当前位置: 材料牛 » HTH官网地址 » 导读 » 同济大学Nano Energy:在三明治结构复合材料中NaNbO3 2D模板诱导高的储能密度

同济大学Nano Energy:在三明治结构复合材料中NaNbO3 2D模板诱导高的储能密度

【引言】

聚合物基薄膜储能电容器因其具有较高功能密度和超快的充放电响应时间,是脉冲功率技术、电磁炮及激光等高能武器系统无可替代的核心储能器件,以及在可再生能源转化储存、混合动力汽车等领域也得到广泛的应用。但聚合物本身的介电常数较低、极化强度低等问题,限制了其储能电能的能力。目前,科学家们采用在高击穿场强聚合物中加入具有高介电常数无机填料的方法来制备具有高储能密度的复合电介质材料,但高体积分数陶瓷颗粒的引入却会增大材料的漏导损耗、降低其击穿场强。因此,如何保证在提高介电常数的同时也使得击穿场强得到进一步提升,仍是获得高储能密度电介质材料研究的热点。

 【成果简介】

近日,同济大学材料科学与工程学院翟继卫(通讯作者)、潘仲彬(第一作者)课题组在Nano Energy上发表了题为“NaNbO3 Two-Dimensional Platelets Induced Highly Energy Storage Density in Trilayered Architecture Composites”文章。在该文中,研究人员用“Topochemical”方法制备出了一种二维铌酸钠(2D NaNbO3)模板作为无机填料引入聚合物基体中,设计并制备出一种三明治结构的聚合物复合高储能密度电介质材料。在三明治结构中,上下两层为极化层、中间层为承压层;通过调节上下两层无机填料的体积分数使中间层具有更强的耐压性能,同时保证两端层具有较大极化强度而实现高的储能密度。通过模拟仿真验证了2D NaNbO3模板以及三明治结构各层间界面对整个复合材料的漏电流密度、以及局域性电场强度对复合材料的极化和击穿场强的影响,同时揭示出界面效应对材料击穿场强及储能密度提高的作用。

【图文导读】

 图一 三明治复合材料的结构示意图

三明治复合材料的结构示意图

图二 2D NaNbO3模板形貌及结构表征

2D NaNbO3(a)“topochemical”法制备示意图;(b)前驱体SEM图;(c)模板SEM图;(d)模板畴结构亮场TEM图;(e)HRTEM图;(f)模板XRD图。

 图三三明治复合材料的形貌及结构图

(a)2D NN@PDA 模板的TEM图;(b) 2D NN 模板和2D NN@PDA 模板的XPS 图; 3-0-3复合材料的(c)中间层和 (d)外层表面图;(e) 3-0-3复合材料的截面; (f)纯 PVDF、2D NN 模板和 3-0-3 三明治复合材料的XRD图。

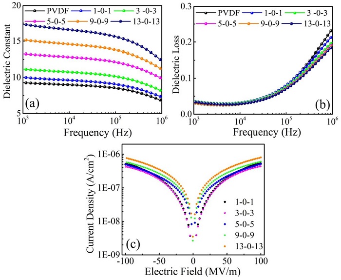
图四 三明治复合材料的介电性能

三明治复合材料(a)介电常数、(b)介电损耗随频率的变化关系;(c)漏电流密度与电场之间的依赖关系。

图五 三明治复合材料的击穿场强、储能密度、效率、电导损耗以及铁电损耗比较图

三明治复合材料的(a)击穿场强、(b)储能密度、(c)效率、(e)电导损耗以及(f)铁电损耗随电场变化的比较图;(d)不同填料的复合材料击穿场强、储能密度以及效率对比图。

图六 单层和三明治结构复合材料的局域电场强度模拟仿真图

在应用电场为6000v,局域性电场三维模拟仿真图(a)3-0-3复合材料、(b)3 vol.% NN/PVDF;(c)、(d)为(a)的截面图;(e)、(f)为(b)的截面图。

图七 纯聚合物、单层和三明治结构的储能密度、效率、电导损耗以及铁电损耗比较图

纯聚合物、单层和三明治结构的(a)储能密度、(b)效率、(c)电导损耗以及(d)铁电损耗随电场变化的比较图

 图八 单层和三明治结构复合材料的漏电流密度模拟仿真图

在应用电场为6000v,漏电流密度三维模拟仿真图(a)3-0-3复合材料、(b)3 vol.% NN/PVDF;(c)、(d)为(a)的截面图;(e)、(f)为(b)的截面图。

图九 复合材料的简单电容器性能评价

在应用电场为200 MV/m,BOPP和5-0-5复合材料的(a)放电能量密度;(b)功能密度的比较。

【小结】

在这项工作中,研究人员巧妙地设计并利用层层流延的方法制备出一种三明治结构的聚合物复合高储能密度电介质材料。实验结果表明,三明治结构复合材料的击穿场强可以通过上下两层无极填料的含量进行调控而实现高的储能密度。优化后的三明治复合材料具有最高的储能密度为13.5 J cm-3 其击穿电压为400 MV m-1,并获得了一个高的功能密度2.68 MW cm-3和快的放电时间0.127 ms。该研究工作提出的宏观结构设计方法为进一步开发新型高储能密度电介质材料提供了新思路。 

文章链接:NaNbO3 two-dimensional platelets induced highly energy storage density in trilayered architecture composites (Nano Energy, 2017, https://doi.org/10.1016/j.nanoen.2017.09.004)

材料人新能源组背逆时光整理编辑。

投稿以及内容合作可加编辑微信:xiaofire-18,吴玫,我们会邀请各位老师加入专家群。

材料牛网专注于跟踪材料领域HTH官网地址 及行业进展,如果您对于跟踪材料领域HTH官网地址 进展,解读高水平文章或是评述行业有兴趣,点我加入编辑部。欢迎大家到材料人宣传HTH官网地址 成果并对文献进行深入解读,投稿邮箱tougao@cailiaoren.com。

仪器设备、试剂耗材、材料测试、数据分析,找材料人、上测试谷

未经允许不得转载:材料牛 » 同济大学Nano Energy:在三明治结构复合材料中NaNbO3 2D模板诱导高的储能密度

相关文章

Baidu
map