【引言】
胶体半导体纳米晶体也被称为量子点(QDs),正在迅速发展成为先进技术领域的重要发光材料,特别是在显示器领域,其具有的高色纯度、高发射效率、稳定性、溶液加工性和柔性激发量子点特性,使其成为最理想的发射极。然而,目前同时实现量子点的这些所有性质是很困难的。当考虑发光和光电性质时,胶体量子点将主要受其激发态的控制。虽然人们已经对胶体量子点的尺寸和形状进行了广泛研究,但对其激发态的综合控制尚处于认识和发展的初期。最佳的合成方案应该能得到具有理想光物理性质的量子点激发态,即包括集成的光致发光(PL)峰宽度与单点PL、荧光量子产率和单量子荧光衰减动力学相匹配。为简单起见,我们将使用“本征PL峰宽”表达集成和单点PL发光峰的宽度。同时,其激发态的光化学性质,主要抗闪烁和反漂白也应综合控制。荧光闪烁是指在恒定激励下,在可分辨亮度水平之间随机切换的单个量子点的PL强度,可视为可逆的光化学过程。荧光漂白被认为是激发态量子点不可逆的光化学蚀刻。经过几十年的不懈努力,CdSe量子点可以达到理想色纯度,接近统一的荧光量子产率和单指数量子荧光衰减动力学。然而,这些理想的光物理性质还没有同时实现。
此外,这些量子点的CdSe核心在特殊操作和应用条件下,光化学性质很不稳定。宽禁带壳的外延生长是解决其光化学挑战的有利解决方法。CdSe/CdS是目前研究最多、发展最快的核壳量子点体系。CdS和CdSe形成I型能带偏移,价带顶(导带底)的CdS能量是∼0.5 eV比CdSe(∼高于0.3 eV)的低,提供了光生电子和空穴波函数约束的CdSe核量子点。但是,潜在的可能反应,特别是导带之间的CdSe和CdS是很有限的。这意味着CdSe/CdS核壳纳米晶的光学性质仍然对壳层厚度、核壳量子点的形状以及表面配体都很敏感。据推测,CdS的壳在波函数中的域应与CdSe核心量子点激子的动能密切相关。基于量子限域效应,后者取决于CdSe核心纳米晶的大小。虽然人们已经对CdSe/CdS核壳量子点进行了广泛研究,但是核尺寸效应、核形状、核壳量子点、壳层厚度和表面配体对其光物理和光化学性质的影响目前大多是未知的或者仅仅停留在经验水平上。
本文系统地探究了CdSe/CdS核壳量子点的光物理和光化学性质的结构效应。以近似本征CdSe量子点的PL峰宽度和不同尺寸作为外延材料的核心。这种新的合成方案产生的CdSe/CdS量子点具有单指数的荧光衰减动力学,本征荧光峰宽,接近统一的荧光量子产率以及抗闪烁和反漂白特性。系统研究了CdSe核心量子点的大小、核心量子点的形状、壳层厚度、核壳量子点的形状以及表面配体对CdSe/CdS核壳结构纳米晶光物理和光化学性质的影响及相互作用。
【成果简介】
近日,浙江大学的彭笑刚教授(通讯作者)团队在J. Am. Chem. Soc.上发表了题为“Ideal CdSe/CdS Core/Shell Nanocrystals Enabled by Entropic Ligands and Their Core Size‑, Shell Thickness‑, and Ligand-Dependent Photoluminescence Properties”的文章。该团队以CdSe/CdS核壳量子点作为模型,系统研究了外壳的外延、配体交换和核壳量子点的形状转换对CdSe/CdS核壳结构纳米晶光物理和光化学性质的影响。在外延过程中,关键的合成参数是熵配体的应用,即将羧酸配体与不同长度或结构的烃链混合。要达到理想的光致发光特性,控制外延壳具有一定厚度(约3-8个单层的CdS壳),而核心量子点尺寸在确定核壳量子点的光物理和光化学性质方面起着重要作用。核心量子点形状的影响不明显,而核壳量子点的形状定量影响光物理性能。表面配体、胺和羧酸盐对光化学性质(抗闪烁和反漂白)都是非常重要的,但只要熵配体(不同烃链长度的混合羧酸配体)被应用在外延材料上,对其光物理性质就会几乎没有影响。化学环境(在聚合物或空气中),再加上表面配位体,确定的核尺寸和壳厚就可以确定核壳量子点的光化学性质。
【图文导读】
图1 不同配体或不同形状包覆的CdSe/CdS核壳纳米晶的三步合成示意图

步骤1:由球形(a)或者六方形(a’) CdSe纳米晶外延生长生成六面体的CdSe/CdS核壳纳米晶体(b和b’)
步骤2:表面配体与合成的六面体CdSe/CdS核壳纳米晶体(b和b’)交换产生胺配体包覆的核/壳纳米晶体(c和c’)
步骤3:胺配体包覆的六面体CdSe/CdS核壳纳米晶体(c和c’)转变为球形(d和d’)
图2 转换前后CdSe/CdS核壳量子点的高分辨TEM图和X射线粉末衍射谱

