当前位置: 材料牛 » HTH官网地址 » 导读 » 最新Nature Materials : 二阶莫尔超晶格的低温冷冻纳米成像

最新Nature Materials : 二阶莫尔超晶格的低温冷冻纳米成像

最近在魔角扭曲双层石墨烯(MATBG)中观察到的强相关相集合引发了一波实验和理论发现。在这些二维异质结构中,封装层与MATBG平面的接近效应可以精确控制,并提供额外的调谐旋钮。由于这种接近响应,MATBG与相邻绝缘六方氮化硼(hBN)层的对齐对电子性能产生了巨大的影响,甚至导致MATBG中的异常霍尔相和双层石墨烯中的铁电性。二阶超晶格(SOSL)是由具有相似周期的摩尔超晶格相互干扰而形成的,导致了更大的超晶格周期。这些晶体结构是用石墨烯和六方氮化硼等二维材料设计的,特定的排列在促进相关驱动的拓扑相中起着至关重要的作用。SOSL的特征在磁输运实验中得到了识别;然而,现实空间的可视化仍然缺乏。扫描隧道光谱实验揭示了这种排列异质结构的局部成像,但只能在纳米尺寸的区域内提供可视化和洞察力。SOSL电位在中尺度上的实际空间分布尚未被报道,因此留下了许多关于石墨烯基摩尔异质结构中奇异量子相前体的悬而未决的问题,以及可能稳定这些相的结构特征的作用。此外,尽管超晶格应变总是存在于器件中,并且对超晶格势有很强的影响,导致相图的重新配置和新量子相的出现,如条纹状有序,但对超晶格应变影响的实验研究仍然有限。

近日,西班牙巴塞罗那科学技术学院Petr Stepanov 和 Frank H. L. Koppens团队等人在Nature Materials上发表了题为“Cryogenic nano-imaging of second-order moiré superlattices”的论文,该项研究通过电子输运测量和低温纳米尺度光电压测量,揭示了与六方氮化硼紧密排列的魔角扭曲双层石墨烯中的二阶超晶格(SOSL),并得到了长期周期性光电压调制的证明。研究结果表明,即使是微小的应变和扭转角度变化(小至0.01°)也能导致二阶超晶格结构的剧烈变化。这些实空间观察结果为应变和扭转角度提供了一个“放大镜”,有助于阐明扭曲双层石墨烯中空间对称性破缺的机制。

