流变性能测试在高分子加工成型中有何作用呢?
基本过程:树脂首先在热的作用下逐渐熔融,并在外力的作用下发生混合、变形与流动,然后再经过口模或在成型模具中形成具有一定形状的制品。即:熔融-混合-变形-流动-定型
影响因素:温度、压力、黏性、弹性、分子量及其分布、内部形态结构等。
因此,必须通过大量的流变实验来获取流变数据,经过分析规律,掌握变化规律,建立相应关系,才能更好地指导实践。
按照流动和变形对时间的依赖性分类,可分为: (1)稳态流变实验 ——实验中材料内部的剪切速率场、压力场和温度场恒为常数,不随时间变化。 (2)动态流变实验 ——实验中材料内部的应力和应变场均发生交替变化,一般以正弦规律进行,振幅较小。 (3)瞬态流变实验 ——实验时材料内部的应力或应变发生阶跃变化 。
高分子流变学测量的三个基本任务:
一、物料流变学表征
这是最基本的任务。了解体系组分、结构等对加工流变性能的贡献,优化材料物理和力学性能设计、配方设计、工艺设计等。
二、工程流变学设计
研究加工成型设备中的温度、压力、速度分布,确定工艺参数,考察极限条件与工艺,为设备和模具的CAD和CAE提供依据。
三、发展流变本构方程理论
最高级的任务。获得材料黏弹性变化与材料结构参数之间的内在联系,比较本构方程优劣,推动本构方程理论的发展。 ——需要精密方便的测量方法和测试仪器; ——多功能、多模块的流变计算软件相配套。
流变仪是化工原料供应商、科研院所、高校以及塑料改性研究和生产企业测定聚合物熔体粘弹性的仪器,根据其输出的各种数据、曲线和图表等科学信息来估测树脂的加工性能,为新型材料的开发应用、质量监控、科研及教学提供科学的研究手段。
大型塑料制品企业也利用流变仪对在线混配实验进行配方设计,确定哪一种原料适合加工或应用到什么领域、如何优化及改进其综合性能,并可以提供按比例放大的过程模拟。
常用的流变测量仪器的分类:


恒压力毛细管流变仪

恒速率毛细管流变仪

落球黏度计

门尼黏度计
常见流变仪的测试范围:

1 毛细管流变仪
毛细管流变仪是目前发展最成熟、应用最广的流变测量仪 。
优点:操作简单、测量范围宽(10-2~105剪切速率)
具体应用: (1)测定高分子熔体在毛细管中的剪切应力和剪切速率的关系; (2)根据挤出物的直径和外观,在恒定应力下通过改变毛细管的长径比来研究熔体的弹性和熔体破裂等不稳定流动现象; (3)预测聚合物的加工行为,优化复合体系配方、最佳成型工艺条件和控制产品质量; (4)为高分子加工机械和成型模具的辅助设计提供基本数据; (5)作为聚合物大分子结构表征和研究的辅助手段。
分类:恒压型和恒速型两类
区别:恒压型的柱塞前进压力恒定,待测量为物料的挤出速度; 恒速型的柱塞前进速率恒定,待测量为毛细管两端的压力差。
核心部位:毛细管
长径比(L/D)=10/1、20/1、30/1、40/1等;
过程:物料加热、柱塞施压、物料挤出、测量流变参数

基本应用: 1、研究聚合物的剪切黏度 2、对流动曲线进行时温叠加处理 3、研究聚合物熔体的弹性
1.1 恒压型毛细管流变仪
熔体流动速率: 测量高分子材料在一定的温度和压力下,熔体每分钟通过规定的标准口模的质量,单位为g/10min;
具体过程: (1)选定测定温度,使料筒预热,待温度稳定后,往料筒内装入称好的(约3-4g)试样,压实,待预热6-8min后,加选定负荷砝(2160g,3.04 g等),切去料头,在规定的时间间隔内连续切5~10个切段。
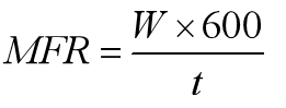
(2)将各切段用电子分析天平称重,并按下式计算熔体流动速率值:

