当前位置: 材料牛 » HTH官网地址 » 太阳能电池前沿研究成果精选【第1期】

太阳能电池前沿研究成果精选【第1期】

1、ACS Nano:光诱导极化及其对钙钛矿太阳电池光伏行为的影响

近日,田纳西大学胡斌教授(通讯作者)团队报道了在无滞后甲基铵(MA)卤化铅钙钛矿太阳能电池中光诱导极化的实验证明。基于CV测量,在光激发下在-0.5V至+0.5V的区间中观察到具有宽的“肩带”的异常电容-电压(CV)信号,逐渐扫描DC偏压以便在低交变偏压(50mV,5KHz)下检测局部极化。实质上,逐渐扫描DC偏压和施加低交变偏压可以在光激发下从局部极化分别产生连续的游离离子和CV信号。特别是当氯掺入时器件效率从12.41%提高到18.19%,这个异常的CV信号可以提高3倍。通过区分与界面电荷累积相关的表面极化,可以将该异常CV信号作为光致极化的标记。

文献链接:Photoinduced Bulk Polarization and Its Effects on Photovoltaic Actions in Perovskite Solar Cells(ACS Nano,2017,DOI:10.1021/acsnano.7b06413)

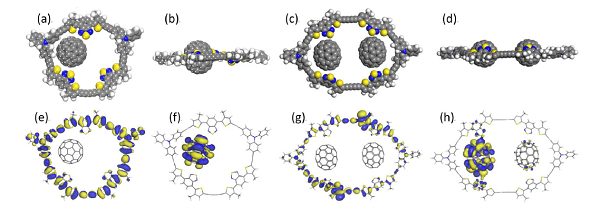
2、ACS Nano:供体-受体共轭大环化合物的合成及具有富勒烯的主-客体自组装

近日,国家纳米科学中心曾庆祷研究员、邓珂研究员、杭州师范大学舒立金教授、万俊华研究员(共同通讯作者)等人研究了构建供体-受体(D-A)共轭大环的富电子(供体)和贫电子(受体)单元,以阐明它们与贫电子富勒烯的相互作用。三苯胺(TPA)和4,7-二噻吩基-2,1,3-苯并噻二唑(BTTh2)通过乙炔分别作为供体和受体单元交替连接,用于五边形3B2A和六边形4B2A大环。通过扫描隧道显微镜(STM)检测,发现两种D-A大环在HOPG上形成可控浓度的纳米多孔单层,其可以有效地捕获富勒烯。

文献链接:Donor-Acceptor Conjugated Macrocycles: Synthesis and Host-Guest Co-Assembly with Fullerene toward Photovoltaic Application(ACS Nano,2017,DOI:10.1021/acsnano.7b06961)

3、Advanced Functional Materials:使用微波剥离多层黑磷的单壁碳纳米管-硅异质结太阳能电池效率明显增强

碳纳米管-硅(CNT-Si)基异质结太阳能电池(HJSCs)是一种有前景的光伏(PV)系统。近日,弗林德斯大学Joseph G. Shapter(通讯作者)团队利用微波辅助液相剥离法在N-甲基-2-吡咯烷酮(NMP)中生成了少量的黑磷(FL-BP)片材,并首次引入到CNTs-Si基HJSCs中。NMP基FL-BP片材与用于器件制造的CNT水分散体混合后保持稳定。由于其独特的二维结构和p型占主导地位,掺入FL-BP/NMP的CNT-Si器件的功率转换效率从7.52%(对照CNT-Si电池)显著提高至9.37%。

文献链接:Efficiency Enhancement of Single-Walled Carbon Nanotube-Silicon Heterojunction Solar Cells Using Microwave-Exfoliated Few-Layer Black Phosphoru(Adv.Funct.Mater,2017,DOI: 10.1002/adfm.201704488)

