当前位置: 材料牛 » HTH官网地址 » 导读 » 天津大学邹吉军&潘伦Nature Energy:具有Pt-Fe对位点的Pt/Fe2O3作为超低Pt氧还原催化剂

天津大学邹吉军&潘伦Nature Energy:具有Pt-Fe对位点的Pt/Fe2O3作为超低Pt氧还原催化剂

【引言】

Pt是燃料电池中催化氧还原反应(ORR)最活跃的元素,但其高昂的成本可能限制其广泛应用,因此Pt的原子经济性需要提高,既需要减少Pt的使用量,又需要提高Pt的活性。合金化策略可以降低Pt的用量,提高Pt基催化剂的活性,但Pt的利用率仍然较低将Pt纳米颗粒缩减为单原子是一种有前途的方法,可以最大限度地提高Pt的利用效率。不幸的是,大多数单位点Pt原子是由负电元素(如 N、P、S、O)支撑和配位的,在O2还原成H2O中不活跃,其中主要产物是H2O2,由于O2吸附和解离动力学迟缓。这是因为Pt中心电荷密度较低,且dz2轨道几乎为空,与O2分子产生不利的电荷相互作用,从而抑制了O2解离,产生了不需要的H2O2。虽然碳基材料上的单位点Pt原子很少显示出对四电子ORR具有活性,但其性能与商用Pt的性能仍有很大的距离。因此,赋予单位点Pt高效ORR活性的关键是填补其原有的空轨道,以加速O2的吸附和离解动力学。一种调整单位点Pt的dz2轨道填充的方法是向Pt的dz2轨道注入电荷。考虑到α-Fe2O3中的高自旋Fe3+具有完全占据的eg(dz2,dx2-y2)轨道,且电负性比Pt低,构建Pt-Fe对可能产生Fe-dz2向Pt-ddz2的电子转移,从而使Pt-dz2轨道注入活性电荷。电子转移也有望产生具有部分占据eg轨道的中自旋态铁,这已被证明对O2的吸附具有活性。晶面的选择对在α-Fe2O3表面构建Pt-Fe对至关重要,这就要求大量的低配位Fe3+被暴露。

【成果简介】

近日,在天津大学邹吉军教授潘伦教授韩国首尔大学Jongwoo Lim教授等人带领下,将Pt负载到α-Fe2O3上,构建了具有分散的Pt-Fe对位点的高活性和稳定的催化剂。团队提出,Pt-Fe对位点在强电子耦合作用下占据了部分轨道,能够协同吸附O2并离解O=O键,而OH*可以从Pt位点解吸。在碱性条件下,该催化剂的起始电位和半波电位分别为1.15V和1.05V(vs. RHE),在0.95V时质量活性为14.9A mg-1Pt,在50,000次循环后活性衰减可忽略不计。在锌空气电池和H2-O2燃料电池中,就比能量密度和Pt利用效率而言,它还显示出比20% Pt/C更好的性能。该成果以题为Pt/Fe2O3 with PtFe pair sites as a catalyst for oxygen reduction with ultralow Pt loading发表在了Nature Energy上。

