【引言】
随着便携式电子产品和电动汽车的快速发展,现代社会迫切需要具有高安全性、超长使用寿命以及可快速充放电等优点的高性能储能设备;然而,现有的储能体系往往存在一些缺陷,如超级电容器低的能量密度、锂离子电池的安全风险、碱性锌锰电池差的循环稳定性。
【成果简介】
近来,清华大学深圳研究生院的康飞宇教授和徐成俊副研究员课题组报道了一种新型的锌离子混合超级电容器(ZHSs),该论文以题:Extremely safe, high-rate and ultralong-life zinc-ion hybrid supercapacitors发表在Energy Storage Materials期刊上,其以高比表面积活性炭材料为正极、以金属锌为负极、以硫酸锌中性水系溶液为电解液,借助于离子在活性炭表面的快速吸脱附和锌离子在锌电极表面的溶解/沉积实现了能量的可逆存储/释放(如图1)。

图1. 锌离子混合超级电容器结构示意图。
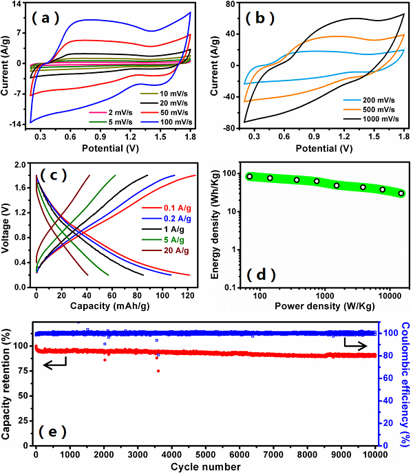
具体来说,如图2所示,在0.2~1.8 V的工作电压范围内,该锌离子混合超级电容器的比容量和能量密度分别可达121 mAh/g和84 Wh/kg(基于活性炭电极质量计算),且能够在15 s内进行快速充放电,功率密度为14.9 kW/kg、能量密度保持在30 Wh/kg。相比之下,以活性炭为电极的对称型超级电容器,在硫酸、硫酸钠、硫酸锌等不同的水系电解液中,只获得了0.5~3.3 Wh/kg的能量密度。此外,该锌离子混合超级电容器显示出优异的循环稳定性,在1 A/g电流密度下经过10000次充放电循环,容量保持率高达91%。进一步地,作者探讨了不同碳材料正极与锌离子混合超级电容器电化学性能间的关系、以及不同电解液(特别是碱性电解液和中性电解液)对锌负极和整个器件循环稳定性的影响。结合电极微观形貌分析和组分表征等,作者对该锌离子混合超级电容器的储能机理进行了详细的探讨,表明了离子在活性炭表面的物理吸脱附和锌离子在锌电极上的沉积/溶解是核心机制,但同时会伴随碱式硫酸锌的生成等。 
图2. 锌离子混合超级电容器的(a-b)循环伏安曲线、(c)各电流密度下的充放电曲线、(d)能量密度图和(e)循环性能。
【结论】
本论文的第一作者清华大学深圳研究生院的董留兵(已完成博士毕业答辩)认为该锌离子混合超级电容器构筑的一个巧妙之处是借助于在硫酸锌水系电解液体系下金属锌电极的反复溶解-沉积过程输出高比容量的同时具有优异的循环稳定性和安全性;这种可快速充放电、具有超长寿命的新型安全水系锌离子混合超级电容器的研究为下一代储能器件提供了新的选择。本研究工作得到了国家973项目、深圳市HTH官网地址 计划项目和中美电动汽车专项等提供的支持。
文献链接:Extremely safe, high-rate and ultralong-life zinc-ion hybrid supercapacitors(Energy Storage Materials, 2018, doi: 10.1016/j.ensm.2018.01.003).
本文由清华大学康飞宇教授团队提供,特此感谢。
材料牛网专注于跟踪材料领域HTH官网地址 及行业进展,这里汇集了各大高校硕博生、一线科研人员以及行业从业者,如果您对于跟踪材料领域HTH官网地址 进展,解读高水平文章或是评述行业有兴趣,点我加入编辑部大家庭。
欢迎大家到材料人宣传HTH官网地址 成果并对文献进行深入解读,投稿邮箱tougao@cailiaoren.com。
投稿以及内容合作可加编辑微信:RDD-2011-CHERISH,任丹丹,我们会邀请各位老师加入专家群。
材料测试、数据分析,上测试谷!





