【引言】
自旋电子学技术通过调控与操纵电子的自旋和磁矩,实现逻辑运算、数据存储、磁性传感等功能,是新一代计算芯片、高速存储芯片以及精密磁传感器的核心技术。相比于传统的微电子器件,基于自旋电子学技术的自旋电子器件能耗更低、工作速度更快。近年来,开发自旋电子器件在更多HTH官网地址 领域的应用作为一个重要研究方向在国际上备受关注。而氢能作为纯绿色无污染的新能源拥有广阔的应用前景,已被世界上许多国家纳入能源储备战略计划。但氢气爆炸极限很低,采用高灵敏度氢气检测器监测氢气泄漏至关重要。
【成果简介】
近日,深圳技术大学安红雨副教授(第一作者和共同通讯作者)等人通过制备钯/铁磁体异质结器件,采用铁磁共振检测方法,首次揭示了钯吸氢对器件中自旋矩产生效率的影响。研究发现,在放置异质结器件的密闭容器内交替通入氢气和氩气可以有效控制自旋矩的产生效率。相关成果以题为“Spin-Torque Manipulation for Hydrogen Sensing”发表在Advanced Functional Materials上。
图一 用自旋矩-铁磁共振检测方法检测氢气对自旋矩效率的影响

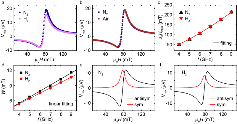
图二 用自旋矩-铁磁共振检测方法检测氢气对自旋矩效率影响

a.通N2或H2时铁磁共振曲线变化;b. 通N2或空气时铁磁共振曲线变化;c. 铁磁共振磁场变化;d. 铁磁共振曲线线宽变化;e. 通N2时,铁磁共振曲线中对称和反对称成分比较;f. 通H2时,铁磁共振曲线中对称和反对称成分比较。
图三 对异质结器件进行多次反复测试。

a.钯层的电阻变化;b. 铁磁共振曲线线宽变化;c. 对称成分和反对称成分的比值变化;d. 自旋矩产生效率变化。
图四 研究钯层厚度变化的影响

a.Pd层为3 nm时,铁磁共振曲线变化;b. Pd层为8 nm时,铁磁共振曲线变化;c. 自旋矩效率变化与电阻变化的比较;d. 将Pd层替换成Pt层时,铁磁共振曲线变化。
【小结】
该工作通过制备钯/铁磁体异质结器件,采用自旋矩-铁磁共振检测方法,揭示了钯吸氢对自旋电子器件中自旋矩产生效率的影响,并首次研究了新型自旋电子器件在氢气检测领域的潜在应用,为研发超高灵敏度氢气检测器件提供了理论指导。
文献链接:Spin-Torque Manipulation for Hydrogen Sensing (https://doi.org/10.1002/adfm.202002897)





