【引言】
纤维增强陶瓷基复合材料(CMCs)广泛应用于航空燃气涡轮发动机的高温部件,其中SiC纤维增强体受到了科学家们的高度关注。与传统材料所用的高温合金相比,碳化硅复合材料的质量密度只有其三分之一左右,但却能够承受高达100-200℃的高温持续载荷。近日,有学者通过原位X射线计算机断层扫描(XCT),以三维方式揭示SiC基陶瓷先驱体聚合物在1200℃下热解过程中基体结构的演变,为基于物理模型来指导复合材料制造工艺的发展奠定了基础。
【成果简介】
近日,加州大学Natalie M. Larson (通讯作者)团队在Acta Mater.上发布了一篇关于陶瓷基复合材料的文章,题为“In-situ 3D visualization of composite microstructure during polymer-to-ceramic conversion”。作者通过原位X射线计算机断层扫描(XCT),以三维方式揭示SiC基陶瓷先驱体聚合物在1200℃热解过程中基体结构的演变,并观察裂纹几何形状和结构,确定其形成的时间顺序。此外,作者还介绍了温度和局部几何形状对各种裂纹形成的影响。
【图片导读】
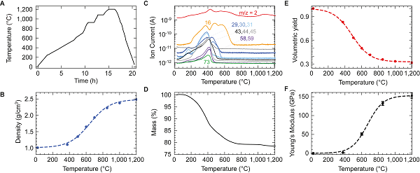
图1 聚合物向陶瓷转化的特点

(A) 热解实验的温度分布;
(B) 陶瓷先驱体聚合物质量密度的变化;
(C) 用m / zm / z值标记后的质谱分析结果;
(D) 质量的变化;
(E) 体积屈服的变化;
(F) 杨氏模量的变化。
图2 样品选择区域的三维体积渲染图

(A) 332℃热解; (B) 519℃热解; (C) 热解完成。
图3 波浪式裂纹的结构演变示意图

(A–B) 三维XCT渲染与原始XCT图像的纵向互补部分。
图4 围绕式裂纹的结构演变示意图

(A–D) 裂纹结构的三维效果图;
(E) 原始XCT图像横截面的2D效果图;
(F–I) (A)至(D)中图像对应温度下裂纹的纵向截面。
图5 热解裂纹结构的时间演化图

(A) 交替/波浪式裂纹结构的演变;
(B) 围绕式裂纹结构的演变;
(C) 裂缝演化树说明潜在的时间序列。
图6 裂缝识别和测量的工艺流程图

(A) 确定初始裂纹及裂纹类型;
(B) 确定裂纹形成温度;
(C) 通过在完全热解之后检查图像堆叠中的相同区域来确定FHO。
图7 裂纹形成温度与裂纹面积的关系

(A) 交替/波浪式裂缝(紫色开放的圆圈,紫色的线条)和模拟的裂缝(橙色的三角形,橙色的线条)的数据;
(B–C) (A)中的主要裂纹类型和FHO(紫色圆圈代表FHO = 1,绿色三角形代表FHO = 2,蓝色方块代表FHO = 3,橙色菱形代表FHO = 4)中的数据。
图8 热解裂纹的特征长度尺度

(A) 交替/波浪式裂缝的半波长;
(B) 初始裂纹的纵向间距。
【小结】
这篇文章介绍了使用原位X射线计算机断层扫描(XCT)来确定裂纹结构的性质及SiC基陶瓷先驱体聚合物在热解过程中的演变。三维成像可以更好的确定裂纹的真实性质,而2D图像则容易导致裂纹成核位置以及裂缝几何形状和拓扑结构的错误。
研究结果表明,初始裂纹形成温度会逐渐降低,最终的等级次序随着局部基质区域尺寸的增大而增加。对于低于350℃的初始裂纹,在较小的通道内形成交替式裂缝,而不是较小的裂缝。确定裂纹几何形状的简单吸液模型可以简化随后浸渍过程的优化或者用于确定最佳的收缩裂缝几何形状。此外,研究结果为描述纤维床内热解裂解的力学框架提供了基础。
文献链接:http://www.sciencedirect.com/science/article/pii/S1359645417309138 (Acta Mater., 31 October, 2017 , DOI: 10.1016/j.actamat.2017.10.054)
本文由材料人编辑部金属学术组jcfxs01供稿,材料牛编辑整理。
材料牛网专注于跟踪材料领域HTH官网地址 及行业进展,这里汇集了各大高校硕博生、一线科研人员以及行业从业者,如果您对于跟踪材料领域HTH官网地址 进展,解读高水平文章或是评述行业有兴趣,点我加入编辑部大家庭。
欢迎大家到材料人宣传HTH官网地址 成果并对文献进行深入解读,投稿邮箱mailto:投稿邮箱tougao@cailiaoren.com。
投稿以及内容合作可加编辑微信:RDD-2011-CHERISH,任丹丹,我们会邀请各位老师加入专家群。
材料测试、数据分析,上测试谷!





