【引言】
半导体p–n异质结是各种光电器件的重要组成部分,也是研究器件物理的重要平台,尽管到目前为止,大多数p–n异质结都基于无机半导体。以有机光伏(OPV)器件为例,在p–n异质结界面处发生了一些关键的物理过程,例如激子解离,这些物理过程基本上控制着OPV的效率。但是,有关这些过程的基本物理机制仍在争论中。这是因为在OPV中,激子扩散长度通常约为5–20 nm,而p–n结的厚度通常高于该长度。因此,激子扩散范围之外的半导体层为探索其下面的激子相关工艺带来了挑战。另一方面,当PN结的厚度减小到分子水平时,由光子吸收产生的激子将以低损耗直接存在于PN结的界面,然后可能完全分解成自由空穴和电子。通过实验验证,当微相畴的尺寸减小时,可以获得更高的器件性能,并且优化的微相畴的尺寸可能会因所使用的材料而异。然而,体异质结不可避免地包括结构紊乱和具有界面缺陷的复杂的互穿晶界,这为阐明OPV研究中的激子物理特性带来了困难。因此,在单分子层厚度极限处获得原子定义明确的界面而获得高度有序的晶体p–n异质结,是研究激子物理的一种有效策略,不受激子扩散长度的限制,也是一种揭示激子基本机理的有效方法。由单层分子晶体(MMC)组成的有机p–n结结合了MMC和晶体异质结的优点,它们不仅在分子晶体中具有固有的高效载流子传输能力,而且具有原子清晰的结界面的双层厚度,提供了完美的结合解决上述挑战。但是,这种薄的单晶PN异质结的直接生长仍然是一个巨大的挑战,这极大地限制了它们在有机光电器件中的应用。
【成果简介】
新兴的高性能有机光伏器件的基础是块状异质结,通常包含结构紊乱和具有界面缺陷的双连续互穿晶界。了解有机异质结的性质非常需要具有良好定义的界面和量身定制的层厚度的高度有序的晶体有机p–n异质结。然而,这种晶体有机PN异质结的直接生长仍然是一个巨大的挑战。中科院江浪、易院平&华中HTH官网地址 大学王帅报道了一种基于p–n异质结制造单层分子晶体的设计原理。在有机场效应晶体管中,实现了与单组分单层分子晶体器件相当的平衡双极性电荷传输,证明了异质结中的高质量界面。在基于p–n结的有机太阳能电池器件中,该器件展现出高达1.04 V的栅极可调开路电压,这在有机单晶光伏电池中是创纪录的高值。该成果以题为“Sub-5 nm single crystalline organic p–n heterojunctions”发表在Nat. Commun.上。
【图文导读】
图1.2,6-双(4-己基苯基)蒽(C6DPA)单层分子晶体(MMC)和双分子层p–n异质结的表征

(a)C6DPA MMC的分子排列,厚度约为2.7 nm (b–f)C6DPA MMC的表征 (g)双分子层p–n异质结的分子排列示意图 (h–n)基于p–n异质结的NDI-C6DPA MMC的表征
图2.C6DPA MMC的自组装过程

(a-d)C6DPA MMC的快速二次离子质谱(TOF-SIMS)图像 (e)MMC形成的分子动力学模拟
图3.MMC和双分子层PN异质结器件的电性能

(a-b)p型C6DPA和n型NDI MMC器件的传输曲线(c)具有不同分子层的C6DPA器件的移动性(d)基于NDI(n型)-C6DPA(p型)异质结的双极型器件和逆变器器件的示意图(e)p–n异质结器件的传递曲线 (f)VDD = −60 V时的逆变器特性
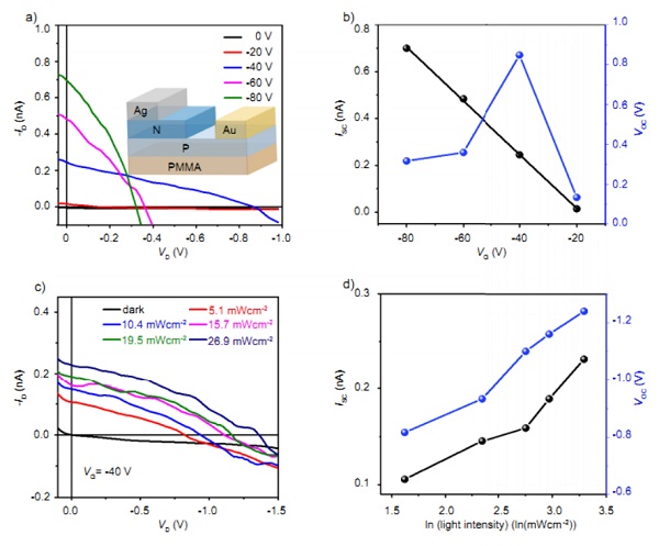
图4.双分子层NDI(n型)–C6DPA(p型)异质结器件的光伏性能

(a)在白光照射下具有不同栅极电压的器件的电流-电压特性 (c)在VG = −40 V时具有不同光强度的设备的电流-电压特性 (b,d)短路电流(Isc)和开路电压(Voc)与栅极电压和光强度的关系
【小结】
文章报道了一种简单通用的方法,即二维相分离法,通过将小分子半导体与非晶态聚合物混合,可控地制备均匀,高质量和大面积的MMC。 通过这种方法,成功获得了横向尺寸大于400μm的C6DPA MMC。更重要的是,发现该方法通常适用于其他小分子半导体,例如C8BTBT,HTEB和NDI,并且可以在各种基板上执行。此外,作者报道了构建具有原子清洁和尖锐界面的超薄垂直有机晶体p–n结的一步式生长策略,并展示了它们在原型光伏器件中的应用。这项研究不仅为制造基于MMC的p–n异质结提供了一种简单而有效的解决方案,而且为在单层限制下实现下一代光电器件提供了一种有前途的策略。
文献链接:Sub-5 nm single crystalline organic p-n heterojunctions. Nat. Commun., 2021, DOI:10.1038/s41467-021-23066-3
本文由材料人学术组tt供稿,材料牛整理编辑。





