当前位置: 材料牛 » HTH官网地址 » 导读 » 包信和&姜鹏Angew. Chem. Int. Ed.: GeSe和AgSbSe2合金的高热电性能

包信和&姜鹏Angew. Chem. Int. Ed.: GeSe和AgSbSe2合金的高热电性能

【引言】

近年来,随着社会的发展,能源和环境问题已成为新世纪人类面临的严峻挑战。热电材料由于可以直接将热能转换为电能,因此,作为清洁和可持续能源材料被广泛研究。材料的热电性能取决于优值ZT=S2σT/κ,其中S是Seebeck系数,σ是电导率,T是绝对温度,κ是热导率。通过调节功率因数(PF = S2σ),减小热导率可以增大材料的热电优值ZT。而优化载流子浓度、增加带简并度(调谐晶体结构对称性或带收敛)和共振掺杂能级,可以提高功率因数。引入原子尺度的缺陷、纳米结构和多级结构可以降低热导率。虽然Bi2Te3和PbTe基热电材料具有较高的ZT,但是开发地球含量丰富,元素毒性较低的新型热电材料是产业化发展的新趋势。

SnSe由于低的热导率,较高的热电优值ZT,使其作为一种前景广阔的热电薄膜材料受到广泛关注。GeSe室温下有类似的层状斜方晶体结构(Pnma),在920-930 K时会转变为立方结构(Fm3(—)m)。像SnSe、GeSe、GeTe基化合物及TAGS是另一类IV-VI化合物高温相变的例子(从斜方六面体到立方体),已被实验证明具有高于1.5的ZT值。通过密度泛函理论(DFT)计算得出,GeSe掺杂的最佳空穴载流子浓度为5×1019 cm-3,在800 K值ZT值可以达到2.5,优于SnSe。然而,对于多晶GeSe进行实验,由于其较低的载流子浓度,在700 K时其ZT值只有0.2。原则上,载流子浓度应该通过元素掺杂来调节,但实际实施困难重重。包括Cu、Ag、Na以及Bi、Sb、La、As等的P型掺杂以及I的 n型掺杂,已掺入GeSe,但Ag掺杂的最大载流子浓度为1018 cm-3,仍然与理想的理论计算值相差甚远。

【成果简介】

GeSe属于IV-VI族半导体材料,具有像PbTe和SnSe一样优良的热电性能。正交的GeSe已经从理论上证明具有良好的热电性能,但很难进行掺杂实验。像PbTe、斜六方的GeTe都是理想的热电材料,具有多谷带结构,Ge位存在大量空穴,能够提供足够的载流子。最近,中科院大连化学物理研究所包信和院士和姜鹏研究员(共同通讯作者)研究了GeSe与AgSbSe2合金化的热电性能,该材料不仅具有较高对称性的新菱形结构,同时产生了一个多谷带费米面且载流子浓度急剧增加。在710K时,GeAg0.2Sb0.2Se1.4的优值(ZT)达到0.86,是原GeSe的18倍多,掺杂斜方GeSe的4倍多。该研究利用高对称合金的熵稳定特性提高材料的热电性能,为以后通过晶体相工程开发新型热电材料开辟了新的途径。

【图文导读】

1 GeAgxSbxSe1+2x (x = 0, 0.05, 0.1, 0.15, 0.2, 0.3)样品的XRD图谱

 

