【引言】
超分子聚合物(SMPs)的单体单元或聚合物部分通过可逆的非共价相互作用连接,已经在科学界受到越来越多的关注。超分子基团的引入为常规聚合物带来了有用的且可调的性能和功能,并且也是制备高分子量聚合物和嵌段共聚物的实用途径。多重氢键(MHBs)被广泛用作构建SMPs,因为它具有强大的结合力和对外部刺激的高度敏感性。
【成果简介】
近日,浙江大学潘鹏举教授(通讯作者)团队选择了2-脲基-4 [1H] – 嘧啶酮(UPy)键合聚L-乳酸(PLLA)作为模型SMP,研究了超分子PLLA(SM-PLLAs)的结晶动力学,多晶型结构和相变。通过具有不同分子量的羟基封端的2-和3-臂PLLA前体的末端官能化来合成SM-PLLAs。与未官能化的PLLA前体相比,SM-PLLA的结晶速率和结晶度在非等温和等温结晶中都被强烈抑制。SM-PLLA的晶体结构对结晶温度(Tc)敏感,低Tc(75-95℃)有助于在SM-PLLA中形成PLLA的亚稳态β晶体; 而高Tc(100-130℃)有利于α(或α’)晶体的生成。在随后的加热过程中,在SM-PLLA中形成的β晶体转化成更稳定的α晶体。经过实验研究认为β晶体的优先形成归因于UPy基元和UPy-UPy相互作用的“强”限制,可能在结晶过程中对连接的PLLA链产生取向和伸展效应。上述成果以题为“Preferential Formation of β-Form Crystals and Temperature-Dependent Polymorphic Structure in Supramolecular Poly(l-lactic acid) Bonded by Multiple Hydrogen Bonds”发表在了Macromolecules上。
【图文导读】
图1 温度依赖性分析

(A)波数范围内的温度依赖性FTIR光谱
(B)频带强度随温度的变化
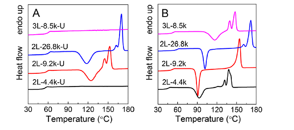
图2 热分析图

(A,B)记录在熔化的SM-PLLA和PLLA前体的加热过程中的DSC热分析图:(A)SM-PLLA; (B)PLLA前体
图3 在各种Tc下等温冷结晶中记录的SM-PLLA和PLLA前体的DSC结果

(A)SMPLLA的DSC曲线;
(B)PLLA前体的DSC曲线;
(C)t1/2〜Tc图
图4 SM-PLLA和PLLA前体在120℃熔融结晶期间的POM结果

(A)代表性POM显微照片
(B)球晶半径相对于晶体生长时间的图
图5 在90℃下,2L-4.4k-U SM-PLLA冷结晶的放大WAXD分布图

在这个图中晶格间距对应于特征衍射面
【小结】
UPy键合的SM-PLLA与传统共价键合PLLA相比表现出独特和不同的结晶动力学,多晶型晶体结构和相变行为。SM-PLLA比相应的共价键合的PLLA前体具有更慢的结晶速率和更低的结晶度,这是由于H键UPy基元的限制作用所引起的。这项研究可以使我们进一步了解SMPs独特的结晶动力学和多晶型晶体结构,也为SMPs在加工过程中的物理性能和功能定制提供了可能的途径。
文献链接:Preferential Formation of β-Form Crystals and Temperature-Dependent Polymorphic Structure in Supramolecular Poly(l-lactic acid) Bonded by Multiple Hydrogen Bonds(Macromolecules, 2017, DOI:10.1021/acs.macromol.7b01705)
本文由材料人新能源组Allen供稿,材料牛整理编辑。
材料牛网专注于跟踪材料领域HTH官网地址 及行业进展,这里汇集了各大高校硕博生、一线科研人员以及行业从业者,如果您对于跟踪材料领域HTH官网地址 进展,解读高水平文章或是评述行业有兴趣,点我加入编辑部大家庭。
欢迎大家到材料人宣传HTH官网地址 成果并对文献进行深入解读,投稿邮箱tougao@cailiaoren.com。
投稿以及内容合作可加编辑微信:RDD-2011-CHERISH,任丹丹,我们会邀请各位老师加入专家群。
材料测试、数据分析,上测试谷!





