当前位置: 材料牛 » HTH官网地址 » 导读 » 湖南大学何清课题组JACS:挑战传统认知,揭秘水分子新角色

湖南大学何清课题组JACS:挑战传统认知,揭秘水分子新角色

水被誉为生命之源,它在支撑生命的过程中扮演着不可或缺的角色。历经数百年的研究,科学家们已经揭示了水的许多特性和功能,但有关水分子的诸多深层奥秘仍然保持着神秘的面纱。水分子独特的电子结构使得其氧原子成为一类优异的电子供体,能够与多种电子受体形成有利的非共价相互作用。这些相互作用不仅在生物体内部的化学反应中至关重要,也在工业生产等人类活动中发挥着广泛作用。尽管如此,科学界对水分子中氧原子角色的长期观点较为单一,认为它仅限于作为电子供体。这种观点可能在一定程度上长期制约着人类对水结构与功能的深入探索。

近年来,非共价相互作用成为化学与材料科学领域的研究热点,其中硫键(chalcogen bonding)作为一种新兴的非共价相互作用,引起了广泛关注。硫键是一种特殊的相互作用,发生在第六主族元素(如硒、碲和硫)的σ空穴与电子供体之间,通过这种耦合形成了一种能量上有利的作用。研究发现,硫键在多个领域内展现出其不可替代的作用,包括阴离子的识别与萃取、晶体材料的构建、超分子自组装、材料化学的创新以及在药物设计和催化中的应用。尽管硫键的研究已经取得了丰富的成果,主要集中在硒、碲和硫这三种元素上,但对氧原子在硫键中作为受体的可能性仍存有争议。作为电负性最强的第六主族元素,氧原子传统上被认为不太可能参与形成硫键。然而,通过密度泛函理论(DFT)的计算研究,少数文献开始探讨氧原子作为硫键供体的可能性。但氧原子(特别是水分子中的氧原子)能否作为硫键供体参与形成硫键在实验上依然是悬而未决的科学难题。

最近,湖南大学何清课题组发展了一类分子机舱(Molecular cabin)体系,通过将双锂离子一水合物稳定在分子机舱内,首次直接观察到氧作为硫键供体参与形成的硫键。这项研究工作不仅证实电负性很大的氧原子也可以像其他第六主族元素(Te、Se和S)一样能够形成硫键,而且首次提出非共价极化(如阳离子极化)的主族元素也可能参与形成有利非共价相互作用。水分子中的氧原子在被阳离子高度极化的条件下可以作为电子受体或硫键供体与孤对电子或阴离子形成硫键作用。这打破了人们对水分子的传统认识边界,为深入探索水分子的功能及水的真实结构提供了新视角。这一重要研究成果以“The Missing Chalcogen Bonding Donor: Strongly Polarized Oxygen of Water”为题,发表在国际顶尖化学期刊JACS上。该研究的共同第一作者是湖南大学博士研究生张芹棚和硕士研究生罗柯,湖南大学何清教授担任唯一通讯作者。

1.(a)已报道的基于Te、Se或S的硫键示意图;(b) 水分子中氧原子作为电子供体参与形成的非共价键相互作用;(c)本工作所报道的水分子中氧原子作为电子受体的新型硫键(由绿色虚线表示)。

首先,作者通过商业可得的cyclen化合物与2,6-二(溴甲基)吡啶在Li2CO3作碱的条件下一锅反应并未得到目标biscyclen 1的笼状结构。相反,作者直接得到了biscyclen 1复合物的结构。作者通过单晶结构发现:biscyclen 1能够将Li+···H2O···Li+复合物稳定在自身空腔内(图2b-c)。其中,Li+···Owater键的距离约为1.87Å,Li+···H2O···Li+之间的键角约为156.8-160.9°,这表明水-氧之间存在较强的阳离子-偶极相互作用。另外,作者还发现N1···O1和N6···O1之间的距离分别为2.78和2.74Å,表明两个吡啶单元和水之间形成了两个氢键(图2f)。然而,在氢键的背面,其他两个N···O距离: N1′···O1和N6′···O1分别为3.20和3.18Å。作者猜想,这两个很短的N···O距离(N1′···O1和N6′···O)预示着氮氧两个原子之间可能存在着弱的硫键相互作用。