【图文导读】

图1 Pt1-Fe/Fe2O3(012) 中的单点Pt-Fe对

a,合成的 Pt1-Fe/Fe2O3(012)的HRTEM图像。

b,像差校正后的Pt1-Fe/Fe2O3(012)的HAADF-STEM图像,用红色虚线圈标记的单位点Pt。

c,Pt1-Fe/Fe2O3(012)的元素分布。绿色:Fe; 红色:O2;黄色:Pt。

d,EXAFS的 k3加权傅立叶变换光谱。

e,Pt L3边的归一化XANES光谱。

f,Pt 4f的XPS光谱。

图2 单位点 Pt-Fe 对的电子结构

a,差分电荷密度(青色和黄色分别代表电荷耗尽和积累;密度差等值面的截止值为0.04 e Å-3)。

b,总Pt d轨道的投影态密度(PDOS)。

c,Pt d轨道的详细PDOS。

d,Pt-Fe轨道结构的顶部和侧视图。

e,O2活化的Pt-Fe电子耦合效应示意图。

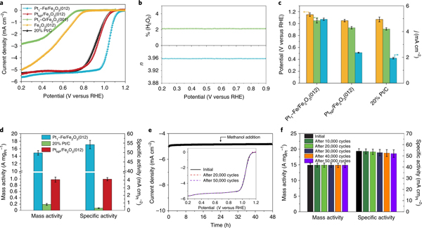
图3 在 0.1 M KOH 溶液中的ORR反应活性

a,扫描速率为5 mV s-1,转速为 1,600 r.p.m时的ORR反应极化曲线。

b,通过 RRDE 测试确定的 Pt1–Fe/Fe2O3(012) 的电子转移数(n)和H2O2选择性。

c,起始电位(黄色)、半波电位(绿色)和0.95 V vs.RHE处(蓝色)的电流密度的比较。

d,0.95 V vs.RHE下的质量活度和比活度的比较。

e,当加入10 vol%甲醇时,在1600 r.p.m.时,在0.90 V vs.RHE下获得的计时电流响应。插图显示了Pt1-Fe/Fe2O3(012) 在20000和50000循环伏安循环前后的ORR极化曲线。

f,Pt1-Fe /Fe2O3(012)在循环伏安法循环前后的质量和比活度变化。

图4 锌-空气电池和 H2-O2 燃料电池性能

a、b,锌-空气电池的极化和功率密度曲线(电池电压代表相对于锌的电位)(a)和比容量(b)。

c,d,AEMFC的极化和功率密度曲线 (c) 和稳定性测试 (d)。

图5 不同外加电位下的XPS

a-d,Pt1-Fe/Fe2O3(012) (a,b) 和 Pt1-O/Fe2O3(001) (c,d) 在0.1 M KOH饱和O2的电催化ORR下的XPS。

6 提出的ORR机理

a,ORR的吉布斯自由能图。

b,提出的单位点Pt和Pt-Fe对的ORR机制(紫色:Fe;红色:O;深蓝色:Pt;白色:H)。

c,不同催化剂上的理论计算和实验测量的起始电位与RHE的比较。

d,四电子(4e)和两电子(2e)转移ORRs(ΔGH2O-ΔGH2O2)的电位决定步骤的理论反应自由能之差。

 小结

综上所述,通过在α-Fe2O3(012)晶面上构建分散的Pt-Fe对,提出了一种克服单位点Pt在ORR中的弱点的方法。由于Pt与Fe之间的电子耦合,该双位点催化剂具有部分占据的轨道,表现出优异的ORR性能,起始电位和半波电位分别为1.15 V和1.05 V(vs. RHE),在碱性溶液中的质量活度为14.9 A mg1Pt(0.95V)。它具有优异的稳定性,在50,000次次循环后活性衰减可以忽略不计,并且从比能量密度和Pt利用效率方面来看,在锌空气电池和H2-O2燃料电池中显示出比20% Pt/C更好的性能。结果表明,单位点Pt-Fe对通过侧吸附模式协同吸附O2,解离O=O键,而关键中间体OH*能在Pt位点上能量解吸。这项工作为开发用于能量存储和转换装置的超低Pt负载的高效电催化剂开辟了一条道路。

文献链接:Pt/Fe2O3 with PtFe pair sites as a catalyst for oxygen reduction with ultralow Pt loading(Nature Energy, 2021, DOI: 10.1038/s41560-021-00826-5)

本文由木文韬翻译,材料牛整理编辑。

欢迎大家到材料人宣传HTH官网地址 成果并对文献进行深入解读,投稿邮箱tougao@cailiaoren.com

未经允许不得转载:材料牛 » 天津大学邹吉军&潘伦Nature Energy:具有Pt-Fe对位点的Pt/Fe2O3作为超低Pt氧还原催化剂

相关文章

Baidu
map