【引言】
锂硫电池(Li-S)具有较大的理论容量和较高的能量密度,有望成为下一代高性能锂离子电池。然而活性物质硫相对较低的电子电导率/离子电导率、可溶性多硫化物(PS)中间产物的飞梭效应以及充放电过程中较大的体积变化很大程度上限制了Li-S电池的实际应用价值。对正极结构进行优化设计,引入功能化界面层不仅可以有效解决PS的迁移问题,而且可以有效将含硫物种锚定在正极部分,从而提高Li-S电池的电化学性能。作为一种重要的Mxenes材料,碳化铌(NbC)优异的电学性能、力学性能、化学稳定性使其成为Li-S电池理想的功能性界面层材料。
【成果简介】
近日,中国科学技术大学的朱永春和滑铁卢大学的陈忠伟(共同通讯作者)等在Advanced Functional Materials上发表了题为“Conductive Nanocrystalline Niobium Carbide as High-Efficiency Polysulfides Tamer for Lithium-Sulfur Batteries”的研究论文,报道了锂硫电池界面层的最新研究进展。研究人员通过高压反应釜中的镁热还原法合成高导电性碳化铌纳米晶体,并将其用作Li-S电池的界面层材料。研究发现:这种微量导电性NbC纳米晶界面层的引入有效固定多硫化物、抑制了PS的飞梭效应,提高了Li-S电池的循环性能和倍率性能,为Li-S电池的实际应用提供了一种新的方法。
【图文导读】
示意图-1. NbC的制备示意图
镁热还原法制备NbC纳米晶体示意图
图-1. 样品的形貌表征和元素分析

(a)样品的扫描电子显微镜(SEM)图像;
(b)样品的透射电子显微镜(TEM)图像;
(c)样品的高分辨透射电子显微镜(HRTEM)图像;
(d)样品的TEM图像及选定区域的元素分布图像;
(e)Li2S4中S2p的X射线光电子能谱(XPS)光谱;
(f)NbC-Li2S4中S2p的XPS光谱。
图-2. Li-S电池的结构示意图及隔膜微观形貌表征

(a)常规的Li-S电池及改进后Li-S电池的结构示意图;
(b)Celgard(左)和涂覆NbC的薄膜(NCM)(右)的正面、背面电子图片;
(c)Celgard上表面的SEM图像;
(d)Celgard截面的SEM图像;
(e)NCM上表面的SEM图像;
(f)NCM截面的SEM图像。
图-3. NCM的电化学性能曲线

(a)扫描速率为0.1 mV/s时,装配NCM的电池的CV曲线;
(b)电流密度为0.5 C时,装配NCM的电池的充-放电曲线;
(c)电流密度为0.2 C时,装配NCM的电池的循环性能曲线;
(d)电流密度为0.5 C时,装配NCM的电池的循环性能曲线;
(e)电流密度为2.0 C时,装配NCM的电池的循环性能曲线。
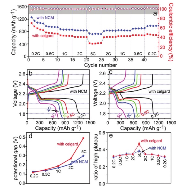
图-4. Celgard和NCM的电化学性能

(a)装配Celgrad的和装配NCM的电极的倍率性能;
(b)不同倍率下装配NCM的电极的充-放电曲线;
(c)不同倍率下装配Celgard的电极的充-放电曲线;
(d)装配Celgard和装配NCM的电池在不同倍率下的电势带宽;
(e)装配Celgard和装配NCM的电池中高放电平台的比例。
图-5. Celgard和NCM的电化学性能和光谱

(a)装配Celgard的电池的第四-第五次循环的电压-时间曲线;
(b)装配NCM的电池的第四-第五次循环的电压-时间曲线;
(c)装配Celgard的电池第四、第五、第六次充放电的电压曲线;
(d)装配NCM的电池第四、第五、第六次充放电的电压曲线;
(e)循环后隔膜浸泡在THF溶液中的电子照片;
(f)循环后隔膜的(紫外-可见)UV-vis光谱。
图-6. 隔膜的扩散性能测试

(a)隔膜的扩散性能测试;
(b, c)初始状态下锂负极的SEM图像;
(d, e)装配Celgard隔膜的锂负极循环后的SEM图像;
(f, g)装配NCM隔膜的锂负极循环后的SEM图像。
图-7. 装配NCM隔膜的Li-S电池的性能测试曲线

(a)电流密度为0.2 C时,Li-S电池的循环性能曲线;
(b)电流密度为0.2 C和0.5 C时,Li-S的充放电电压曲线;
(c)电流密度为0.5 C时,Li-S电池的循环性能曲线。
图-8. 软包Li-S电池的电化学性能测试

