当前位置: 材料牛 » HTH官网地址 » 导读 » Adv. Energy Mater:基于共晶的介孔Ni-Fe-O纳米线网络用于催化产氧和全水解

Adv. Energy Mater:基于共晶的介孔Ni-Fe-O纳米线网络用于催化产氧和全水解

【引言】

快速增长的全球能源需求和有限的化石燃料能源之间的矛盾问题迫使人们去追逐清洁可持续性的代替能源并同时开发有效的能量存储系统。在众多创新策略中,电化学/光电化学水解产生高纯氢气被认为是非常具有前景的方法。水氧化(OER)不仅是关键的水解半反应,而且与众多能量转换系统密切相关,例如金属——空气电池以及燃料电池。和HER相比,OER由于涉及4质子耦合电子传输,O-H键的断裂,以及O-H键的形成,所以是一个缓慢而且复杂的过程。因此,OER在实现大规模电解水的过程中被认为是主要瓶颈。因此,众多有效且廉价的电催化剂的合理设计有望提高OER的动力学和效率,进一步促进水解技术的发展。

到目前为止,贵金属和相关的氧化物(氧化钌,氧化铱)被认为是OER的最先进的催化剂,但是这些催化剂在10mA/cm2的电流密度下的过电位仍然超过200mV。此外,过高的价格以及这些催化剂的有限储量导致其在实际应用中受到极大的限制。考虑到地球的元素储量,制备成本,环境保护,催化活性以及长时间的稳定性,廉价过渡金属基催化剂,特别是Ni-和Co-基催化剂,近年来受到了广泛的关注。而且,Ni-基催化剂的OER活性能够通过Fe掺杂得到进一步提升。直到现在,大量的工作已经证明NiFe-基氧化物/氢氧化物以及它们的衍生物能够提升OER性能。

众所周知,电催化剂活性取决于它们的微观结构以及表面电化学活性面积。一个有前景的策略是降低催化剂尺寸,进而极大提高表面积并且暴露更多的催化活性位点。然而,超小纳米粒子因为团聚问题或者毒化问题而很难制备。解决该问题的一个有效方式是制备三维以及多孔纳米结构,这不仅能够提供高比表面积,而且也能提高活性位点数量,并且提高电解液/离子的扩散速率。到目前为止,制备这种介孔或纳米多孔催化剂的常用策略是在多孔模板(比如介孔氧化硅或块体共聚物)上合成有针对性的氧化物或氢氧化物。但是,一个主要的问题是NiFe-基氧化物/氢氧化物的导电性较差。研究人员已经尝试采用将NiFe-基材料与诸如泡沫镍,金,碳材料等导电基底复合的方法去解决这个问题。虽然已经取得不错的进展,但是制备过程比较复杂,例如电沉积,共沉淀,滴涂法,烧结,或者模板法。这些方法不仅制备成本高,制备缓慢并且很难适用于大规模生产。因此,在技术上采用简单,廉价以及可规模化的方法来制备具有独特介孔结构的金属/金属氧化物复合材料是迫切需要的。

【成果简介】

近日,来自山东大学的张忠华教授以及长春应化所的彭章泉教授等人在Advanced Energy Materials上发文,题为:“Eutectic-Derived Mesoporous Ni-Fe-O Nanowire Network Catalyzing Oxygen Evolution and Overall Water Splitting”。 基于共晶成分的前驱体设计和去合金遗传效应,研究人员设计并制备了Ni-Fe-O-基的具有介孔纳米线网络结构的新型催化剂。该催化剂在1M KOH溶液中对于OER过程展现出了优异的催化效果,例如异常低的过电位(244mV,10mA/cm2),较低的塔菲尔斜率(39mV dec-1)以及极佳的稳定性(在10mA/cm2下运行60h无衰减)。而且,研究人员通过将Ni-Fe-O-基催化剂用作阳极和阴极,制作了一个碱性溶液电解槽。这个电解槽展示出了优秀的电解作用(1.64V下提供电流密度10mA/cm2)以及长时间的稳定性。催化剂优异的性能依赖于它自身独特的介孔纳米线网络结构以及金属核和活性金属氧化物的协同效应。该结构显著提高了活性表面积,加速了电子/离子传输,并进一步提升了OER的反应动力学。

【图文导读】

制备流程图

具有介孔纳米线网络结构的新型Ni-Fe-O-基催化剂的合成方法以及展现出的电化学催化性能示意图

图1 形貌分析

a,b) 在1 wt% HF水溶液中浸泡8min后的Al97Ni2Fe1合金带的SEM图;

c) 去合金化后的Ni2Fe1-O粉体的照片;

d,e) 珊瑚状的Ni2Fe1-O催化剂的SEM图;

(f) 珊瑚的照片;

g–i) Ni2Fe1-O典型的TEM图和(i, 插图) SAED图;

图2 元素,结构分析

a) 去合金后的NixFe3-x-O (x = 2, 1.5, 1)催化剂的XRD图;

