当前位置: 材料牛 » HTH官网地址 » 综述 » 中山大学刘川Adv. Funct. Mater.综述: 理解、优化和利用基于有机或有机杂化半导体的非理想晶体管

中山大学刘川Adv. Funct. Mater.综述: 理解、优化和利用基于有机或有机杂化半导体的非理想晶体管

【背景介绍】

有机电子材料有很多具有吸引力的独特性质,包括多样性的分子结构来实现可变电性能、可调的光吸收波长或发射强度,兼容多样化沉积技术和后沉积处理、低温和低成本加工条件以及可控的机械性能等等。作为基本电子器件,有机场效应晶体管(OFET)或薄膜晶体管(OTFT)可以调节电导并提供调控范围广的输出电流。在材料的基础研究方面,OFET调控载流子浓度和电导以揭示有机半导体的电荷注入和传输性质。在电子应用方面,OFET可以用于大面积电路的关键逻辑电路、放大器、显示的驱动单元,或存储或探测各种信号的多功能单元。

虽然研究人员已经报道了许多具有优良特性参数(如高迁移率)的新型OFET,但仍有几个关键和深层次的问题有待解决。比如:为何大多数基于新材料的OFET表现出非理想特性?如何利用新材料优化OFET的性能,使其成为理想的晶体管?能否控制不理想的性能,甚至利用这些特性来构建新的功能器件?

【成果简介】

最近,Adv. Funct. Mater.在线刊登了中山大学刘川教授等人撰写的基于有机或有机杂化半导体的非理想晶体管的综述。题目是“Understanding, Optimizing, and Utilizing Nonideal Transistors Based on Organic or Organic Hybrid Semiconductors”。在这篇综述中,作者首先讨论了理想和非理想OFET器件的物理性质,以理解限制半导体沟道有效迁移率、扭曲电势分布或减小漂移电场的因素。然后,作者进一步讨论了近年来在优化材料组合、器件结构和制备OFET以获得理想晶体管方面的最新进展。此外,在良好的材料和界面控制的基础上,作者还报道了利用OFET的非理想特性构建低功耗电路和集成传感器的新概念。本文第一作者是中山大学电子与信息工程学院杨滕州博士吴倩博士。

【图文解读】

1、引言

图一、综述的涉及范围

(a)理想OFET中载流子浓度n、漂移电场Ex与理想电流-电压关系的假设;

(b)有机半导体,掺杂物或添加物,介电层和电极的材料;

(c)一些非理想OFET的优化方法;

(d)利用非理想OFET进行创新应用。

2、理想和非理想OFETs

2.1、高于阈值电压的理想场效应晶体管

2.2、有机半导体的载流子迁移率

2.2.1、场漂移

图二、各种迁移率的区别与联系

(a)场漂移迁移率;

(b)单晶的能带迁移率;

(c)多晶或非晶的有效迁移率;

(d)绝缘层和电极界面对传输的影响;

(e)FET中电导求出的场效应迁移率。

2.2.2、单晶输运

图三、有机半导体的输运机制

(a)能带传输;

(b)多重陷阱-释放模型(MTR);

(c)可变范围跳跃模型(VRH);

(d)巴斯勒高斯无序模型;

(e)马库斯电荷转移模型(CT);

(f)核隧穿模型(NT);

(g-l)瞬态局域模型。

(g)通用分子晶体的晶体结构中晶格间距a和三种不同的最近邻转移积分(JaJbJc);

(h)球面上热平均值Lτ2的图由Ja 2+ Jb 2+ Jc 2定义;

(i)如图h所示,Lτ2沿切口Jb = Jc,得到了关于三个不同j值的方位角θ=arccos(Ja/J)的函数;

(j)在GER描述中,不同离域度ΔD下有效迁移率与温度的关系;

(k)不同ΔD下,迁移率与栅极电压的关系;

(l)不同半导体ΔD和ΔE的数值。

2.2.3、多晶体或非晶体中的输运

2.2.4、器件的电导

图四、OFET中的界面传输的影响

(a)半导体与绝缘层界面附近的DOS展宽;

(b)类施主态和类受主态(浅能级)对ID-VG特性的影响,包括离散和高斯分布能级态的情况;

(c)在聚合物OFET中实现的二维电荷传输;

(d)在C10-DNBDT-NW单晶OFET中的相干传输。

2.2.5、迁移率值和迁移率曲线

图五 非理想情况的转移特性和迁移率曲线

(a)非理想状态的转移特性曲线;

(b)提取的场效应迁移率µFET,平均迁移率µavg与本征迁移率µsc的区别;

(c)实验OFETs和小分子红荧烯的µFET-VG曲线和µavg-VG曲线;