4、Advanced Functional Materials:原位低频噪声和阻抗谱揭示使用富勒烯和非富勒烯受体在有机太阳能电池中的重组动力学

苝二酰亚胺(PDIs)基的非富勒烯受体作为有机光伏(OPVs)受体的替代物已经引起人们的兴趣,但是它们的电荷转移现象并不清楚,特别是在体异质结(BHJs)中。近日,美国西北大学Mark C. Hersam(通讯作者)团队通过在两个BHJ OPV系统上执行相关的低频噪声和阻抗谱检测来研究电荷传输和电流波动,一个使用富勒烯受体而另一个使用二聚PDI受体。在黑暗中,结果显示与富勒烯基OPV相比,PDI基OPV具有更大程度的重组可能。此外,该研究是首次在有机太阳能电池中将1/f噪声数据拟合到Kleinpenning模型,以揭示不同输运状态下潜在的电流波动。

文献链接:Correlated In Situ Low-Frequency Noise and Impedance Spectroscopy Reveal Recombination Dynamics in Organic Solar Cells Using Fullerene and Non-Fullerene Acceptors(Adv.Funct.Mater,2017,DOI:10.1002/adfm.201703805

5、Advanced Materials:通过非富勒烯受体和具有宽组成容差的两种聚合物供体实现高效三元共混聚合物太阳能电池

近日,西安交通大学马伟教授、四川大学彭强教授、香港大学Wallace C. H. Choy(共同通讯作者)等人报道了高效三元共混有机太阳能电池(TB-OSCs)。三元混合层在300-800nm范围内具有良好的互补吸收,其中PTB7-Th和PBDB-T具有优良的相互混溶性以及与SFBRCN具有理想的相分离。在这样的装置中,存在从PBDB-T到PTB7-Th以及从SFBRCN到上述两种聚合物供体的多种能量转移途径。同时也观察到从PTB7-Th到PBDB-T的空穴转移以及受体和供体材料之间的多电子转移,以提高整个器件的性能。

文献链接:Highly Efficient Ternary-Blend Polymer Solar Cells Enabled by a Nonfullerene Acceptor and Two Polymer Donors with a Broad Composition Tolerance(Adv.Mater,2017,DOI:10.1002/adma.201704271

6、Advanced Materials:平面结构钙钛矿太阳能电池效率超过21%

低温溶液加工的平面结构钙钛矿太阳能电池最近受到了广泛的关注,但其功率转换仍然低于高温介孔材料。近日,中国科学院半导体研究所游经碧研究员、张兴旺研究员(共同通讯作者)团队系统地研究了精确化学计量比,特别是PbI2含量对器件性能的影响,包括效率,滞后性和稳定性。发现PbI2的适当残留可以提高稳定性,太阳能电池效率高,无滞后现象,而过多的残留PbI2会导致严重的滞后现象和较差的输送稳定性。

文献链接:Planar-Structure Perovskite Solar Cells with Efficiency beyond 21%(Adv.Mater,2017,DOI:10.1002/adma.201703852

7、Energy & Environmental Science:钙钛矿/硅同质串联太阳能电池效率超过22%

具有高温处理的同质结晶体硅(c-Si)太阳能电池已经在光伏行业中占据主导地位数十年,其全球市场份额约为93%。将晶体硅太阳能电池与高效率钙钛矿太阳能电池结合是提高功率转换效率的可行途径,并因此可以降低光伏系统的电力成本。近日,澳大利亚国立大学Wu YiLiang、Klaus J. Weber(共同通讯作者)等人为钙钛矿/硅串联太阳能电池提供了一个创新设计,顶部是一个介观钙钛矿子电池,底部是一个耐高温同质结c-Si子电池。c-Si底电池的温度容限显著提高了钙钛矿电池设计和制造的灵活性。在1 cm2电池上显示出22.5%(稳态)的效率和1.75V的Voc

文献链接:Monolithic perovskite/silicon-homojunction tandem solar cell with over 22% efficiency(Energ. Environ.Sci.,2017,DOI:10.1039/C7EE02288C)

