当前位置: 材料牛 » HTH官网地址 » 综述 » 德国波鸿鲁尔大学Chem. Rev.:纳米狭缝中的受限水的特征

德国波鸿鲁尔大学Chem. Rev.:纳米狭缝中的受限水的特征

【成果简介】

近日,德国波鸿鲁尔大学Daniel Muñoz-SantiburcioDaniel Muñoz-Santiburcio(共同通讯作者)等人对湿化学领域的提出了最新见解,即水在机械刚性和化学惰性的平面狭缝孔中的特征。综述了限制条件对纳米承压水中氢键、离子扩散、电荷缺陷迁移等方面的影响。另外,根据受限的水膜的各向异性极化波动及其对化学反应的影响,对局部介电特性进行了量化。这项工作总结了将湿化学扩展到极端分子限制条件。相关成果以Confinement-Controlled Aqueous Chemistry within Nanometric Slit Pores”发表在Chemical Reviews上。

1、亚纳米狭缝孔装置

最近,在合成纳米级结构方面的已经取得了飞速的进展,例如:石墨烯和氧化石墨烯(GO)片、碳纳米管(CNT)、金属有机骨架(MOF)或自组装配位笼等。因此,水和其他溶剂的受控纳米尺寸容器成为可能,从而开辟了新领域,即纳米流体以及在化学过程中可称为“纳米受限化学”的领域。

1 石墨烯的纳米毛细管装置

(a)石墨烯的纳米毛细管装置的示意图;

(b,c)SEM图像;

(d,e)不同设计的HAADF图像。

2 MoS2晶体和单层构建的纳米通道

3 在狭缝内介电成像的实验装置

(a-c)石墨和六方氮化硼的纳米流体装置的示意图;

(d-g)不同高度h的承压水薄片的设备的断层图像;

(h-j)为(d-g)的相应扑拓图。

4 石墨烯狭缝内纳米约束水的剪切粘度是石墨烯与石墨烯夹层距离h的函数

2、纳米限制对水的影响

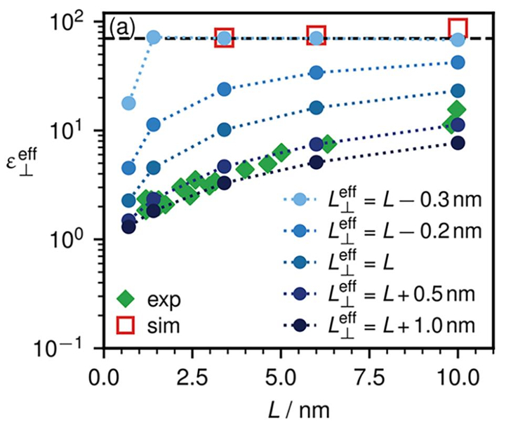
限制水的化学和物理性质的另特点是介电介质的行为,与疏水性或亲水性壁相邻的介电张量分布与平面或圆柱体界面平行的分量。平面/圆柱界面处的介电张量的垂直/径向分量具有明显不同的振荡行为。尽管原子计算机模拟展现了许多特征,但是最近才可能进行低至1 nm纳米限制的实验。使用(图3)装置,将水薄片的厚度减小至~1 nm时,纳米约束水的有效垂直介电响应显着降低,这为工业过程中调节水作为溶剂的性能的可能性。

5 纳米流体装置的应用

(a)测量水通过单原子高缝隙孔隙的渗透和电导率的纳米流体装置的示意图;

(b)狭缝孔中建立的分子薄水单层的分子动力学模拟示意图。

3、纳米约束水与界面水

实验和模拟证明界面水和承压水的结构和动力学特性与均质散装水不同。但是,对液态水的性质变化,尤其在缝隙孔隙中且层间距离仅为约10Å的研究仍不多。其中,~1 nm的层间距离的纳米限制极限被认为是纳米流体领域的下限。根据IUPAC金书的建议,“纳米薄膜”的横向尺寸被认为在0.1–100 nm内,但是0.1 nm = 1Å大约是水分子的O–H键长。使用层状材料的纳米结构器件,提供了实验方向,限制了层间距离仅为1 nm的范围,打开了单层和双层水及水溶液的实验大门。

6 XSSMLXL狭缝孔的水质量密度分布图

7 在石墨烯片层中游离的半球形和半圆柱形封装的水

4、约束对电荷缺陷迁移的影响

了解和控制封闭流体中离子的溶剂化、扩散和电导率是值得研究的课题。水即在自离解产物,过量的H+(aq)和OH(aq)的性质和不同溶剂化层值得研究。这与不同的Grotthuss型扩散机制相关。不仅涉及电荷缺陷的第一个溶剂化壳,还涉及第二个溶剂化壳,由于沿着H键的一系列局部质子转移,这些溶剂化壳容易扩散,导致电荷缺陷迁移。

AIMD可以模拟高压和高温条件下(≈200 bar和500 K),层状iron–sulfur mineral mackinawite的缝隙中水。理想的晶体由一堆微弱相互作用的、平面的和刚性的FeS片组成,其(001)面是化学和电惰性的,因此不形成氢键与水分子、H+(aq)或OH(aq)。这为化学反应的提供封闭环境,将其与质子迁移过程耦合,当在狭缝孔的相对两端存在pH梯度时建立质子迁移过程。这些研究高温和高压条件下的纳米限制效应提供了强大的动力。