图1温度T=10K时, MATBG/ hBN 二阶超晶格的纳米级光电压测量©2024 Springer Nature

图2实验观察到的光电压特征和反转对称性破缺的栅极和温度响应©2024 Springer Nature

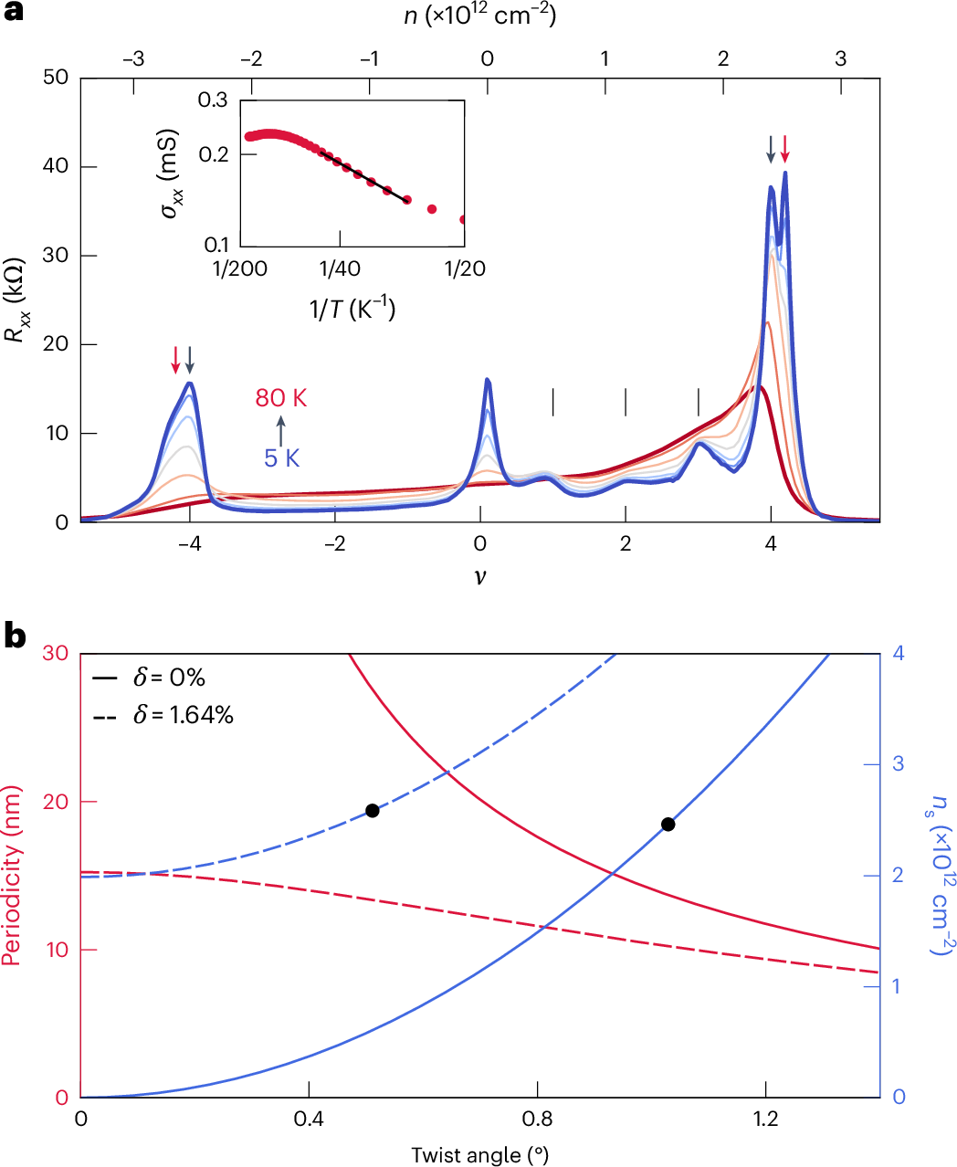
图3电子传输测量©2024 Springer Nature

图4二阶超晶格性能计算©2024 Springer Nature

图5转角和应变大小函数的二阶超晶格实空间图©2024 Springer Nature

总之,该项研究已经实现并观察到由MATBG与相邻的hBN衬底之一对齐形成的二阶超晶格。理论模型证实了这些观测结果,表明二阶超晶格结构具有最大的可调性。结合调节θhBN、θTBG或应变ϵ的可控方法,它将为探索各种不同SOSL结构(包括三角形、正方形和1D晶格)的光电特性开辟途径。特别是,后者有望探索具有可调谐晶体质量1D通道的Luttinger液态。发现MATBG和hBN的排列促进了独特量子态的出现,表现出量子反常霍尔效应。该项研究揭示了这种排列的中尺度前体。SOSLs作为一个放大镜,可以显示真实空间的应变场,为实现MATBG器件的质量控制开辟了一条途径,从而使莫尔样品的制造过程更加一致。光热电效应和二阶光响应是产生所观察到的光响应的两个主要因素。尽管光热电效应通常存在于基于石墨烯的器件中,并且类似于我们观察到的关键特征,如掺杂和温度依赖性,二阶光响应也被证明可以产生强烈的红外光响应,因为MATBG的电子平面带具有非零的Berry曲率。需要进一步的实验来揭示由于与hBN的对准和应变剖面的作用而导致的莫尔材料中反转对称性破缺的介观图。

原文链接:https://www.nature.com/articles/s41563-024-01993-y

 

 

 

未经允许不得转载:材料牛 » 最新Nature Materials : 二阶莫尔超晶格的低温冷冻纳米成像

相关文章

Baidu
map