a) 30°到35°               

b) 43°到48°

 2 GeSe结构及GeAg0.2Sb0.2Se1.4结构表征

a) GeSe的正交,斜六方和立方晶体结构

b) 原位GeSe的HAADF图

c) GeAg2Sb0.2Se1.4 [001]方向的HAADF图

d) GeSe的SAED图

e) GeAg2Sb0.2Se1.4的SAED图

 3 GeSeAgSbSe2合金可能的相图示意图

4 GeSe能带结构

a)计算的电子能带结构和态密度

b) 高对称点布里渊区

c) 斜六方的GeSe的2×1020 cm−3费米面

5 样品热电性能表征

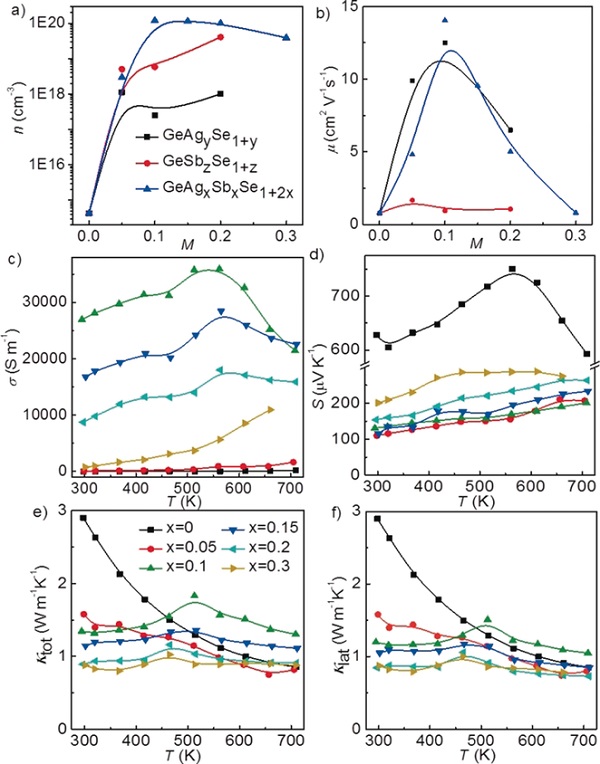
GeAgxSbxSe1+2x, GeAgySe1+y和GeSbzSe1+z样品的a)霍尔载流子浓度和b)迁移率与MM=x,y,z的关系图

GeAgxSbxSe1+2x (x=0, 0.05, 0.1, 0.15, 0.2, 0.3)合金的 c) 电导率,d) Seebeck系数,e) 总热导率和f) 晶格热导率随T的变化关系图

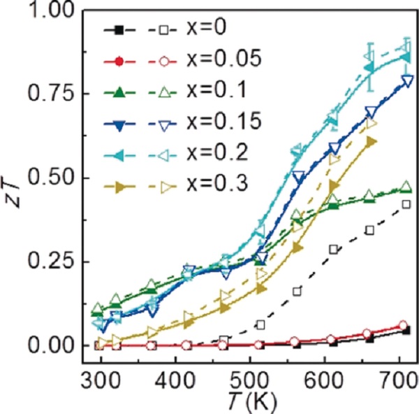
6 GeAgxSbxSe1+2x (x=0, 0.05, 0.1, 0.15, 0.2, 0.3) 样品ZT值与温度的变化曲线

GeAgxSbxSe1+2x (x=0, 0.05, 0.1, 0.15, 0.2, 0.3) 样品ZT值与温度的变化曲线(填充符号和实线)和最大可能的ZT加权移动模型(空心符号和虚线)

小结

通过DFT计算虽然已经预测到正交GeSe有一个高的ZT值,但由于调整载流子浓度难度很大,实验上尚未实现。通过GeSe与AgSbSe2合金,在室温下形成稳定的新菱方相,是高对称合金熵稳定的一个例子。由于Ge空位,菱形相的GeSe像菱形的GeTe一样具有高的载流子浓度。一个有效的质量模型表明菱面体样品的载流子浓度非常接近最佳值。结合高载流子浓度,与正交晶系相比,菱面体相由于较高的对称性,具有费米面,有利于热电性能的提高。由于高的载流子浓度和低的晶格热导率,在710 K时GeAg0.2Sb0.2Se1.4合金的ZT值达到了0.86。

文献链接:High Thermoelectric Performance of New Rhombohedral Phase of GeSe stabilized through Alloying with AgSbSe2 (Angew. Chem. Int. Ed.2017, DOI: 10.1002/anie.201708134)

本文由材料人编辑部王飞编译,丁菲菲审核,点我加入材料人编辑部

材料测试,数据分析,上测试谷

未经允许不得转载:材料牛 » 包信和&姜鹏Angew. Chem. Int. Ed.: GeSe和AgSbSe2合金的高热电性能

相关文章

Baidu
map