其中,MFR:熔体流动速率,g/10min,W:5 个切段样质量的算术平均值,g,t:每个切段所需时间,s。 对于一定结构的聚合物,MFR 值降低,其分子量较大,则其断裂强度、硬度等都较大,而MFR值增大,则聚合物的分子量降低,加工时的流动性较好。
1.2 恒速型毛细管流变仪
工作原理:物料在电加热的料桶里被加热熔融,料桶的下部安装有一定规格的毛细管口模(有不同直径0.25~2mm和不同长度的0.25~40mm),温度稳定后,料桶上部的料杆在驱动马达的带动下以一定的速度或以一定规律变化的速度把物料从毛细管口模中挤出来。在挤出的过程中,可以测量出毛细管口模入口出的压力,在结合已知的速度参数、口模和料桶参数、以及流变学模型,从而计算出在不同剪切速率下熔体的剪切粘度。
物料从直径直大的料筒经挤压通过有一定入口角的人口区进入毛细管,然后从出口挤出,其流动状况发生巨大变化。人口区附近物料有明显的流线收敛现象。 物料在进入毛细管一段距 离之后才能得到充分发展, 成为稳定的直动。而在出 口区附近。由于约束消失, 熔体出现挤出胀大现象, 流线也发生变化。因此, 物料在毛细管中的流动 动可分为三个区域:入口区、 完全发展的流动区和出口区。
2 旋转流变仪
依靠旋转运动来产生简单剪切,快速确定材料的黏性、弹性等各方面的流变性能。
两种类型: (1)应变控制型 1888年Couette提出的,驱动 一个夹具,测量产生的力矩; (2)应力控制型 1912年Searle提出的,施加一定的力矩,测量产生的旋 转速度。
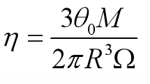
基本结构: 一、锥板

多应用于测量黏弹性流体; 其顶角θ0一般很小,<3° 在锥板上施加一定的旋转角速度Ω时,其剪切速率为:

黏度的测量 表达式:

其中,M是扭矩,可以用实验获得。
优点: (1)剪切速率恒定,无需对流动动力学作任何假设; (2)测试仅需要少量样品,尤其适用于精细化学合成实验或生物流体; (3)体系有极好的传热和温度控制; (4)可以忽略末端效应
缺点: (1)剪切速率不能过大,可变化范围很小; (2)含挥发性溶剂的溶液中,溶剂挥发和自由边界会给测量结果带来不利影响;有时需要进行一定的涂覆惰性物质处理; (3)多相体系中,分散相粒子的尺寸若和两板间距相近,则误差很大; (4)一般不用于温度扫描实验。
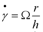
二、平行板

由两个半径为R、可旋转的同心圆盘组成,间距为h,施加一定的角速度Ω时,其剪切速率为:

r:流体在圆盘上铺展的半径,0<r≤R
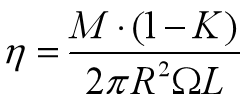
黏度的测量

式中: M—转矩,可由实验获得;
—流体铺展半径为R时的剪切速率; n —非牛顿指数
优点: (1)平行板间的距离可调到很小,减少惯性校正和热效应,可以在更高的剪切速率下使用; (2)可以测量流体的第二法向应力差; (3)可以通过安装光学设备和施加电磁学,进行光流变、电流变和磁流变等功能测试;(4)剪切速率随熔体的铺展半径变化,方便研究剪切速率的独立变化;(5)可以通过调节板间距离,使其适用于共混、填充等聚合物复合体系; (6)可以系统研究聚合物熔体的表面和末端效应。 (7)比锥板结构的更易进行精度检查且易清洗。
三、同轴圆筒

