当前位置: 材料牛 » HTH官网地址 » 首次!千瓦级绿色冷却技术,今日Nature!!

首次!千瓦级绿色冷却技术,今日Nature!!

 

【科学背景】

传统蒸汽压缩制冷技术依赖高全球变暖潜能值(GWP)的制冷剂(如R410a的GWP值高达2088),加剧了温室效应。固态制冷技术(如弹性热、磁热、电热效应)因其环保性和高能效潜力备受关注。其中,弹性热制冷利用形状记忆合金(SMAs)在应力作用下的相变吸放热特性,理论卡诺效率可达84%。然而,现有弹性热制冷设备的最大冷却功率仅为260 W,远低于商用空调所需的千瓦级需求,阻碍了该技术的商业化。其瓶颈在于缺乏高效的系统架构设计,无法同时实现高比冷却功率(SCP)和足够的制冷剂质量。

【创新成果】

香港HTH官网地址 大学机械与航空工程系姚舒怀、孙庆平、周国安团队使用压缩型薄壁管状镍钛构建了一个千瓦级的弹性热冷却装置,该装置采用“形状记忆合金(SMAs)串联-石墨烯纳米流体并联”架构,称为多单元架构。在高频操作(3.5 Hz)下,薄壁管状NiTi具有较大的表面积体积比,并辅以石墨烯纳米流体作为高效的传热剂,从而实现了可达12.3 W g−1的比冷却功率。此外,多单元结构确保了足够的弹性热质量,以实现紧密组装,同时保持较低的系统流体压力。在最初的50万次循环中,该设备在零温度升程下实现了1284 W的冷却功率,证明了这种绿色冷却技术在低碳未来的潜力。该研究通过多单元架构设计与石墨烯纳米流体的协同作用,首次将弹性热制冷提升至千瓦级,解决了传统技术冷却功率不足的核心难题。2月26日,相关论文以题为“Achieving kilowatt-scale elastocaloric cooling by a multi-cell architecture”的论文发表在Nature上。

【数据概况】

图1 千瓦级弹性热冷却装置示意图© 2025 Springer Nature

图2 弹热冷却装置的组装和操作© 2025 Springer Nature

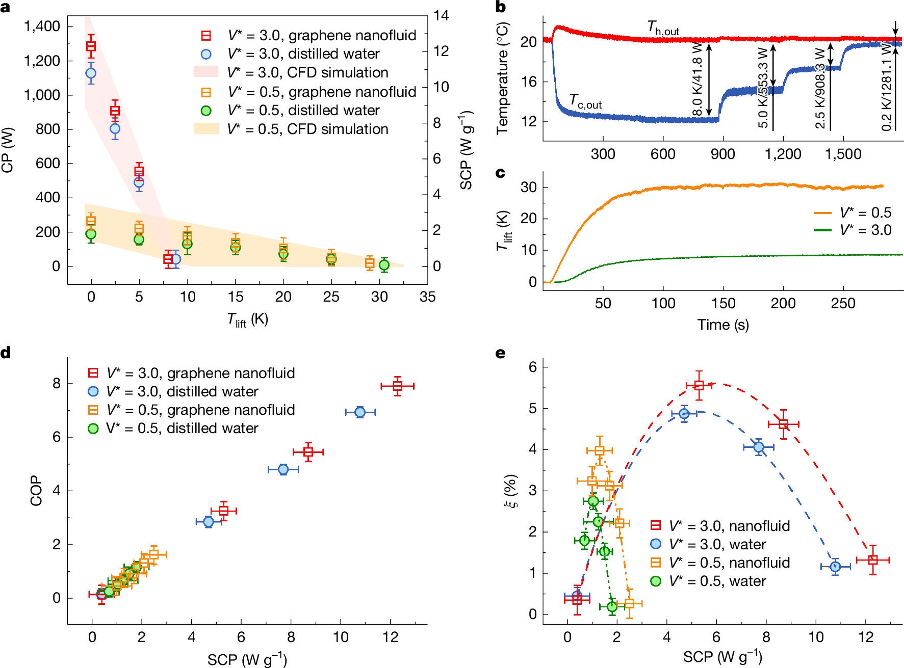
图3 装置在3.5 Hz时的制冷性能© 2025 Springer Nature

图4  千瓦级弹性热冷却装置的应用© 2025 Springer Nature

图5 制冷性能比较© 2025 Springer Nature

【科学启迪】

该项研究开发了一款千瓦级弹热冷却装置,该装置采用石墨烯纳米流体在串联合金材料-并联流体架构中实现基于压缩型薄壁管状镍钛(NiTi)合金(属形状记忆合金SMAs系列)的热量传递。弹热单元沿施力方向串联排列的设计确保充分质量的活性材料被紧凑集成于装置内,而并联布局的短程流体回路有效抑制运行期间系统流体压力增高。通过提高工作频率可提升装置理论最大比冷却功率(SCP);同时NiTi合金固有的高比表面积特性与石墨烯纳米流体的优异热性能协同作用,显著提高了热源材料与流体间的传热效率,进而改善实验SCP指标。该项研究突出了架构设计在弹热冷却技术研发中的关键作用,为这一绿色制冷技术在碳中和背景下的大规模商业化应用铺平了道路。

文献链接:

https://www.nature.com/articles/s41586-024-08549-9

未经允许不得转载:材料牛 » 首次!千瓦级绿色冷却技术,今日Nature!!

相关文章

Baidu
map