8、Energy & Environmental Science:具有微米级晶粒和微秒级载流子寿命的高性能可室温加工钙钛矿

由于钙钛矿太阳能电池卓越的功率转换效率(PCE),近来引起了人们的极大关注。近日,美国杜克大学Liu Jie、David B. Mitzi(共同通讯作者)等人报道了一种基于添加剂的室温工艺,实现了高质量的具有微米级晶粒(>2μm)和微秒级载流子寿命的碘化甲基碘化铅薄膜。使用这种薄膜的太阳能电池表现出18.22%的PCE,其具有改进的电流-电压滞后性和稳定性。此外,还揭示了室温加工的钙钛矿膜的粒径强烈依赖于成膜液中的前体聚集粒径,并且能够将晶粒扩大到微米尺度。

文献链接:Additive engineering for high-performance room-temperature-processed perovskite absorbers with micron-size grains and microsecond-range carrier lifetimes(Energ. Environ.Sci.,2017,DOI:10.1039/C7EE02288C)

9、Energy & Environmental Science:钙钛矿太阳能电池封装的设计和见解

随着研究的深入,钙钛矿太阳能电池的性能已经提高到了22%以上,环境稳定性也在不断提高。近日,斯坦福大学Michael D. McGehee(通讯作者)团队为了观察从薄膜堆叠到器件性能和可靠性如何影响机械稳定性,对玻璃和两种不同弹性模量的常用封装材料的钙钛矿太阳能电池进行了对比研究。结果表明用更硬的离聚物Surlyn封装的太阳能电池温度循环和分层性能严重下降。相反地,太阳能电池封装在较软的乙烯醋酸乙烯酯中,经受了温度循环,并在200次温度循环后保持其初始性能的90%以上。

文献链接:Design and understanding of encapsulated perovskite solar cells to withstand temperature cycling(Energ. Environ.Sci.,2017,DOI:10.1039/C7EE02564E

10、Nano Energy:己内酰胺作为路易斯碱的协同效应和界面工程用于高效和稳定的平面钙钛矿太阳能电池

近日,中国科学院物理所孟庆波研究员(通讯作者)团队将低成本己内酰胺(CPL)引入一步反溶剂工艺,首次制造出了高效稳定的平面钙钛矿太阳能电池(PSCs)。发现CPL作为路易斯碱对Pb(II)具有较弱的配位能力,由于空间位阻作用,这种弱相互作用很容易被反溶剂滴落或退火破坏,从而形成一个整体式的致密膜。该方法的功率转换效率(PCE)达到了19.2%。特别是,在室温条件下,PSC表现出优异的稳定性,1200小时后,可保留其初始PCE的95%。

文献链接:Synergistic Effect of Caprolactam as Lewis Base and Interface Engineering for Efficient and Stable Planar Perovskite Solar Cells(Nano Energy,2017,DOI:10.1016/j.nanoen.2017.10.048)

11、Nano Energy:柔性太阳能电池/超级电容器集成能源器件为了满足包括可穿戴电子产品在内的新兴领域和屋顶太阳能集热器等低密度应用的需求,柔性能量收集和存储装置已被广泛报道。近日,莱斯大学Jun Lou(通讯作者)团队设计,制造和表征了柔性可印刷染料敏化太阳能电池/超级电容器集成能量器件。这种新型器件具有以下几个优点:柔性好,便携,高电压容量(高达1.8V),轻便,环保,增强了室内使用能力。该设备在室外测试的各种极端机械负载条件下表现出非常稳定的性能。

文献链接:A Flexible Solar Cell/Supercapacitor Integrated Energy Device(Nano Energy,2017,DOI:10.1016/j.nanoen.2017.10.035)

本文由材料人新能源组Allen供稿,材料牛整理编辑。

材料牛网专注于跟踪材料领域HTH官网地址 及行业进展,这里汇集了各大高校硕博生、一线科研人员以及行业从业者,如果您对于跟踪材料领域HTH官网地址 进展,解读高水平文章或是评述行业有兴趣,点我加入编辑部大家庭

欢迎大家到材料人宣传HTH官网地址 成果并对文献进行深入解读,投稿邮箱tougao@cailiaoren.com。

投稿以及内容合作可加编辑微信:RDD-2011-CHERISH,任丹丹,我们会邀请各位老师加入专家群。

材料测试、数据分析,测试谷

未经允许不得转载:材料牛 » 太阳能电池前沿研究成果精选【第1期】

相关文章

Baidu
map