8 纳米约束水单层的典型装置图

9 AIMD模拟中充满水的石墨烷双层模型设置

10 纳米流体装置的实验原理图

5、纳米受限与界面水

纳米密闭水的特征之一是其独特的介电特性,这种特性对于本体溶液中的应用极为重要。作为非均质各向异性介质的水不能使用简单的标量介电常数εbulk来表征。必须根据边界条件,考虑介电张量及其相对于约束壁的距离依赖性。尽管如此,当研究受限或界面系统时,“局部介电常数”被广泛使用。但是,水在界面处和处于受限状态下的介电响应的张量性质不仅是技术上的问题。实际上,除了非线性介电效应外,这种张量也至关重要。总体而言,解密受限水溶液的局部介电特性是一个复杂的问题。

11 不同硬壁和软壁材料制成的充满水的多纳米宽缝隙孔模拟分析

12 跨石墨烯狭缝孔的平行介电剖面和水质量密度剖面

13 狭缝孔纳米器件内部的承压水的平面外介电常数ε与水膜厚度h的函数关系

14 介电盒模型应用于MD

6约束控制下的水自解离

液态水中最重要和最简单的反应之一是H2O自质子分解,即水的自解离产生分离的溶剂化质子H+(aq)和氢氧化物OH(aq)。通常这类电物质会稳定在高介电常数的均质散装液体中。该反应可作为探查纳米狭缝孔的极端限制,研究产生电荷的H键敏感反应的基准。

15 FeS板中纳米受限水中的H+OH电荷缺陷

16 封闭在(6,6CNT中的水的示意图

7、封闭控制的化学反应性

在均匀体相中,纳米结构可能存在截然不同的物理化学潜力已经得到了广泛认可,尤其是在水流、相行为、离子迁移和离子分离等方面。但是,当涉及到化学反应性或选择性时,纳米约束作用需要考虑反应物-表面相互作用。纳米约束现象与酶催化或非均相催化现象相近。然而,由于溶剂的纳米受限水的特殊性,纳米限制中的化学反应性可能会发生变化。研究狭缝孔限制在1 nm或更小水平的水溶液中,发生的共价化学反应的影响还不明确。在计算机上模拟此类反应条件需要非常复杂的建模和设置。在这种极端纳米受限的水(NCW)中观察到的结果;与在相同的升高的温度和压力条件下,进行相同反应获得的结果;以及大体积水中的结果的比较,揭示了纳米约束对化学过程的显着影响。可以预期,使用夹层间距约为10Å的机械刚性和化学惰性的马基钠钙石禁闭结构所获得的结论,可以扩展到分层材料(例如,石墨、石墨烯、hBN和MoS2)制备的其他狭缝孔内的双层水,层状金属氧化物或MXenes(101)。

17 甘氨酸和N-硫代羧基甘氨酸3在水中的平衡的机理及不同条件下的相应自由能图

18 在纳米密闭水中的甘氨酸上添加羰基硫的示意图及相应自由能分布

19 Retro-Diels-Alder反应及石墨烯狭缝孔内的纳米约束水示意图

8、结论及展望

在~1 nm的硬壁狭缝孔内,湿化学法与均质散装溶液、界面水层、宽得多(约1 nm)的封闭水内提供的溶剂明显不同。根据目前对水的认识,层间距离介于7Å的狭缝孔内,在单层和双层水层中会产生特定的影响。在这种极度受限的水溶液中产生了许多与表面化学性质无关的特性。如果没有缺陷,则经历质子化,建立氢键相互作用或盐桥。但是超薄单层和双层薄层中的水明显不同(包括:在单层和双层水中的独特的H键、各向异性介电响应,以及结合由平行限制和硬质表面相互作用产生的独特化学特征)。更重要的是,极薄的水具有截然不同的局部介电特性。然而,目前仍然缺乏理论阐明这些特性与极端平面约束制度中的自由能变化之间的定量关系。因此,定量筛选的离子之间的库仑相互作用及其溶剂化自由能,还有很多工作要做。

尽管纳米流体装置取得了重大进展,但是针对狭缝孔中高各向异性介电张量的平行分量的实验工作仍待进行。目前还不清楚介观观点是否是揭示溶剂化、电荷屏蔽和在单双层水的极端极限下的化学反应。

本文阐明了纳米封闭水的物理特性外,也为理论液体物理学领域的工作提供了基础,指出了单层和双层水互不相同的证据。特别是,指出已参数化整体性质的水模型的表面力场不适用极限情况。在未来的工作中,还有更多此类问题需要解决。另外,在窄缝隙孔中观察到的,由禁闭引起的传输特性、介电响应、溶剂化壳、化学反应性和反应机理的变化也应转变为由禁闭控制的化学反应。根据此概念,应将限制条件作为设计原则,提高反应性和定制化学转化的选择性。因此,在极限限制的范围内,实验和模拟将共同探索限制化学和溶剂化科学。

文献链接Confinement-Controlled Aqueous Chemistry within Nanometric Slit Pores(Chemical Reviews DOI: 10.1021/acs.chemrev.0c01292)。

投稿以及内容合作可加编辑微信:cailiaokefu,我们会邀请各位老师加入专家群。

欢迎大家到材料人宣传HTH官网地址 成果并对文献进行深入解读,投稿邮箱tougao@cailiaoren.com。本文由材料人Materials_1219供稿,材料牛整理编辑。

未经允许不得转载:材料牛 » 德国波鸿鲁尔大学Chem. Rev.:纳米狭缝中的受限水的特征

相关文章

Baidu
map