【引言】
水,作为自然界中廉价易得的资源,在化学反应中一般作为副产物而被人所知。而水参与的有机和聚合反应报道较少。鉴于催化体系的脆弱性和聚合物的溶解性,目前将水作为一种单体用来合成高分子依然面临着巨大的挑战。本文中,研究人员面对这一挑战,开发了一条利用水和异腈及溴代炔的聚合反应路线。在温和的反应条件下,获得了具有高分子量(高达41 700)和高立构规整性(Z-异构体比例高于80%)的产物,产率高达98.1%。所得聚合物具有良好的溶解性、热稳定性和较高的折射率。通过设计单体向聚合物中引入四苯基乙烯后,聚合物显示出独特的聚集增强荧光(AEE)现象。此项工作不仅首次实现了水作为单体之一的聚合,同时为聚酰胺类化合物的合成开辟了一条新的道路。另外,所得聚合物可以通过多条简单的路径进一步后修饰,为其功能化提供了一个广阔的平台。
【成果简介】
水是一种非常丰富、便宜、可持续的资源,但是由于种种限制,很难作为共聚单体参与聚合反应。例如,在很多缩聚反应中,水是副产物反应体系中水的积累不利于反应平衡的正向移动,因此需要尽快把水从反应体系中除去。水有时也是终止反应的猝灭剂,很多聚合反应需要在严格的无水条件下进行。因此,使用水作为共聚单体制备聚合物是一个非常巨大的挑战。
近期,秦安军教授和唐本忠院士(共同通讯作者)等人在Macromolecules上发表了一篇利用水作为共聚单体,构建聚合物的文章,题为“Facile Polymerization of Water and Triple-Bond Based Monomers toward Functional Polyamides”。文中介绍的以水为共聚单体进行聚合,不仅突破传统限制,而且提供了一条直接、新颖的新反应路线来制备聚酰胺。此外,所得聚酰胺可以容易地后官能化。聚合后修饰(PPM)可以有效地消耗预聚物上的反应性基团,以富集具有相同骨架的聚合物的功能。通过简单的Sonogashira反应和取代反应,可以方便地对聚酰胺进行后修饰。值得一提的是,通过取代反应进行的聚合后修饰甚至不需要纯化聚合物,可以采用“一锅法”进行。因此,该法提供了聚合物后功能化的便利平台,为其应用提供了广阔的前景。浙江大学张洁为第一作者。
【图文导读】
图1 水、异腈和溴代炔类单体的聚合方案

图2 PI(聚酰胺)的NMR图谱

A 空气下制备。 B 氮气下制备。
图3 PI的红外光谱

A 双异腈单体(1a)。 B 双溴代炔类单体(2a)。 C PI。
图4模型化合物5的合成路线

图5 PI的红外光谱

图6 13C NMR谱

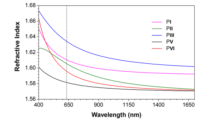
图7 聚合物固体薄膜的光折射光谱

图8 光致发光光谱(PL谱)

A PI在THF和THF /水混合物中的PL谱。
B 在THF /水混合物中相对PL强度与水含量的关系图。
图9 通过不同反应进行PI后修饰路线

【小结】
本项工作,在温和条件下首次实现了将水作为单体之一的聚合反应,同时,此类新型聚合反应提供了一条合成聚酰胺的新方法。此外,所得的聚酰胺可通过多种简单的方法进行后修饰,为其功能化提供了广阔的平台。
文献链接:Facile Polymerization of Water and Triple-Bond Based Monomers toward Functional Polyamides
(Macromolecules ,2017, DOI:10.1021/acs.macromol.7b01592)
本文由材料人编辑部高分子学术组水手供稿,材料牛编辑整理。
材料牛网专注于跟踪材料领域HTH官网地址 及行业进展,这里汇集了各大高校硕博生、一线科研人员以及行业从业者,如果您对于跟踪材料领域HTH官网地址 进展,解读高水平文章或是评述行业有兴趣,点我加入材料人编辑部。参与高分子话题讨论或了解高分子组招募详情,请加高分子交流群(298064863)。
材料测试、数据分析,上测试谷!