是最早用于测量黏度的旋转流变仪; 由两个半径分别为R和KR的内、外筒组成,K<1; 内筒静止,外筒以角速度Ω旋转; 适用于中、低黏度均匀流体测量,不适用于高黏度、糊剂和含有大颗粒的悬浮液
黏度测量 当内外筒间距很小时(K>0.97),筒间的流场可以近似为简单剪切运动,其剪切速率可以看出常数,则:

若筒间距不是很小时,则:

测量系统的选择
三种不同结构的旋转流变仪,其剪切速率和应力分别如下:

测试时: (1)要明确流变仪的转速和扭矩范围,确定是否符合实际的测量要求; (2)如果存在多种测量系统都使用的情况,则需要按照精度、测量误差等需求,选择最合适的,这对于获得理想的结果非常重要。
测量模式的选择
根据施加应变或应力的方式,分为: (1)稳态测试 用连续的旋转来施加应变或应力,得到恒定的剪切速率,测试剪切流动达到稳态时流体形变产生的扭矩。 (2)瞬态测试 通过施加瞬时改变的应变(速率)或应力,来测量流体的响应随时间的变化。 (3)动态测试 对流体施加周期振荡的应变或应力,侧脸个流体响应的应力或应变。
一、稳态模式 (1)稳态速率扫描 通常在应变控制型流变仪上完成; 可以得到黏度和法向应力差与剪切速率的关系; 若灵敏度足够高,可得到零剪切黏度。 (2)触变循环 ——对材料施加线性增大再减小的 稳态剪切速率;反映材料在不断 变化的剪切速率下的黏度变化, 也可反映材料结构随剪切速率变 化的规律。
二、瞬态模式 (1)阶跃应变速率扫描 施加阶跃变化,但在每个 区间都恒定的剪切速率; 确定恒定温度下的应力增长和松弛过程,以及稳态剪切后的松弛过程 (2)应力松弛 施加并维持一个瞬态应变, 测量维持这个应变所需的 应力随时间的变化。 确定应力松弛模量:应力/常数应变(3)蠕变 与应力松弛相反,给样品施加恒定的应力,测量样品的应变随时间的变化。 蠕变柔量=测量的应变/施加的应力;J(t) 恢复柔量=可恢复的应变/施加的应力;Je 可以用来预测材料在负载下 的长期行为。
三、动态模式 (1)动态应变(应力)扫描 以恒定频率施加正弦应变或应力,测量材料的贮能模量、损耗模量和复数黏度与应变或应力的关系。当应变(应力)小于临界值:线性黏弹性行为;当应变(应力)大于临界值:非线性行为,模量开始下降。(2)动态时间扫描 在恒定温度下,给样品施加恒定频率的正弦形变,并在预设的时间范围内进行连续测量。 检测材料的化学、热以及力学稳定性。 (3)动态频率扫描 以一定的应变幅度和温度,施加不同频率的正弦形变,在每个频率下进行一 次测试。研究很宽频率范围内 的贮能模量和损耗模量的频率 依赖性。 (4)其他扫描模式 等变率温度扫描、动态单点、瞬态单点、复合波单点、任意波形扫描…… 可以反映出聚合物内部分子量及分布、界面松弛行为、介观结构及形态、宏观流变性为的影响因素等多个方面的信息,建立更 加全面地建立内部结构-流动-成型 加工的关联。
3 转矩流变仪
多功能、积木式
记录混合过程中物料对转子或螺杆产生的反扭矩随温度和时间的变化; 研究分散性能、流动行为和结构变化(交联、热稳定,等)
优势之处:与实际的设备,如单、双螺杆挤出机、密炼机,的结构相似,模拟混炼、挤出的加工过程,优化配方和工艺。

本文转载自网络,链接:https://wenku.baidu.com/view/0cb9dd95cc7931b764ce1541.html
材料牛石小梅编辑整理。
材料人重磅推出材料测试解决方案,如您有测试需求,欢迎填写表单提交






