【引言】
有机-无机杂化钙钛矿由于其优异的光学和电学性能,已经被证明是制备高灵敏度的光电探测器的理想材料。目前,大多数钙钛矿光电探测器的研究主要以甲基铅碘(MAPbX3,X为Cl,Br或I)钙钛矿作为活性层。尽管所报道的钙钛矿光电探测器展现了良好的性能,但MAPbX3钙钛矿相对大的带隙(1.55eV或更大)将其响应光谱范围限制在了紫外-可见光范围。实现从紫外到近红外波段的宽响应钙钛矿光电探测器是一个巨大的挑战。目前制备宽响应钙钛矿光电探测一种最常采用的方法是将MAPbI3钙钛矿层与窄带隙聚合物或量子点层集成到单个器件中。然而,这些探测器在近红外波段的响应较低(EQE<40%),这将会限制其在实际中的应用。基于窄带隙钙钛矿的光电探测器是实现具有较强近红外响应的宽响应钙钛矿光电探测器较为理想的替代方案。
【成果简介】
近日,北京交通大学张福俊课题组与美国托莱多大学鄢炎发课题组基于窄带隙(〜1.25 eV)钙钛矿(FASnI3)0.6(MAPbI3)0.4成功制备了响应光谱范围覆盖300-1050 nm的宽响应钙钛矿光电探测器。通过优化钙钛矿层及电子传输层C60的厚度,器件性能得到了极大的提升。当钙钛矿层和C60层厚度分别为1000 nm和70 nm时,器件在350-900 nm的范围内展现了几乎平坦的EQE光谱,EQE值大于65%。同时,优化的器件在-0.2 V的偏压下暗电流仅为3.9 nA,在近红外波段展现了超过0.4 A/W的响应度以及超过1012 Jones的比探测率,远优于以钙钛矿/窄带隙聚合物或钙钛矿/量子点作为活性层的光电探测器以及和商业无机宽响应光电探测器。相关内容以题为“Highly Sensitive Low-Bandgap Perovskite Photodetectors with Response from Ultraviolet to the Near-Infrared Range”发表在了Advanced Functional Materials上。本文的第一作者为博士生王文斌及赵德威博士。
【图文导读】
图1 材料的XRD、SEM及吸收光谱

(a) 不同厚度(FASnI3)0.6(MAPbI3)0.4 钙钛矿薄膜的XRD衍射图
(b) 不同厚度(FASnI3)0.6(MAPbI3)0.4 钙钛矿薄膜的俯视SEM图
(c) 以1000 nm厚的有源层制备的光电探测器的截面SEM图
(d) 不同厚度(FASnI3)0.6(MAPbI3)0.4 钙钛矿薄膜的吸收光谱
图2 器件的光场分布模拟及性能表征

(a) 以1000 nm厚的(FASnI3)0.6(MAPbI3)0.4 钙钛矿作为活性层器件的光场分布
(b) 以1000 nm厚的(FASnI3)0.6(MAPbI3)0.4 钙钛矿作为活性层器件的短路电流
(c) 不同厚度活性层器件的EQE光谱
(d) 不同厚度活性层器件的J-V曲线
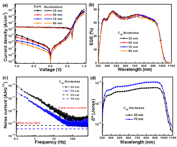
图3 J-V曲线、EQE、噪音电流及比探测率

(a) 不同厚度C60层作为电子传输层器件的J-V曲线
(b) 不同厚度C60层作为电子传输层器件的EQE光谱
(c) 以30 nm和70 nm C60作为电子传输层器件的噪音电流
(d) 以30 nm和70 nm C60作为电子传输层器件的比探测率
图4 瞬态响应、LDR及稳定性测试

(a) 器件在900 nm光照下、0.05 Hz斩波频率下的瞬态光电流
(b) 器件在900 nm光照下的响应速度,斩波频率为3500 Hz
(c) 器件的线性动态范围
(d) 器件的稳定性测试
【总结】
通过使用窄带隙钙钛矿(FASnI3)0.6(MAPbI3)0.4 作为活性层,实现了响应光谱范围覆盖紫外到近红外的钙钛矿光电探测器,同时,优化的器件在近红外波段的响应远大于以钙钛矿/窄带隙聚合物或钙钛矿/量子点作为活性层的光电探测器以及和商业无机宽响应光电探测器。该宽响应光电探测器将在多色探测领域有重要的应用。
文献链接:Highly Sensitive Low-Bandgap Perovskite Photodetectors with Response from Ultraviolet to the Near-Infrared Region (Adv. Funct. Mater. , 2017, DOI: 10.1002/adfm.201703953.)
本文由材料牛整理编辑。
材料牛网专注于跟踪材料领域HTH官网地址 及行业进展,如果您对于跟踪材料领域HTH官网地址 进展,解读高水平文章或是评述行业有兴趣,点我加入编辑部。如果你对电子材料感兴趣,愿意与电子电工领域人才交流,请加入材料人电子电工材料学习小组(QQ群:482842474)。欢迎大家到材料人宣传HTH官网地址 成果并对文献进行深入解读,投稿邮箱tougao@cailiaoren.com。
材料测试,数据分析,上测试谷!





