【引言】
在过去的几十年里, 基于磁热效应的磁制冷技术由于其既环保又高效节能的特性从而有望取代传统压缩制冷技术,已成了各国研究的重点。在各种非常有潜力的磁热材料中,Ni-Mn基合金由于其多功能特性(如形状记忆效应、磁致应变、磁阻效应、弹热效应等)以及其不含稀土元素和有毒元素引起了各国学者的极大关注。对于高性能磁制冷材料,其须满足以下两个条件:(1) 在尽可能低的磁场下具有较大的可逆磁热效应; (2) 具有良好的热交换能力。对于Ni-(Co)-Mn-X (X = In, Sn, Sb)变磁形状记忆合金,一方面由于其磁结构转变参数结合不合理使其难以在低场下获得可逆的磁热效应,另一方面其非常脆很难被加工成有利于热交换的几何形状。这些缺陷极大限制了其一进步的发展。
【成果简介】
近日,来自北京HTH官网地址 大学的从道永教授(通讯作者)和瞿玉海博士(第一作者)在Appl. Phys. Lett.上发表题目为“Large and reversible inverse magnetocaloric effect in Ni48.1Co2.9Mn35.0In14.0 metamagnetic shape memory microwire”的文章。微丝具有较大的比表面积从而有利于获得优异的热交换能力。因此,研究人员通过泰勒法把Ni48.1Co2.9Mn35.0In14.0变磁形状记忆合金制备成微丝,然后在850 ℃ 热处理30 min,以同样热处理条件下获得的Ni48.1Co2.9Mn35.0In14.0块体作为对照组,通过DSC、PPMS等分析手段对实验结果进行了分析与讨论。与对应的块体相比,由于磁结构转变参数更好的结合,Ni48.1Co2.9Mn35.0In14.0变磁形状记忆微丝导致可逆相变的临界磁场大大降低,并在Ni-Mn基微丝中首次报道了可逆磁致相变。 此外,在5 T磁场下,Ni48.1Co2.9Mn35.0In14.0变磁形状记忆微丝获得了12.8 J/kg K的可逆磁熵变。该可逆熵变值为目前Ni-Mn基磁形状记忆微丝中的最大值。
【图文导读】
图1: Ni-Co-Mn-In变磁形状记忆微丝的宏观形态

(a) Ni-Co-Mn-In变磁形状记忆微丝的宏观形态。由图可知通过泰勒法可以很容易地制备出连续且较长的微丝。
(b) Ni-Co-Mn-In变磁形状记忆微丝的光学显微镜照片。由图可知通过泰勒法可以制备尺寸均匀的微丝。
图2: DSC曲线分析

图为Ni-Co-Mn-In变磁形状记忆微丝及其对应块体的DSC曲线。由图可知与块体相比,微丝的磁结构转变温度(As、Af、Ms和Mf)及奥氏体的居里温度(Tc)均降低。
图3: M(T)曲线分析

图为Ni48.1Co2.9Mn35.0In14.0微丝及其对应块体在0.02 T和5 T磁场下的M(T)曲线。由图可知对于微丝,0.02 T的降温M(T)曲线与5 T的升温曲线之间有间隙而块体没有,这表明与块体相比,微丝导致可逆相变的临界磁场μ0Hmin显著降低了。结合由DSC数据确定的相转变间隔、热滞后以及转变熵和由M(T)曲线确定的磁化强度差(ΔM)对微丝和块体的μ0Hmin进行了计算,发现微丝的μ0Hmin为3.8 T,而块体的μ0Hmin为7.6 T。
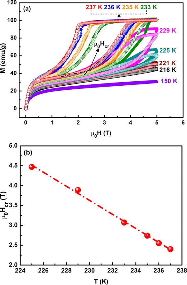
图4: M(H)曲线分析以及μ0Hcr(T)的线性回归分析

(a) Ni48.1Co2.9Mn35.0In14.0变磁形状记忆微丝在第一次场循环和第二次场循环的M(H)曲线,其中施加的最大磁场为5 T。磁致相变的临界磁场μ0Hcr的确定方法如图所示。由图可知两次场循环的M(H)曲线基本重合,表明在循环磁场作用下,Ni48.1Co2.9Mn35.0In14.0变磁形状记忆微丝的磁致相变具有可逆性。
(b) 磁致相变的临界磁场μ0Hcr与温度的关系图。通过拟合发现其斜率约为-0.175 T/K。
图5: 可逆磁熵变

图为不同温度下的可逆磁熵变ΔSm。由图可知,在233 K,可逆ΔSm取得最大值,其值为12.8 J/kg·K。
【小结】
本文研究人员通过泰勒法制备了Ni48.1Co2.9Mn35.0In14.0变磁形状记忆微丝。与对应块体相比,该微丝的导致可逆相变的临界磁场降到了3.8 T,首次在Ni-Mn基微丝合金中实现了可逆磁致相变。并在5 T磁场下,我们在Ni48.1Co2.9Mn35.0In14.0变磁形状记忆微丝中获得了12.8 J/kg·K可逆磁熵变。此外,该微丝具有良好的热交换能力并且容易制备,从而使Ni48.1Co2.9Mn35.0In14.0变磁性形状记忆微丝在磁制冷领域具有较大的应用潜力。
文献链接:Large and reversible inverse magnetocaloric effect in Ni48.1Co2.9Mn35.0In14.0 metamagnetic shape memory microwire(Appl. Phys. Lett.2017,DOI:10.1063/1.5000450)
本文由北京HTH官网地址 大学从道永教授团队提供。
材料人网专注于跟踪材料领域HTH官网地址 及行业进展,这里汇集了各大高校硕博生、一线科研人员以及行业从业者,如果您对于跟踪材料领域HTH官网地址 进展,解读高水平文章或是评述行业有兴趣,点我加入材料人编辑部。
欢迎大家到材料人宣传HTH官网地址 成果并对文献进行深入解读,投稿邮箱tougao@cailiaoren.com。
投稿以及内容合作可加编辑微信:RDD-2011-CHERISH,任丹丹,我们会邀请各位老师加入专家群。
材料测试,数据分析,上测试谷!