2.(a)Biscyclen 1的化学结构;2Li+·H2O@biscyclen 1的(b) 俯视图和(c) 主视图。(d)在298K下,在DMSO-d6中测试得到的2Li+·H2O@biscyclen 1的部分1H NMR氢谱;(c,d)2Li+·H2O@biscyclen 1上Li+极化水和吡啶基单元之间的相互作用的分析。在(d)中,黑色虚线表示氢键,绿色虚线表示硫键。

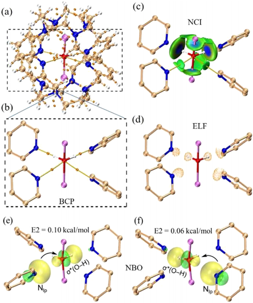
为了验证biscyclen 1中吡啶氮原子与捕获的水分子中氧原子之间是否存在硫键相互作用,作者进行了一系列理论计算研究。首先,他们以2Li+·H2O@biscyclen 1的单晶结构信息为基础,作为计算的起始坐标。通过对2Li+·H2O@biscyclen 1进行AIM分析,并绘制了相应的图表(图3a-b)。研究者计算得到了分子体系中键临界点(Bond Critical Point, BCP)的电荷密度(ρ),其值在0.0064-0.0065 a.u.的范围内,这一结果表明biscyclen 1中被极化的水分子氧原子与吡啶单元中富电子的氮原子(N1′和N6′)之间,确实存在着能量上有利的非共价相互作用。此外,正的拉普拉斯电荷密度(∇2ρ)进一步证实了这种相互作用的存在,为理解硫键在复杂分子系统中的作用提供了重要的理论依据。

3.(a)复合物2Li+·H2O@biscyclen 1的AIM分子图;(b)部分Li+极化水和2Li+·H2O@biscyclen 1中相邻四个吡啶单元在BCP(棕色点)之间的键临界点图;(c) 表示HH2O···pyridinyl氢键和OH2O···pyridinyl的NCI表面(−0.05至0.05 a.u.);(d) 2Li+·H2O@biscyclen 1的ELF分布;(e,f)2Li+·H2O@biscyclen 1上水分子中氧原子的σ*(OH)反键轨道与吡啶N σ孤对电子布居图。

1. 计算得到的 2Li+·H2O@biscyclen 1分子中部分键临界点的性质(电荷密度(ρ)与拉普拉斯电荷密度(∇2ρ)(单位:a.u.)))

接着,研究团队通过对2Li+·H2O@biscyclen 1复合物进行非共价作用分析(NCI)揭示了一项有趣的发现:在分析图3c中,被极化的水分子中氧原子与两个吡啶氮原子之间的相互作用以绿色呈现(绿色代表弱吸引作用,蓝色则代表强吸引作用),这表明在被极化的水分子氧原子与吡啶氮原子之间存在着弱的相互作用。此外,通过电子定位函数(ELF)计算,研究团队观察到两个吡啶氮原子的电子云指向水分子中氧原子的σ空穴,进一步确认了以氧原子为中心的N···Owater硫键的形成(如图3d所示)。此外,进一步的分子静电势(MEP)分析(图4a)、自然键轨道(NBO)分析(图3e-f)以及电荷密度分析(图4b-c)一致说明:在2Li+·H2O@biscyclen 1复合物中确实存在以氧原子为中心的硫键相互作用。

4.(a)2个吡啶分子与H2O·2LiBr复合物的分子静电势图;(b)2维和(c)3维变形电荷密度分布图.

最后,作者提出了一个有趣的假设,即在高浓度盐溶液中(如水合LiCl)也可能存在以水分子中氧原子为中心的硫键。为了验证这一假设,团队选择H2O·(LiCl)2簇进行了一系列的密度泛函理论(DFT)计算,包括原AIM分析、非共价相互作用分析(NCI)、电子定位函数(ELF)和自然键轨道(NBO)等。通过这些系统的理论计算,研究团队确实在LiCl水合物中观察到了以氧原子为中心的硫键,验证了他们的初始猜想。这项分析的结果揭示了一个重要的现象:在自然界中,尤其是在含盐的水合体系中,以氧原子为中心的硫键不仅存在,而且可能是一种普遍现象。这一发现不仅为我们提供了对硫键性质和作用机制更深入的理解,也强调了在复杂溶液体系中探索非共价相互作用的重要性。

未经允许不得转载:材料牛 » 湖南大学何清课题组JACS:挑战传统认知,揭秘水分子新角色

相关文章

Baidu
map