(a)软包Li-S电池点亮LED的电子照片;
(b)软包Li-S电池的充-放电曲线;
(c)电流密度为0.2 C时,软包Li-S电池的循环性能曲线。
【小结】
本文借助镁热还原法在相对较低的温度下制备得到了导电性NbC纳米晶,并将其成功应用于Li-S电池。研究发现:导电性NbC界面层的引入不仅可以将PS固定在正极一侧,抑制锂负极的钝化和电池的自放电,而且可以作为集流体的一部分,提高活性物质的利用率,从而提高了Li-S电池的循环稳定性、倍率性能。该方法为高性能Li-S电池的产业化应用提供了新的推动力。
【文献信息】
文献链接: Conductive Nanocrystalline Niobium Carbide as High-Efficiency Polysulfides Tamer for Lithium-Sulfur Batteries (Adv. Funct. Mater., 2017, DOI: 10.1002/adfm.201704865)
中科大钱逸泰、朱永春团队简介
钱逸泰、朱永春的无机固体化学研究小组。近年来在二次电池电极材料高效、低成本的合成方法和性能研究方面取得了创新性成果。主持国家973计划、国家自然科学基金、省自然科学基金等若干项。2010年以来在Energy & Environ. Sci.、Angew. Chem. Int. Ed.,Adv. Mater.,Adv. Funct. Mater.,ACS Nano,Nano Energy等国际知名刊物上发表研究工作60余篇。目前实验室研究方向主要有:高性能锂、钠离子电池正负极材料的研究,锂-硫电池的研究,锂-空气电池的研究,水系钠离子电池的研究。
团队在该领域重要工作
[1] Xiaona Li, Jianwen Liang, Yue Lu, Zhiguo Hou, Qiushi Cheng, Yongchun Zhu*, Yitai Qian*. Sulfur-Rich Phosphorus Sulfide Molecules for Use in Rechargeable Lithium Batteries. Angew. Chem. Int. Ed. 2017, 56, 2937-2941.
[2] Xiaona Li, Jianwen Liang, Kailong Zhang, Zhiguo Hou, Wanqun Zhang, Yongchun Zhu, Yitai Qian. Amorphous S-Rich S 1− X Se X/C (X≤ 0.1) Composites Qromise Better Lithium–Sulfur Batteries in a Carbonate-Based Electrolyte. Energy Environ. Sci., 2015, 8, 3181.
[3] Lei Hu, Yue Lu, Xiaona Li, Jianwen Liang, Tao Huang, Yongchun Zhu*, Yitai Qian*. Optimization of Microporous Carbon Structures for Lithium–Sulfur Battery Applications in Carbonate-Based Electrolyte. Small, 2017, 1603533.
[4] Xiaona Li , Jianwen Liang , Zhiguo Hou , Wanqun Zhang , Yan Wang, Yongchun Zhu ,Yitai Qian. A New Salt-Baked Approach for Confining Selenium in Metal Complex-Derived Porous Carbon with Superior Lithium Storage Properties. Adv. Funct. Mater. 2015.
相关优质文献推荐
[1] Yanying Lu, Ning Zhang, Shuang Jiang, Yudong Zhang, Meng Zhou, Zhanliang Tao, Lynden A. Archer, Jun Chen. High-Capacity and Ultrafast Na-Ion Storage of a Self-Supported 3D Porous Antimony Persulfide–Graphene Foam Architecture. Nano Lett. 2017, 17, 3668−3674.
[2] Lina Wang, Jingyuan Liu, Shouyi Yuan, Yonggang Wang, Yongyao Xia. To Mitigate Self-Discharge of Lithium–Sulfur Batteries by Optimizing Ionic Liquid Electrolytes. Energy Environ. Sci., 2016, 9, 224-231.
[3] Sen Xin, Yaxia Yin, Yuguo Guo, Lijun Wan. A High-Energy Room-Temperature Sodium-Sulfur Battery. Adv. Mater. 2014, 26, 1261–1265.
[4] Cheng Tang, Boquan Li, Qiang Zhang, Lin Zhu, Hao-Fan Wang , Jiale Shi, Fei Wei. CaO-Templated Growth of Hierarchical Porous Graphene for High-Power Lithium–Sulfur Battery Applications. Adv. Funct. Mater. 2016, 26, 577–585.
本文由材料人学术组供稿,材料牛整理编辑。
材料牛网专注于跟踪材料领域HTH官网地址 及行业进展,这里汇集了各大高校硕博生、一线科研人员以及行业从业者,如果您对于跟踪材料领域HTH官网地址 进展,解读高水平文章或是评述行业有兴趣, 点我加入编辑部。
材料测试,数据分析,上测试谷!





