、果糖、HMF等进行选择性转化,该成果发现利用表面杂化技术可以实现将含硫氮杂金属卟啉与氮化碳形成配位键进行有效负载,进而能够在常温、常压下将生物质衍生物5-羟甲基糠醛(HMF)高效转化为广泛应用于塑料、橡胶、医药工业的大宗化学工业产品2,5-呋喃二甲酸(FDCA),并利用多种检测手段首次证实单线态氧活性物种对醇类物质的仿生催化具有较好的选择性。相关研究发表在了17年9月28日出版的的JACS上(详见Selective oxidation of 5-hydroxymethylfurfural to 2,5-furandicarboxylic acid using O2 and a photocatalyst of Co-thioporphyrazine bonded to g-C3N4)
表1. 碳水化合物氧化产生的商用化学品的市场需求量和应用。

在化石资源日益枯竭的背景下,发展可再生资源获取化学品和燃料分子的需求尤为迫切。生物质资源是唯一含碳的物质性可再生资源,催化生物质转化可以获取多种重要化学品。近年来,张泽会教授在生物质催化转化领域取得了较为突出成果,以通讯作者在JACS, ACS Catal., Appl. Catal. B-Envrion.,J. Catal., Green Chem.,ChemSusChem,J. Mater.Chem. A 等期刊发表SCI一区论文近30篇。张泽会教授的研究工作受到了国内外同行专家的认可,目前所发表论文他引次数近2300次,H指数29,其中1篇通讯作者论文入选2013年度中国百篇最具国际影响学术论文,8篇通讯作者论文入选美国HTH官网地址 信息所基本科学指标数据库(ESI)高被引用论文。
全文链接:Catalytic oxidation of carbohydrates into organic acids and furan chemicals (Chem. Soc. Rev.,2017,DOI: 10.1039/C7CS00213K)
《Chemical Society Reviews》是英国皇家化学学会旗下的顶级综述性期刊,杂志创刊于1972年,在化学及相关领域中有着相当高的学术影响力,是化学领域最具权威的三大顶级综述性期刊之一,2016-2017最新SCI影响因子为38.618。
本文由张泽会教授课题组供稿,材料牛整理编辑。
材料牛网专注于跟踪材料领域HTH官网地址 及行业进展,这里汇集了各大高校硕博生、一线科研人员以及行业从业者,如果您对于跟踪材料领域HTH官网地址 进展,解读高水平文章或是评述行业有兴趣,点我加入编辑部大家庭。
欢迎大家到材料人宣传HTH官网地址 成果并对文献进行深入解读,投稿邮箱tougao@cailiaoren.com。
投稿以及内容合作可加编辑微信:RDD-2011-CHERISH,任丹丹,我们会邀请各位老师加入专家群。
材料测试、数据分析,上测试谷!





