【引言】
半导体中电子与空穴通过库伦作用相结合的束缚态粒子,称为激子。激子行为决定了半导体材料的光学性质。过渡金属硫族化合物,作为新兴二维半导体材料,其激子行为的研究对开发新型光电器件具有重要意义。霍尔效应是用来表征半导体传输特性的基本现象,为材料中导电载流子的研究提供了有效途径。我们可以借助霍尔效应研究半导体中的载流子,确定掺杂后的半导体材料中的载流子类型,也可以进一步测量载流子浓度。距离霍尔效应的发现已经有140多年,期间对各种霍尔效应的研究一直连续不断。特别是在上世纪80年代发现量子霍尔效应之后,更多霍尔效应的家族成员相继被发现,成为凝聚态物理中的一大热门课题。
【成果简介】
近日,东京大学Yoshihiro Iwasa教授(通讯作者)团队报道了单层MoS2中的激子霍尔效应。利用不同偏振光下光致发光谱,直接观测到单层MoS2中激子的霍尔效应和微米尺度上激子谷选择传输特性。单层MoS2中激子的霍尔角比独立电子的霍尔角大很多,也就是说这种复合粒子的量子输运特性很大程度上受其内部结构影响。相关成果以题为“Exciton Hall effect in monolayer MoS2”发表在了Nature Materials上。
【图文导读】
图1. 单层MoS2霍尔效应实验原理图示

(a).单层MoS2晶体结构。
(b).单层MoS2的光选择定则。
(c).电场作用下霍尔效应示意图,电子和空穴向相反方向移动。
(d).激子霍尔效应示意图(材料受激光照射或纳米片中温度和化学势梯度引起的激子霍尔效应)。
图2. 单层MoS2中激子扩散

(a).单层MoS2光学照片。
(b).30K下单层MoS2的PL光谱。
(c).单层MoS2的PL mapping,沿MoS2片层不同方向上PL呈现各向异性。
(d).沿(c)中白色虚线的PL强度分布。
图3. 激子霍尔效应

(a).线偏振光照射下的PL mapping。
(b).对应(a)中x=3.6μm处的PL光谱。
(c).y方向△Inorm。
(d) MoS2片层上△Inorm.分布图,反应了实空间中激子霍尔效应。
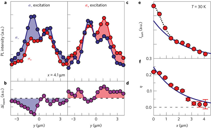
图4. 激子的选择性空间输运

(a, c).σ–和σ+偏振光下截面PL强度,可看出在K’和K能谷下的选择性跃迁。
(b, d).在σ–和σ+偏振光下y方向△Inorm。
(e).x方向Isum分布。
(f).在圆偏振光激发下,x方向的谷极化率ƞ。
【小结】
单层MoS2本征二维特性使激子能够稳定存在,而激子的Berry曲率所引起的不同横向速率预示了激子霍尔效应。该工作是继理论预测激子的量子输运和自发霍尔效应后,首次在实验上直接观测到的实空间中激子霍尔效应与谷选择输运特性。该研究成果不仅提出了复合粒子的霍尔效应这个基本问题,也为探究二维材料中基于激子的能谷器件提供了新的思路。
文献链接:Exciton Hall effect in monolayer MoS2 (Nat. Mater.,2017,DOI: 10.1038/nmat4996)
本文由材料人电子电工学术组二正正笑春风供稿,材料牛整理编辑。
材料牛网专注于跟踪材料领域HTH官网地址 及行业进展,如果您对于跟踪材料领域HTH官网地址 进展,解读高水平文章或是评述行业有兴趣,点我加入编辑部。如果你对电子材料感兴趣,愿意与电子电工领域人才交流,请加入材料人电子电工材料学习小组(QQ群:482842474)。欢迎大家到材料人宣传HTH官网地址 成果并对文献进行深入解读,投稿邮箱tougao@cailiaoren.com。
材料测试,数据分析,上测试谷!