(d)实验OFETs和聚合物IDTBT的µFET-VG曲线和µavg-VG曲线。

2.3、累积载流子浓度n和漂移电场Ex

2.3.1、半导体层中的电势和电场

图六、半导体层中的电势和电场(无缺陷)

(a)模拟的n型OFET结构图;

(b~d)在距离绝缘层界面0.5 nm处,TCAD计算的电位V(x)、漂移场Ex和载流子体积密度ρ与横向位置x的关系图。

图七、半导体层中的电势和电场(非理想)

(a)改变半导体层中局部电场Ex和局部电势V(x)的因素;

(b)用SKPM测量F8T2 OFETs的电势;

(c)用SKPM测量F8T2 OFETs的电势;

(d)用G-GFP测量238 K偏置栅极场效应晶体管中的电势和载流子浓度,证明了非线性n–VG关系。

2.3.2、介电层的电容Ci

图八、具有非常数Ci的介电材料

(a)离子-凝胶绝缘层PS-PEO-PS/[EMMI][TFSI]的C-f关系;

(b)多孔绝缘层的C-f关系;

(c)具有电双层(EDL)电容器和伪电容器的富缺陷电绝缘层;

(d)与EDL和伪电容有关的动态电容的形成;

(e)含各种电容(伪电容、EDL电容和体电容)的电容C-f图的定性分析与对应的等效电路图;

(f)铁电聚合物P(VDF-TrFE)的分子结构;

(g)用于二维场效应晶体管的负电容绝缘层。

2.3.3、电极层宽度W和长度L

图九、非理想沟道宽度W和长度L

(a)边缘电流示意图;

(b~c)W/L = 0.5和2时的模拟电场线;

(d)优化沟道长度L;

(e-h)影响有效沟道长度的主要方面:接触电阻、饱和状态、沟道掺杂。

2.4、低于阀值及交流偏置

3、非理想OFET的优化

3.1半导体薄膜工程

3.1.1、控制形态以减小无序度

图十、聚合物半导体结晶的动力学调控

(a)在不同温度下形成不同凝固速率的聚合物形态;

(b~d)不同结晶过程下P(NDI2OD-T2)薄膜的AFM图像;

(e)P(NDI2OD-T2)的分子结构;

(f)OFET的转移特性曲线;

(g)饱和状态下的平均电子迁移率。

图十一、单层聚合物的引导形成

(a)PffBT4T-2DT的化学结构;

(b)超薄PffBT4T-2DT薄膜的AFM图像;

(c)PffBT4T-2DT FET的饱和迁移率和开/关比与层数的关系;

(d)F4BDOPV-2T的化学结构;

(e)不同提拉速度下浸没涂布1mg mL-1溶液所成薄膜的AFM图像;

(f)单层膜或多层膜OFET中提取的电子迁移率的柱状分布图;

(g)OFET中接触电阻的比较。

图十二、有机无机杂化钙钛矿结晶的改善

(a)在270 K时,0.25、0.5和0.75 M Pb(Ac)2前体溶液制备的MAPBI3 FETs的转移特性;

(b)300 K时PEIE处理后的Au接触和PEIE的分子结构;

(c)生长在NH3I-SAM上的二维 (PEA)2SnI4钙钛矿薄膜示意图;

(d)NH3I-SAM未处理的TG/TC (PEA)2SnI4晶体管的转移特性;

(e)NH3I-SAM处理的TG/TC (PEA)2SnI4晶体管的转移特性。

3.1.2、构建多组分系统

图十三、小分子/聚合物杂化的体系

(a)三种C8-BTBT:PS比例下的薄膜结构示意图;

(b)三种混合比例下晶体管的转移特性曲线;

(c)在C8-BTBT和C8-BTBT:PSS晶体薄膜成核和生长最后阶段的POM和AFM图像;

(d)C8-BTBT和C8-BTBT: PSS晶体管的转移特性曲线(W = 1000 µm, L = 100 µm)。

图十四、小分子/聚合物/掺杂物杂化体系

(a)diF-TES-ADT、PTAA和B(C6F5)3的化学结构;

(b)基于非掺杂diF-TES-ADT:PTAA薄膜的晶体管转移特性;

(c)掺杂物B(C6F5)3的顶栅底接触diF-TES-ADT:PTAA晶体管的转移特性和相应的ID1/2与VG图;

(d)空穴迁移率(µh)与B(C6F5)3掺杂浓度的变化关系;

(e)未掺杂和B(C6F5)3(2.4mol%)掺杂的diF-TES-ADT:PTAA OFETs的接触电阻(RC)与VG的变化关系;

(f)开尔文探针和空气光发射光谱测量中未掺杂和B(C6F5)3掺杂的diF-TESADT:PTAA半导体功函数(φ)和HOMO能级。

图十五、消除缺陷和陷阱的添加物

(a)DPPTTT和NMe4I的化学结构;

