当前位置: 材料牛 » HTH官网地址 » 导读 » 北大Nat. Commun.:实现高性能n型有机电化学晶体管转换!

北大Nat. Commun.:实现高性能n型有机电化学晶体管转换!

一、【导读】

有机电化学晶体管(OECTs)在神经接口器件、生物化学传感器和神经形态计算等领域有着广泛的应用,引起了人们的广泛关注。各种p型聚合物已被开发用于高性能OECTs,其性能指标μC*超过了200 F cm-1 V-1 s-1。p型聚合物响应速度快,τonoff小于1/0.1 ms,有利于实时高速传感应用。为了构建互补的逻辑电路,实现高灵敏度和多器件功能,需要具有相当性能的n型OECTs。遗憾的是,与p型OECTs材料相比,n型OECTs材料在数量和器件性能上都远远落后,μC*通常小于1 F cm-1 V-1 s-1,τonoff也超过了10 ms。

二、【成果掠影】

近日,北京大学雷霆研究员团队研究表明,设计掺杂态对n型OECT聚合物更为关键。通过平衡供体部分的更多电荷,研究人员可以有效地将p型聚合物转换为高性能n型材料。基于这一原理,聚合物P(gTDPP2FT)表现出创纪录的高n型OECT性能,μC*为54.8  F cm-1 V-1 s-1,迁移率为0.35 cm2 V-1 s-1,响应速度τonoff为1.75/0.15 ms。计算和比较研究表明,这种转化主要是由于电荷更均匀、负极化子稳定、构象增强以及负电荷状态下的主链平面性。该研究工作强调了聚合物“掺杂态工程”理解和关键作用。该论文以题为“Switching p-type to high-performance n-type organic electrochemical transistors via doped state engineering”发表在知名期刊Nature Communications上。

三、【核心创新点】

通过聚合物“掺杂态工程”,成功地将p型聚合物转换为高性能n型材料,得到的聚合物P(gTDPP2FT)表现出创纪录的高n型OECT性能,μC*为54.8  F cm-1 V-1 s-1,迁移率为0.35 cm2 V-1 s-1,响应速度τonoff为1.75/0.15 ms。

四、【数据概览】

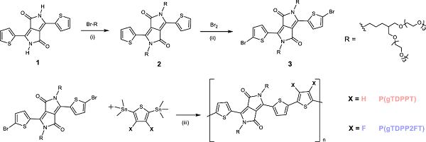
图一、聚合物P(gTDPPT) and P(gTDPP2FT)的合成路线图 © 2022 Springer Nature

 

图二、两种聚合物的光电性能 © 2022 Springer Nature

(a-b)P(gTDPPT)和P(gTDPP2FT)在氯苯溶液、薄膜和玻璃上退火膜(80℃,10分钟)的归一化紫外-可见光-近红外吸收光谱。

(c)中性和负电荷状态下P(gTDPPT)和P(gTDPP2FT)单体二面角的PES扫描对比。

(d)优化了单体的主链结构、键长和二面角。

(e-f)P(gTDPPT)和P(TDPP2FT)在0.1 M NaCl水溶液中在ITO玻璃上的电化学吸收光谱

图三、P(gTDPPT)P(gTDPP2FT)OECT器件表征 © 2022 Springer Nature

(a-d)P(gTDPPT)和P(gTDPP2FT)的传输性能(a,b)以及输出性能(c,d)。

(e-f)P(gTDPPT)和P(gTDPP2FT)的瞬态开/关曲线。

(g)基于P(gTDPPT)和P(gTDPP2FT)互补逆变器的电压传输特性和增益。

(h-i)P(gTDPP2FT)的μC*和μ、τon和μ值与其他n型OECT材料的对比。

图四、分子堆积和形态表征 © 2022 Springer Nature

(a-b)P(gTDPPT)和P(gTDPP2FT)的二维GIWAXS图案。

(c-d)P(gTDPPT)和P(gTDPP2FT)的GIWAXS图案的相应线切割。

(e-f)P(gTDPPT)和P(gTDPP2FT)的AFM高度图像。

图五、掺杂态工程 © 2022 Springer Nature

(a)通过P(gTDPP2FT)的CV和μC*测量的LUMO能级与几个报道的n型OECT材料的LUMO能级的比较。

(b)参考聚合物P(gPyDPPT)的化学结构式。

(c)比较由CV测量的HOMO/LUMO能级以及中性态和负电荷态之间的能量差。

(d-f)三种聚合物正负电荷三聚体的电荷分布比较。

(g-i)T/D碎片和二面体数之间的二面角分布。

五、【成果启示】

综上所述,研究人员提出了一种“掺杂态工程”策略来设计n型OECT聚合物,并有效地将典型的p型OECT聚合物转换为高性能的n型OECT聚合物。研究表明,除了较低的LUMO能级外,电荷传输类型的开关机制主要是由于n掺杂后负电荷分布更加均匀、骨架平面度增强、构象稳定性更好以及负极化子更加稳定。这些特征使聚合物P(gTDPP2FT) 表现出纯n型电荷传输行为,具有最高的电子迁移率为0.35 cm2 V-1 s-1,最高的μC*值为54.8 F cm-1 V-1 s-1,响应速度为τonoff = 1.75/0.15 ms。本研究揭示了带电态和中性态之间电子性质的显著差异,并强调了未来高性能OECT材料设计的“掺杂态工程”策略。

文献链接:Switching p-type to high-performance n-type organic electrochemical transistors via doped state engineering ( Nat. Commun. 2022, DOI: 10.1038/s41467-022-33553-w)

未经允许不得转载:材料牛 » 北大Nat. Commun.:实现高性能n型有机电化学晶体管转换!

相关文章

Baidu
map