为了做对比,相应的核心CdSe量子点的X射线粉末衍射谱以及闪锌矿结构的CdS和CdSe也在图中示出
图3 CdSe核和不同壳层厚度的CdSe/CdS核壳纳米晶的TEM图及紫外–可见光吸收光谱和荧光发射光谱

(a)CdSe630s核和不同壳层厚度的CdSe630s/CdS核壳纳米晶的TEM图像
(b)CdSe630s核和不同壳层厚度的CdSe630s/CdS核壳纳米晶的紫外-可见光吸收光谱(黑线)和荧光光谱(红线)
(c)CdSe630s核和不同壳层厚度的CdSe630s/CdS核壳纳米晶的瞬态荧光光谱
图4 壳厚度与光谱的关系图

(a)荧光发射峰的半高全宽(FWHM)
(b)χR2为核壳量子点与不同类型的镉烷酸酯生长的荧光发射衰减动力学单指数拟合
(c-d)纯化的月桂酸/油酸配体包覆CdSe590s/6CdSh前后的稳定和瞬态荧光光谱
图5 五个系列的CdSe/CdS核壳量子点的核尺寸和壳厚度与光物理性质的关系

(a)特定的核心吸收波长与壳厚度的荧光光谱
(b)核/壳纳米晶的半高宽
(C)核心和核/壳纳米晶的斯托克斯位移
(d)核/壳纳米晶体的单指数荧光衰减寿命
图6 六面体和球形两种不同形状的CdSe核的CdSe/CdS核壳纳米晶的光学性能

(a)六面体和球形CdSe核量子点的归一化紫外-可见光吸收光谱(黑线)和荧光光谱(红线)
(b-c)具有不同核形状但在形状转换前后具有相同吸收峰的CdSe/CdS核壳纳米晶的紫外-可见光吸收光谱稳态荧光光谱和瞬态荧光光谱
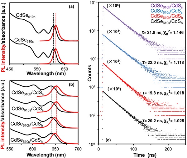
图7 CdSe/5CdSh和CdSe/5CdSs核壳纳米晶的TEM照片和光学性能(UV-Vis、PL、PL-lifetime)

(a-d)五个不同CdSe/CdS核壳量子点的TEM图像
(e-f)CdSe/CdS核壳量子点在不同状态时的紫外-可见光吸收光谱(黑线)和荧光发射光谱(红线)以及瞬态荧光光谱
(g-h)CdSe/5CdSh和CdSe/5CdSs形状变化的斯托克斯位移和吸收峰荧光寿命
图8 单个CdSe630s/8CdSh核/壳量子点的光强轨迹、直方图和半高全宽图

(a-b)配体交换前后CdSe630s/8CdSh核壳量子点的光强轨迹
(c-d)配体交换前后CdSe630s/8CdSh核壳量子点的直方图
(e-f)配体交换前后CdSe630s/8CdSh核壳量子点的半高全宽图
图9 四种不同类型的CdSe/CdS核壳量子点的光强轨迹和光漂白图

(a-d)四种CdSe/CdS单量子点在空气中的光强轨迹
(e)羧酸配体的CdSe550s/8CdSh单点荧光发射谱的时间演变
(f)四种不同类型的CdSe/CdS核壳量子点的光漂白
【小结】
本文提供了一种合成光学单分散量子点的方法,且具有单指数PL衰减动力学,接近统一的荧光量子产率,本征PL宽度,抗闪烁以及在常见的应用条件下反漂白的性能。在外延研究的所有参数中,熵配体对于获得这种理想的量子点起着决定性作用,特别是对于具有较大核厚壳的量子点。虽然控制外延壳有一定厚度,对于CdSe核心,必须有3-8个单层CdSe核壳,核心量子点的尺寸被认为是决定光物理化学性能的一个关键因素。激子载流子的动能(量子限制能)决定了波函数在核和内壳层中的限制程度,从而决定了所有与无机配体界面有关的效应。考虑到单晶内部的核/壳结构,为获得理想性能的量子点,所有与无机配体界面相关的结构因素都必须得到很好的控制,包括核/壳量子点的形状、表面配体和环境的化学性质(溶剂、大气或固体基质)。这项工作和后续研究的结果将逐步帮助我们建立控制这些因素的系统知识,这将进一步为充分利用胶体量子点作为优异激发态材料铺平道路。
文献链接:Ideal CdSe/CdS Core/Shell Nanocrystals Enabled by Entropic Ligands and Their Core Size-, Shell Thickness-, and Ligand-Dependent Photoluminescence Properties (J. Am. Chem. Soc. 2017, DOI: 10.1021/jacs.7b07434)
本文由材料人 编辑部王飞编译,刘宇龙审核,点我加入材料人编辑部。
材料测试、数据分析,上测试谷!





