材料牛注:
常见的多孔材料有分子筛、多孔碳及其著名的MOF哦!对于这些材料的比表面积、孔容和孔径分布的测试是相当有意义的,因为其很多的应用都是基于多孔结构和大的比表面积。对于亲爱的材料人来说,BET可是个“老朋友”了,都很常见,很多材料人都做过BET实验,但是我们真的了解这个“老朋友”吗?那么,小编今天就带您来详细了解下这位“老朋友”!
【BET的基础理论】
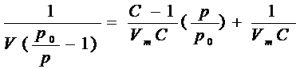
B、E、T其实是三个的名字首字母,他们分别是:S.Brunauer (布鲁尼尔)、P.Emmett (埃密特) 和E.Teller (特勒),这三位在Langmuir吸附理论的基础上于1938年提出的BET多分子层吸附理论(南京大学傅献彩主编的《物理化学》上有详细的介绍),基础了著名的BET方程:

其中: P—吸附平衡时气体的压力; P0—实验温度下吸附质的饱和蒸气压;V—吸附质(气体)的体积; Vm—标准状况下,全部覆盖一层时所需气体的体积;C—与吸附热和气化热有关的常数。
当然这个方程是基于一下几个假设:
① 吸附剂表面是均匀的;
② 吸附分子的吸附与脱附不受其它分子的影响,即吸附分子之间无相互作用力;
③ 分子可靠范德华力吸附形成多层,但不一定等第一层吸附满后再进行多层吸附;
④ 吸附层的层与层之间可以建立动态平衡。
将p/V(P0-P)对P/P0作图可得到一条直线,由上述的BET公式即可的得出直线的斜率为(C-1)/VmC,截距为1/VmC,这样就求出了Vm和C(不要急,后面会有用的!)。
注意哦,这个BET公式在相对压力为0.05-0.35范围内才适用(大于0.35会出现毛细管凝聚,小于0.05无法出现多层吸附)。
【等温吸附曲线及滞后环类型】

图1 物理吸附(右)及滞后环(左)的类型
等温吸附曲线的六大类型:
由图1(右)可以看到等温吸附曲线的六大类型,我们可以对比自己所得到的等温曲线类型,确定是属于哪一类等温吸附曲线类型。那么有什么意义呢?于是我们将相对压力粗略地分为低压(0.0-0.1)、中压(0.3-0.8)、高压(0.90-1.0)三段。
低压端偏Y轴则说明材料与氮有较强作用力(І型,ІІ型,Ⅳ型),较多微孔存在时由于微孔内强吸附势,吸附曲线起始时呈І型;低压端偏X轴说明与材料作用力弱(ІІІ型,Ⅴ型)。
中压端多为氮气在材料孔道内的冷凝积聚,介孔分析就来源于这段数据,包括样品粒子堆积产生的孔,有序或梯度的介孔范围内孔道。BJH方法就是基于这一段得出的孔径数据。
高压段可粗略地看出粒子堆积程度,如І型中如最后上扬,则粒子未必均匀。平常得到的总孔容通常是取相对压力为0.99左右时氮气吸附量的冷凝值。
滞后环:
这是由于毛细管凝聚作用使N2分子在低于常压下冷凝填充了介孔孔道,由于开始发生毛细凝结时是在孔壁上的环状吸附膜液面上进行,而脱附是从孔口的球形弯月液面开始,从而吸脱附等温线不相重合,往往形成一个滞后环。
根据实验所得的滞后环可以给我们一些提供一些材料孔的信息,H1是均匀孔模型,H2一般认为是多孔吸附质或均匀粒子堆积孔导致的,H3是片状粒子堆积形成的狭缝孔,H4是由层状结构产生的狭缝孔。
【比表面积的得出】
根据公式:

其中,SBET是BET比表面积,NA是阿伏加德罗常数,AM是每个吸附质分子占据的交叉截面面积,而MV是每克分子体积(22414ml)。对于液氮的BET测定,77K下N2分子的交叉截面积被假定为0.162nm2。这样就可将上式化简为:SBET=4.325 VM m2.g-1于是就求出了比表面积。注意只能适用于ІІ型,Ⅳ型等温吸附曲线。
【材料孔径分布的求得】
根据孔半径的大小,固体表面的细孔可以分成三类:微孔(小于2nm),中孔(2~50nm),大孔(大于50nm)。N2吸附测定孔径分布,利用的是毛细管凝聚现象和体积等效交换原理,即被测孔中充满的液氮量等效为孔的体积。由开尔文方程:

其中:平衡蒸汽压为P,饱和蒸气压为P0,表面张力为γ,T表示绝对温度,R为气体常数,M表示摩尔质量,r表示液滴的半径。
由毛细管凝聚理论可知,随着值P/P0增大,能够发生毛细管凝聚的孔半径也随之增大。对应于一定的P/P0值,存在一临界孔半径Rk,半径小于Rk的所有孔皆发生毛细管凝聚,液氮在其中填充。Rk与吸附质分压的关系:

当压力小于相对压力时,半径大于Rk的孔中液氮气化并脱附出来。通过测定样品在不同相对压力下凝聚氮气量,可绘制出其等温脱附曲线。按照毛细凝聚理论,作出吸附质体积Vr(孔容)和Rk(孔径)的关系,然后求出,对Rk作图就得到了孔径分布曲线。注:孔径测定的范围是2~50nm。
【为要用氮气作为吸附质呢?】
在液氮温度下(77K),在一定的氮气压力下,任何粉体材料的表面都可以吸附氮气的分子,并对应于确定的平衡吸附量,这种吸附是纯粹的物理吸附,而且是可逆的,即在回到室温的过程中,所有被吸附的氮分子又都被脱附出来。当然了,如果材料和N2发生化学反应的时候,就不能拿氮气作为吸附质。
以上是小编根据一些网络资源和相关文献整理得出,如有错误之处还请各位指出哦!
小编强烈推荐:
Characterization of Porous Solids and Powders: Surface Area, Pore Size and Density,这本书全面覆盖了气体吸附法(物理吸附和化学吸附), 压汞法和密度测量法。
本文由材料人编辑部学术组朱德杰供稿,材料牛编辑整理。
欢迎加入材料人编辑部学术组,一起进行材料顶刊学术动态的跟踪和报道以及SCI相关知识科普等。加入方式:加入材料人MOF学术交流群(120199039),私信管理员“淡年华(QQ:601416321)”报名。
欢迎各大课题组到材料人宣传HTH官网地址 成果并对文献进行深入解读,投稿邮箱tougao@cailiaoren.com