Ni2Fe1-O催化剂的XPS图谱: b) Ni 2p3/2;c) Fe 2p;d) Al 2p;e) O 1s;

f) N2 吸脱附等温曲线以及 (f, 插图) Ni2Fe1-O的孔径分布;

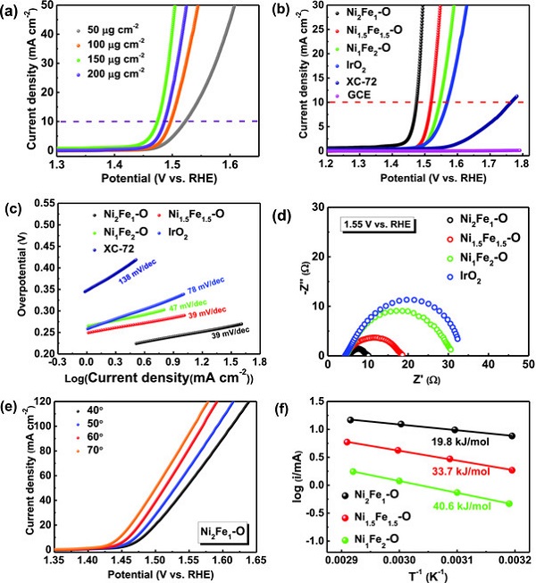
图3 Ni2Fe1-O催化剂性能

a) 负载于GCE上的不同载量的Ni2Fe1-O的OER极化曲线,负载量分别为: 50, 100, 150, 和 200 μg cm2.

b) 在1M KOH溶液中,5 mV s1的条件下,负载于GCE上的不同催化剂的OER极化曲线,活性材料负载量:150 μg cm2

c) 在1M KOH溶液中,5 mV s1的条件下,负载于GCE上的不同催化剂的塔菲尔斜率,活性材料负载量:150 μg cm2

d) 在55V vs. RHE条件下,1M KOH溶液中,附于GCE上的催化剂电极的奈奎斯特图,频率从0.1Hz到100kHz;

e) 不同温度下,在1M KOH溶液中,负载在GCE上的Ni2Fe1-O电极的OER极化曲线;

f) 在53Vvs. RHE条件下,电流与温度的关系图;

图4 电极材料的OER稳定性和全解水性能

a) 在1M KOH溶液中,泡沫镍支撑Ni2Fe1-O (负载: 5.4 mg cm-2) 在持续电流密度10 mA cm−2下进行OER 60小时的计时电位曲线. (a, 插图) 1M KOH溶液中,泡沫镍支撑Ni2Fe1-O和空白泡沫镍的OER极化曲线(左),显示泡沫镍支撑Ni2Fe1-O电极上OER过程的照片(右);

b) 采用泡沫镍支撑Ni2Fe1-O电极分别作为OER和HER的电极(负载:分别为7和6.1 mg cm−2)的碱液电解槽的极化曲线;

c) 泡沫镍支撑Ni2Fe1-O电极用于全解水的计时电位曲线(5 mA cm−2,1 M KOH)。 (c, 插图) 照片显示了全解水产生O2和H2的过程;

【总结】

基于共晶成分的前驱体设计和去合金遗传效应,研究人员开发了一种将快速凝固与化学去合金化相结合的方法来简便,低成本,高效地制备Ni-Fe-O-基的具有介孔纳米线网络结构的新型催化剂。催化剂在1M KOH溶液中,对于OER展现出了异常低的过电位(244mV,10mA/cm2),低的塔菲尔斜率(39mV dec-1)以及极佳的稳定性(在10mA/cm2下运行60h无衰减),性能优于商业氧化铱和其他目前已报道的非贵金属OER催化剂。而且,研究人员以Ni-Fe-O-基催化剂用作阳极和阴极,制作了一个碱性溶液电解槽。这个电解槽展示出了优秀的电解作用(1.64V下提供电流密度10mA/cm2)以及长时间的稳定性。这些发现突出了Ni-Fe-O-基介孔纳米线网络在用于(光-)电化学OER和全水解器件的潜力。

文献链接: Eutectic-Derived Mesoporous Ni-Fe-O Nanowire Network Catalyzing Oxygen Evolution and Overall Water Splitting (Advanced Energy Materials, 2017,DOI: 10.1002/aenm.201701347)

本文由材料人新能源学术组Z. Chen供稿,材料牛整理编辑。

材料牛网专注于跟踪材料领域HTH官网地址 及行业进展,这里汇集了各大高校硕博生、一线科研人员以及行业从业者,如果您对于跟踪材料领域HTH官网地址 进展,解读高水平文章或是评述行业有兴趣,点我加入编辑部

材料测试,数据分析,上测试谷!

未经允许不得转载:材料牛 » Adv. Energy Mater:基于共晶的介孔Ni-Fe-O纳米线网络用于催化产氧和全水解

相关文章

Baidu
map