当前位置: 材料牛 » HTH官网地址 » Physical Review Materials:对高熵合金固溶体强化的精确从头计算法

Physical Review Materials:对高熵合金固溶体强化的精确从头计算法

一、导读

高熵合金(HEA)因其独特的屈服强度和延展性受到广泛的关注。其中面心立方(fcc) HEAs的高延展性可以与高强度共存。高强度主要源于位错与溶质的相互作用,位错的运动受到阻碍,产生固溶强化(SSS)。目前多元合金中位错运动的直接建模只能通过半经验方法实现,这些方法只能提供定性的图像。与此同时,位错无法进行从头算模拟,必须将其与现象学模型结合起来,将位错与合金元素相互作用的复杂问题简化为通过第一性原理计算得到的一组参数(如原子有效体积、弹性模量、层错能等)。最近,Varvenne和Curtin (VC)提出了一种不依赖于任何组分浓度假设的广义模型,专门用于处理HEA系统。VC模型说明了屈服应力强化效果不直接取决于组分的数量,也不一定由实验中经常使用的等摩尔组成来实现最大化。相反,通过最大化平均均方失配体积来实现最大屈服应力,同时最小化对弹性性能的潜在负面影响,即与主元素等摩尔比的合金相比,非等摩尔成分可以显著改善力学性能。

VC模型已成功应用于许多系统。然而,模型参数通常根据实验数据确定或估计,这限制了模型的适用性和预测能力。另一方面,这些参数可以使用密度泛函理论(DFT)从头计算,但准确性受到(半)局部交换相关(XC)泛函对合金或元素在基态的平衡体积产生的一般误差的强烈影响。这导致了合金的平均摩尔体积和组成元素的不匹配体积的总体差异,这种差异在基于三维金属铁基的HEA中影响更大。

二、成果掠影

莱奥本研究有限公司材料中心的Franco Moitzi等研究者提出了一种基于相干势近似(CPA)的计算成本低廉的方法,解决了上述基于DFT建模的局限性,该方法提供了一种非常一致的方式来描述VC模型下有效合金的特性。该方法中,通过使用元素特定的修正来调整平衡体积,同时也改善了其他平衡性质。并且该方法还考虑了磁介导和声子自由度介导的有限温度效应,这对于描述室温以上SSS的温度依赖性尤为重要。

相关研究工作以“Accurate ab initio modeling of solid solution strengthening in high entropy alloys”为题发表在国际顶级期刊Physical Review Materials上。

三、核心创新点

本文提出了一种基于相干电位近似内的从头计算的高效计算方法。为了使该方法具有预测性,对状态方程应用了交换相关修正,并考虑了热效应对磁性和平衡体积的影响。该方法与已有的固体溶液体性质实验数据吻合良好。作为具体案例,本文将该工作流程应用于一系列铁基HEA,在基于合金有效介质表示的无参数模型中研究其固溶体强化,结果揭示了合金元素之间复杂的相互作用。该方法计算效率高,可作为优化设计的学习工作的基础。

四、数据概览

图1 无序顺磁性和非磁性合金原子体积和体积模量的实验和计算比较。©2022 American Physical Society

图2 实验测量和计算、失配和平衡体积的比较。虚线表示实验平衡体积。©2022 American Physical Society

图3 NiCoCr (a), FeNiCoCr (b)和FeMnNiCoCr (c)的理论和实验中CRSS  Δτ值与温度的关系。©2022 American Physical Society

图4 (a) NiCoCr (b) FeNiCoCr和(c) FeMnNiCoCr合金各元素的失配体积与温度的关系。©2022 American Physical Society

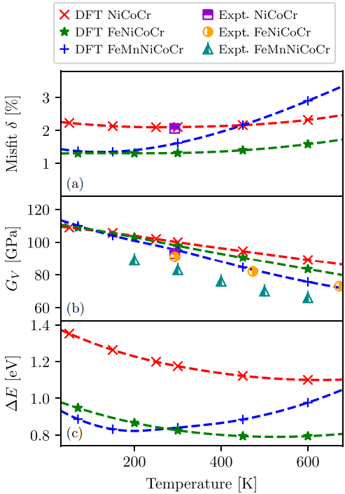
图5 (a) NiCoCr、(b) FeNiCoCr和(c) FeMnNiCoCr中理论和实验得出的VC模型主要参数与温度的关系。©2022 American Physical Society

五、成果启示

研究证明了使用DFT和CPA相结合的方法可以相当可靠地描述像临界分辨剪应力这样复杂的合金性能。该方法的关键在于使用元素特定的XC压力校正获得了平衡体积的准确值。平衡体积的改进也使弹性常数、磁矩等其它平衡性质的结果更加精确。此外,该方法考虑了声子和磁介导的温度效应,所以能够预测合金在有限温度下的行为。该文章用一系列合金的实验数据验证了计算方法,作者认为如果磁性的特征表述得到了改进,该模型可以与现有的三维金属合金实验数据结合使用。

原文详情:https://doi.org/10.1103/PhysRevMaterials.6.103602

本文由张熙熙供稿。

 

 

 

未经允许不得转载:材料牛 » Physical Review Materials:对高熵合金固溶体强化的精确从头计算法

相关文章

Baidu
map