当前位置: 材料牛 » HTH官网地址 » 导读 » 浙大肖丰收团队Nature Catalysis:新工艺,更高效地将CO2变废为宝!

浙大肖丰收团队Nature Catalysis:新工艺,更高效地将CO2变废为宝!

一、导读

       我国南海是世界上四大海洋油气聚集中心之一,有丰富的天然气、石油等资源,它们的高效利用对于我国的能源结构调整和国家能源安全具有重要的意义。常规的天然气主要成分为甲烷,还含有一定量的二氧化碳,因此需要对天然气进行脱碳处理,将二氧化碳等气体分离出去后再对其进行使用。但是,我国周围海域部分油气田中天然气的CO2含量超过50%,有的甚至高达75%。在传统的利用过程中,需要将CO2分离排出以得高含量的甲烷。以我国南海莺歌海盆地东方1-1气田为例,大概每年要排放70万吨CO2。因此开发对富碳天然气中CO2的直接高值利用新路径意义重大。目前利用富碳天然气中甲烷转化二氧化碳的最常见的路径是传统干重整反应,其甲烷可以转化相同摩尔量的二氧化碳。对于含有限量甲烷组分的富碳天然气,期望可以利用有限的甲烷以还原更多的CO2,但是其中的逆水煤气反应受热力学平衡限制难以直接发生。

 

二、成果掠影

浙江大学肖丰收团队基于沸石分子筛封装金属策略,采用镍纳米颗粒(Ni nanoparticles)作为催化材料活性中心,将其封装于硅铝MFI分子筛晶体内部(Ni@HZSM-5),并进一步调控沸石分子筛的孔道环境,从而加强微孔分子筛的氢溢流效应以保持镍纳米颗粒周围存在高密度的活性氢物种,这将有利于将更多CO2还原为CO并抑制不必要的水煤气变换副反应。在富二氧化碳气氛中,该催化材料上的甲烷对CO2还原能力可达到2.9(1 mol甲烷还原2.9倍当量的CO2),这一数值优于目前报道过的最先进的super-DRM过程。在该催化材料上CO收率可达3.9 molCO molCH4-1,并且可以进行长时间连续反应,相比起前人开发的super-DRM过程具有一定的优势。有望实现富二氧化碳天然气的直接转化利用。

相关研究工作以“Enhanced CO2 utilization in dry reforming of methane achieved through nickel-mediated hydrogen spillover in zeolite crystals”为题发表在国际顶级期刊《Nature Catalysis》上。

三、核心创新

该研究将氢溢流效应应用到富二氧化碳条件下的干重整反应体系中,核心是将Ni纳米颗粒封装在ZSM-5分子筛内部并进一步调控ZSM-5分子筛微孔环境,以此强化反应中的氢溢流,从而提高反应的甲烷还原性。Ni@HZSM-5上CO2之所以能够继续与产物H2反应,很可能是通过加速氢的反应和转移(即氢溢流效应),从而使活性位点周围反应平衡发生移动,进而使更多CO2被加氢还原为CO,这实现了CO2利用最大化,为控制CO2排放与碳资源转化提供一种新思路。

 

 

四、数据概览

1 Ni@HZSM-5的结构表征 © 2022 The Authors

Ni@HZSM-5样品的(a) 模型,(b) STEM照片,(c) TEM照片,(d) 三维TEM照片,(e) Ni元素EDS面扫谱图。

2 催化数据 © 2022 The Authors

(a) 相同反应条件下不同催化材料的CH4反应速率、CO生成速率和甲烷还原性。(b) 在相似的甲烷转化率下,不同催化材料的CH4反应速率、CO生成速率和甲烷还原性。(c) Ni@HZSM-5催化材料在50小时在线反应过程中CH4和CO2转化率的变化趋势。

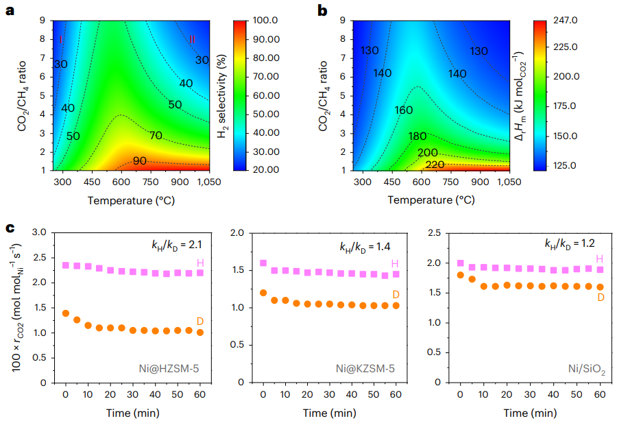
3 平衡数据和动力学研究 © 2022 The Authors

(a) 平衡时氢气选择性与反应温度和进料气中CO2/CH4比例的函数关系。(b) DrH (kJ/molCO2)与反应温度和进料气中CO2/CH4比例的函数关系。(c) 在不同催化材料上,用H2或D2做逆水煤气反应时反应速率随时间的变化。

 

五、成果启示

该研究将氢溢流效应应用到富二氧化碳条件下的干重整反应体系中,实现了CO2利用最大化,为控制CO2排放与碳资源转化提供一种新思路。

 

原文详情:https://www.nature.com/articles/s41929-022-00870-8

 

本文由雾起供稿。

未经允许不得转载:材料牛 » 浙大肖丰收团队Nature Catalysis:新工艺,更高效地将CO2变废为宝!

相关文章

Baidu
map