【引言】
近年来,有机-无机卤化物钙钛矿材料发展迅速,已经成为下一代薄膜太阳能电池和光电子学领域的明星级材料。三维(3D)甲基碘化铅(MAPbI3)作为太阳能电池的吸收层具有优异的光伏性能,如:消光系数高、带隙匹配、激子结合能小以及电荷扩散长度长等优点。该类钙钛矿太阳能电池效率最高已经达到22.1%。然而,这类钙钛矿材料面临环境稳定性差的问题严重制约了该类钙钛矿电池的商业化进程。这一挑战激励着研究者致力于开发环境稳定性好的新型材料。在这样的背景下,二维(2D)钙钛矿材料脱颖而出。与3D钙钛矿材料相比,2D钙钛矿材料拥有可调的光电性能和环境稳定性两大优点。遗憾的是,由于2D钙钛矿存在吸收系数低、电荷传输能力差和激子结合能大等问题,导致其光伏性能差,电池效率低下。近期研究发现2D钙钛矿边缘存在长寿命的自由载流子,这为该材料的高光伏特性提供了保证。通过在加热基底上进行溶液法浇筑制备薄膜,可以有效的控制2D钙钛矿的晶向,在垂直方向形成有效的电荷输运,使得电池效率达到12.5%,同时比3D钙钛矿电池具有更好的耐湿性。尽管在控制溶液成膜上取得了巨大的成功,然而其材料本征缺陷仍然限制光伏性能和器件稳定性的进一步提升。
【成果简介】
近日,中科院刘生忠教授、陕西师范大学赵奎副教授(共同通讯作者)在Energy & Environmental Science 上发表了一篇名为“Stable high efficiency two-dimensional perovskite solar cells via cesium doping”的文章。该工作通过对二维 (BA)2(MA)3Pb4I13钙钛矿进行铯(Cs)掺杂将太阳能电池效率从12.3%提高至13.7%。此外,电池的稳定性也得到了进一步的提升。
【图文导读】
图1:铯掺杂钙钛矿(Cs-2D)的晶体结构与光学性质

(a).原位GIWAXS测试显示Cs0-2D(Cs掺杂浓度为0)和Cs5-2D(Cs掺杂浓度为5%)样品在溶液旋涂过程中的相变过程;
(b).GIWAXS分析Csx-2D薄膜的结晶性质,右侧与底部的部分分别表示的不同掺杂浓度下,(2100)峰和(111)峰的峰移;
(c).铯掺杂二维晶体结构示意图;
(d).Csx-2D钙钛矿薄膜的吸收谱(虚线)和PL谱(实线)的对比。
图2:Csx-2D钙钛矿薄膜的形貌表征

(a, b).Csx-2D钙钛矿薄膜的SEM图,低分辨率(a)和高分辨率(b);
(c).Csx-2D钙钛矿薄膜的AFM图, 标注的是功函数和粗糙度;
(d).Csx-2D钙钛矿薄膜器件的横截面SEM图。
图3:Csx-2D钙钛矿薄膜的光电特性

(a).Csx-2D钙钛矿器件的暗电流-电压测试曲线;
(b).Csx-2D钙钛矿薄膜的缺陷态密度与电子迁移率随Cs掺杂浓度的变化曲线;
(c).Csx-2D钙钛矿薄膜生长在FTO/TiO2衬底上的PL衰减曲线。
图4:Csx-2D钙钛矿电池结构与表征

(a).电池结构;
(b).80个Csx-2D钙钛矿电池的性能数据统计;
(c).Cs5-2D钙钛矿电池最高效率(13.68%)器件J-V曲线;
(d).外量子效率(EQE)曲线与电流随波长积分曲线;
(e).器件正扫与反扫的J-V曲线。
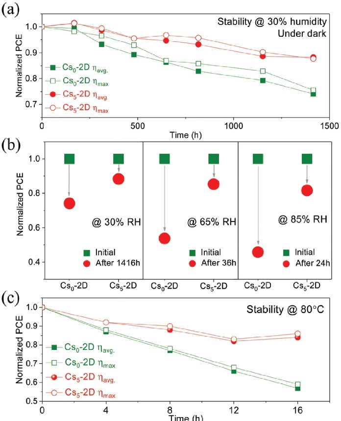
图5:Cs0-2D和Cs5-2D钙钛矿电池的稳定性测试

(a).在相对湿度为30%的环境条件下,未封装Cs0-2D和Cs5-2D钙钛矿电池的长期稳定性测量;
(b). 未封装Cs0-2D和Cs5-2D钙钛矿电池在不同湿度下 (30%、65%、85%) 的耐湿测量;
(c).未封装的 Cs0-2D和Cs5-2D钙钛矿电池在80℃惰性气氛下的稳定性测试。
【小结】
在这项工作中,研究者通过对二维(BA)2(MA)3Pb4I13钙钛矿电池进行铯(Cs)掺杂来提升钙钛矿薄膜的晶粒尺寸与表面质量,进而提升器件的光伏性能和稳定性。研究发现,当铯掺杂浓度为5%时,器件的效率从0掺杂时的12.3%提高至13.7%。此外,在30%湿度情况下,经过1400小时后,器件的效率仍然保持89%。这将有助于推动钙钛矿太阳能电池走向商业应用。
文献链接:Stable high efficiency two-dimensional perovskite solar cells via cesium doping (Energ. Environ. Sci., 2017,DOI:10.1039/c7ee01145h)
团队介绍:
刘生忠教授领导的团队是国内外较早从事钙钛矿太阳电池研究的团队之一,在平面和柔性钙钛矿等方面取得了显著的研究成果:包括采用独特的界面修饰方法,平面异质结电池效率达到19.62%;发展了优质的TiO2和Ni2O5电子传输层的低温沉积工艺,制备的柔性钙钛矿电池效率达到18.32%。这些成果都达到了同类研究的国际先进水平。
本文由材料人编辑部新能源前线刘于金供稿,参与新能源话题讨论请加入“材料人新能源材料交流群 422065953”。
投稿以及内容合作可加编辑微信:xiaofire-18,吴玫,我们会邀请各位老师加入专家群。
材料牛网专注于跟踪材料领域HTH官网地址 及行业进展,如果您对于跟踪材料领域HTH官网地址 进展,解读高水平文章或是评述行业有兴趣,点我加入编辑部。欢迎大家到材料人宣传HTH官网地址 成果并对文献进行深入解读,投稿邮箱tougao@cailiaoren.com。





