近年来,随着人工智能、人机界面、物联网、机器人和可穿戴电子产品等领域的快速发展,高性能应变传感器的需求也日益增加。压电电子学变传感器可将机械变形转化为电信号,通过应力产生的压电极化电荷调控载流子输运特性,具有高灵敏度应变传感应用特征,有望成为未来智能化领域的核心元件之一。除了高灵敏度外,对于能够实现性能稳定且功能多样的应变传感器也十分迫切。例如,在可穿戴医疗设备中,检测微弱的心率脉冲机械信号需要传感器具备高的应变灵敏度,而对于检测时间长、应变范围大的机械运动如跑步,则需要稳定且低灵敏度的应变传感器以减少噪音干扰。这些应用要求单个传感器集成高和低灵敏度的多重应用模式并保持性能的稳定性。然而,压电电子学应变传感器实现这种多模式传感是一项具有挑战性的工作,需要非常的大应变或者特殊的异质结来切换传导性而实现。
西北工业大学黄维院士团队黄佛保课题组与三峡大学湖北省弱磁探测工程技术研究中心的胡功伟课题组合作,提出了一种在短沟道场效应结中实现具有均匀和可切换灵敏度的压电电子学应变传感器。应变诱导的压电势通过调控材料内部的能带结构和载流子输运特性,可实现肖特基和欧姆导电性之间切换,从而表现出不同的压电电子学调制机制。在肖特基导电性下,场效应结导电沟道内载流子耗尽,形成高的势垒并诱发热电子发射。与此同时,耗尽的载流子对压电极化电荷的屏蔽效应减弱,增强压电势对势垒高度的调节,导致电流随应变呈指数变化关系,表现出较高的应变灵敏度系数;而在欧姆导电性下,大量的电子注入到沟道,屏蔽了压电极化电荷,使得压电势调控显著减弱,电流随应力呈线性变化,器件灵敏度显著降低。通过费米占据理论,我们揭示了应变传感性能与导电机制之间的内在关联。进一步结果显示,无论是在高灵敏度的肖特基电导性还是在低灵敏度的欧姆电导性下,传感器灵敏度在宽应变范围内能够保持高的稳定性,为实现高鲁棒性和性能切换的应变传感器提供了基础。该研究深入探讨了压电电子学器件中应变传感性能与导电机理的内在关联,为开发和设计多功能性和高灵敏度的应变传感器提供了新的思路。
论文链接:https://doi.org/10.1016/j.nanoen.2024.110535
图1. GaN 场效应节(Field Effect Junction, FEJ)中电导的压电调制。(a) GaN FEJ 原理图。(b)沿约束方向y的二维电子气的压电调控,c轴表示GaN的极化方向。(c)应变诱导压电势调控欧姆(左图,拉伸应变)和肖特基电导(右图,压缩应变)沿输运方向x。上方的简图表示2DEG沟道中的电子传输,下方表示其在偏置电压Vds下的能带简图。

图2. GaN FEJ中电子输运的压电调制。(a)器件的电子浓度分布。(b)第一个子带的能带剖面。(c)电子密度分布。(d)压电势随应变的变化。(e)透射系数在热电子发射和隧穿区域随能量变化。(f)非平衡态下电子的分布,应变从上到下依次为-0.2%、0和0.2%。图(b)-图(f)的偏压和栅压分别为1.5V和1.4V。

图3.栅压对欧姆和肖特基导电机制的切换。图(a)和(c)为不同应变下的电流-电压曲线。图(b)和(d)为能带图和态密度。

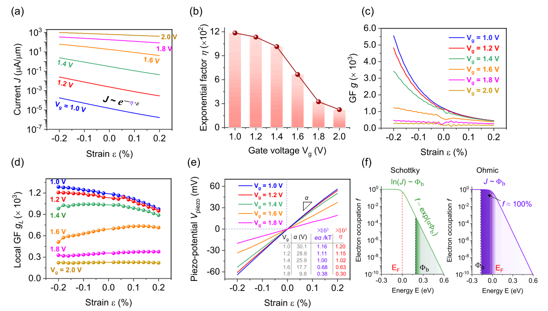
图4.压电对应变传感性能的调控。图(a)不同栅压下电流随应变的变化,且电流与应变呈指数关系,指数系数如图(b)所示。图(c)和(d)分别为应变系数和局部应变系数随栅压和应变的变化。图(e)压电势随应变的变化。图(f)电子在欧姆和肖特基导电机制下的占据率。深色表示对电流有贡献的主要能量区域。

图5.均匀和可切换灵敏度的压电应变传感器。图(a)欧姆和肖特基两种传导机制下的电流随应变的变化。图(b)两种传导机制区域对应的局部应变系数,偏压和栅压分别为1.5V和1.0V。图(c)和(d)分别为肖特基区域应力为-0.2%和欧姆区域应力为-2.0%下的电流-电压曲线。图(e)压电应变传感器可用于检测心脏脉搏信号和日常运动的多功能应用。
研究结果表明通过使用应变诱导的压电势可在肖特基型和欧姆型之间切换电导率来实现具有均匀且可切换的高/低灵敏度的压电传感器。在肖特基电导率下,电流呈指数变化,局部应变灵敏度高达1330,在欧姆电导率下则呈线性关系,局部应变灵敏度则低至320,并在很宽的应变范围内保持高度一致。这项研究揭示了导电机制在提高压电传感器应变传感性能方面的重要性,并为开发高稳定性、高灵敏度和多功能机电传感提供了新的方法。





