【成果简介】
最近,激光等离子体实验室的翁苏明特别研究员和盛政明教授等人发现了法拉第效应的一种极端表现形式:线偏振超短激光脉冲在强磁化等离子体中沿磁场方向传播时可逐渐分裂成两个圆偏振激光脉冲,其中左旋圆偏振脉冲在前,右旋圆偏振脉冲紧随其后。研究表明在强磁化等离子体中,左旋与右旋圆偏振光不仅具有不同的相速度,同时还具有不同的群速度。前者可导致线偏光的偏振方向发生旋转;而后者则直接导致构成线偏光的左旋光脉冲与右旋光脉冲在时空中的分离。
【图文导读】
图1 磁分裂

由于其不同的速度,入射LP脉冲将分为RCP和LCP子脉冲。
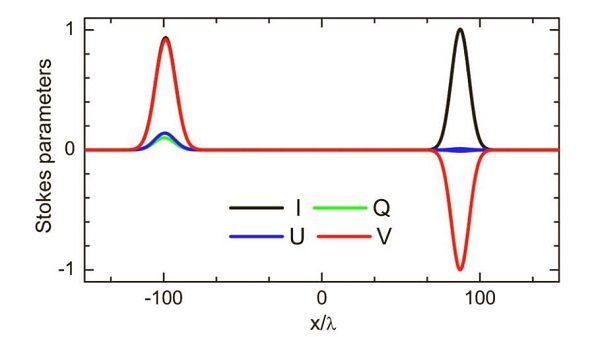
图2 参数

在t = 333 fs时的斯托克斯参数具有非常强的磁场B = 6000 T(ωc/ω0≃0.6)。
【研究内容】
1846年发现的法拉第效应首次在实验上证明了光具有电磁波属性。法拉第效应也称为法拉第旋转:当线偏振光在物质中沿磁场方向传播时,其偏振方向将发生旋转;旋转角度正比于传播方向的磁场强度及传播距离。从单原子层的石墨烯到宇宙中的巨大星系等各个尺度的物理系统中都已观察到法拉第旋转效应。此效应也被广泛应用于对光的操控、对磁场及材料属性的测量中。
上述极端法拉第效应为操控超短激光脉冲提供了一个新的自由度,以此可设计一些新型光学仪器。譬如,新型磁化等离子体偏振器,它可以将数十拍瓦的超高功率线偏振激光脉冲转变为圆偏振激光脉冲,这种高功率圆偏振激光脉冲在激光驱动的离子加速以及对介观物质的光学控制中具有重要的应用。虽然传统的四分之一波片也可以将线偏振光转变成圆偏振光,但是当激光脉冲功率达到十拍瓦量级时,为了避免激光损伤波片的口径需要达到米量级,这对于目前的加工工艺仍是极大的挑战。而基于极端法拉第效应的磁化等离子体偏振器的尺寸只有厘米量级。此外,此极端法拉第效应还可能为测量宇宙中存在的超强磁场或强激光与物质相互作用产生的超强磁场提供另一种途径。
本工作近期发表在Optica [Suming Weng, Qian Zhao, Zhengming Sheng et al., Optica 4(9), 1086-1091 (2017)]. 该工作得到了国家HTH官网地址 部重点基础研究发展计划和国家自然科学基金项目的资助。
原文链接:http://www.physics.sjtu.edu.cn/node/2282
文献链接:Extreme case of Faraday effect: magnetic splitting of ultrashort laser pulses in plasmas (Optica,2017,DOI:10.1364/OPTICA.4.001086)
本文由材料人编辑部Allen编辑,点我加入材料人编辑部。
材料测试,数据分析,上测试谷。





