当前位置: 材料牛 » HTH官网地址 » 导读 » Angew. Chem. Int. Ed.:无铅Cs2AgBiBr6双钙钛矿带隙的压力调控

Angew. Chem. Int. Ed.:无铅Cs2AgBiBr6双钙钛矿带隙的压力调控

【引言】

近年来,铅基杂化钙钛矿太阳能电池的迅猛发展使钙钛矿材料成为极具潜力的光伏材料。但杂化钙钛矿光伏材料的广泛应用仍面临两个主要的挑战:结构的不稳定性和铅元素的毒性。于是,具有较长载流子寿命和优异结构稳定性的无铅双钙钛矿材料Cs2AgBiBr6应运而生。然而,Cs2AgBiBr6较大的带隙值(大约2.2eV)在一定程度上限制了其器件的性能表现。于是,精确调控Cs2AgBiBr6带隙、深入了解其结构性质关系成为了亟待解决的问题。

【成果简介】

2017年11月15日,Angew. Chem. Int. Ed.在线发表了题为“High-Pressure Band-Gap Engineering in Lead-Free Cs2AgBiBr6 Double Perovskite”的文章。南方HTH官网地址 大学权泽卫教授和吉林大学邹勃教授为论文的共同通讯作者,文章的第一作者为南方HTH官网地址 大学的李茜博士。论文的其他合作者还包括华中HTH官网地址 大学的唐江教授和博士生潘伟程,Carnegie Institution of Washington的杨文革教授和王永刚博士。

【本文亮点】

研究者利用压力手段,通过改变无铅双钙钛矿Cs2AgBiBr6的结构,对带隙进行调控,进而揭示引起带隙变化的结构机制。高压下,Cs2AgBiBr6结构的收缩及配位八面体间的倾斜分别导致了其带隙的收缩及扩张,带隙值呈现复杂的变化趋势。6.5 GPa以上,结构逐渐的无序及非晶化促使Cs2AgBiBr6带隙持续收缩,并在15 GPa达到1.7 eV,收缩率高达22.3 %。更为有趣的是,完全卸压后,Cs2AgBiBr6结构中残余的局域无序使带隙仍然保留8.2 %的收缩率,进一步体现了其独特的带隙收缩机制。

【图文简介】

图1:a/b: Cs2AgBiBr6晶体在特定压力下的紫外可见光吸收光谱

c: Cs2AgBiBr6晶体在压力下的带隙演变,光学照片显示出晶体的压致变色行为

d: 15GPa压力处理前后的紫外可见光吸收光谱对比

e: Cs2AgBiBr6常压下的晶体结构    

图2a:Cs2AgBiBr6 在压力下的ADXRD图谱

b/c: Cs2AgBiBr6在0.6 GPa和4.5 GPa下的Rietveld 精修结果(黑色:实验值,红色:精修值,橙色:差值,绿色竖线,理论峰位),内图代表对应的晶体结构。

d/e:Cs2AgBiBr6晶格常数和晶胞体积随压力的演化

f:Bi-Br和Ag-Br键长随压力的变化(阴影部分代表相变区域)

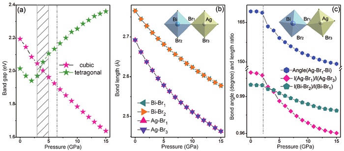
图3:a:立方相和四方相Cs2AgBiBr6的带隙随压力演化的计算结果

b:压力诱导的立方相中Ag-Br和Bi-Br键收缩的计算结果

c:Ag-Br-Bi键在压缩时相关信息的计算结果

【小结】

研究者利用利用金刚石对顶砧(DAC)技术进行了原位紫外-可见吸收光谱,同步辐射X光衍射及拉曼的高压光谱表征。结合理论计算,精细调控了无铅双钙钛矿材料Cs2AgBiBr6的带隙,揭示其高压下带隙收缩的结构机制。这项工作为设计更为理想的钙钛矿材料用于太阳能电池和光电探测器等领域提供了新的思路。

文献链接:High-Pressure Band-Gap Engineering in Lead-Free Cs2AgBiBr6 Double Perovskite (Angew. Chem.,2017,DOI: 10.1002/ange.201708684

团队简介:

 权泽卫,南方HTH官网地址 大学化学系教授,中组部第十一批“青年千人计划”入选者,曾于2012年获得美国洛斯阿拉莫斯国家实验室的奥本海默学者(Oppenheimer Fellow)。在功能纳米材料领域,尤其是在可控合成、自组装、高压变化及其性质等研究方面作出了颇具特色的研究成果。在Accounts of Chemical Research, PNAS, JACS, Angew, Nano Letters及Advanced Materials等一流期刊共发表学术论文93篇,引用次数超过6100次,H因子为40。现主持与参与多项国家及省市项目,包括国家自然科学基金,广东省HTH官网地址 厅,深圳市科创委和发改委等。戳我查看权泽卫教授课题组信息

邹勃,吉林大学超硬材料国家重点实验室教授,长江学者特聘教授,国家杰出青年科学基金获得者,长期从事高压化学的研究,在光电材料、高能密度材料、负压缩材料、富氢材料、纳米材料和超分子材料的高压研究以及高压相截获中取得了重要的研究成果。在JACS、Angew Chem等SCI检索期刊发表学术论文200余篇。主持的项目包括基金委重点基金、杰青基金和面上基金等。

本文由撰稿人Qin提供,材料牛编辑整理校稿。

投稿以及内容合作可加编辑微信:RDD-2011-CHERISH,任丹丹,我们会邀请各位老师加入专家群。

材料牛网专注于跟踪材料领域HTH官网地址 及行业进展,如果您对于跟踪材料领域HTH官网地址 进展,解读高水平文章或是评述行业有兴趣,点我加入编辑部。欢迎大家到材料人宣传HTH官网地址 成果并对文献进行深入解读,投稿邮箱tougao@cailiaoren.com。

未经允许不得转载:材料牛 » Angew. Chem. Int. Ed.:无铅Cs2AgBiBr6双钙钛矿带隙的压力调控

相关文章

Baidu
map