(b)纯DPPTTT和DPPTTT-NMe4I在30:1摩尔比下的输出特性;

(c)IDTBT(上) 或DPPDTT OFET的电流应力稳定性对比;

(d)可提高IDTBT性能和稳定性的溶剂清单(上图),对器件稳定性和性能无明显影响的溶剂(下图);

(e)干燥退火和水汽退火的效果示意图。

图十六、钙钛矿半导体的混合掺杂

(a)(PEA)2SnI4/semi-CNT 杂化FET示意图;

(b)纯(PEA)2SnI4 FET的转移特性;

(c)CNT-杂化的(PEA)2SnI4 FET的转移特性。

3.2、接触注入工程

3.2.1、生长自组装单层膜

图十七、SAMS的有效因素

(a~b)diF-TESADT OFETs 和 PFBT分子结构图;

(c~d)金颗粒的大小对PFBT组装的影响;

(e)金沉积速率为0.5 Å s−1(VD = −40 V)时OFETs的转移特性曲线;

(f~g)平均场效应迁移率和宽度归一化接触电阻(RCW)与接触沉积速率的关系;

(h)底部接触和顶部接触DPh-DNTT OFETs的截面示意图;

(i)接触修饰物(PFBT)、栅介质(HC14-PA)和有机半导体DPh-DNTT的分子结构式;

(j~k)FETs的宽度归一化接触电阻(RCW),L范围为6至50 μm (VD=−0.1V),以及栅极介电厚度的影响;

(l)第一代和第二代嘧啶SAMs的结构;

(m)SAMs在Au上的功函数;

(n)基于SAM处理的Au电极的并五苯OFETs的输出特性;

(o)基于SAM 处理的Au电极的n型C60-OFETs的输出特性。

3.2.2、使用插入层

3.2.3、掺杂接触区域

图十八、插入层的新制造方法

(a)铜/VOx /五烯OFET (BG/TC)的示意图;

(b)VOx不同ALD循环下的器件转移特性(VD =−60 V);

(c)YFM方式提取的饱和区(VD =−60 V)器件迁移率(μFE),低场迁移率(μ0)和接触电阻(RC);

(d)Vox覆盖的Cu的功函数;

(e)DPPT-TT化学结构式及双极性OFET结构(TG/GC);

(f)空穴和电子注入的示意图;

(g)混合夹层钼电极的功函数;

(h)V2O5:Cs2CO3混合插层DPPT-TT OFETs的饱和区空穴-(μh)、电子迁移率(μe);

(i)YFM提取的接触电阻;

(j)实时观察沉积水性MoO3油墨的干燥动态;

(k)具有MoO3夹层的C8-BTBT OFETs的传输特性;

(l)n型P(NDI2OD-T2)、HEG-DT添加剂、P型DPP-T-TT、4-FM添加剂的化学结构;

(m、o)具有自生成HEG-DT中间层的n型OFETs的输出特性或具有4-FM夹层的p型OFETs的输出特性;

(n、p)在线性区,迁移率与VG的变化关系曲线;

(q)含4-FM添加剂的OFET的横截面电子显微镜成像和元素映射。

图十九、接触掺杂扩散引起的局限性

(a)PBTTT、F4-TCNQ、OTS的分子结构;

(b)使用短时间蚀刻工艺制造器件的示意图;

(c)中性掺杂剂扩散引起掺杂区拓宽的示意图;

(d)PBTTT晶体管掺杂接触附近的能带图,高亮显示接触处的能带图视图;

(e)转移曲线以及有效沟道长度的示意图;

(f)掺杂接触PBTTT晶体管的输出曲线。

3.3、栅介电层工程

3.3.1、介电层界面修饰

图二十、有机器件的性能

(a)三萜类化合物的分子结构及二维嵌套六边形三萜类化合物的结构示意图;

(b~c)用对二甲苯(diX-SR)或聚酰亚胺栅介电层制备的OFETs的转移曲线,其中红色表示有、黑色表示没有几层三氯乙烯膜;

(d)不同层数的并五苯分子在PAA上的分子取向;

(e)PAA以及PAA上的并五苯的AFM图像;

(f)20 nm并五苯OFET的典型转移曲线,器件在饱和区域的迁移率高达30.6 cm2 V−1 s−1

(g)半导体材料(Ph5T2)和介电层修饰材料:Bpph、BCB和p-6P的分子结构;

(h)不同介电层表面能与OFET迁移率的关系。

3.3.2、制备混合级介电层

图二十一

(a)柔性OFET器件的结构示意图以及PAA和PMMA的分子结构;

(b~c)单扫描或双扫描的柔性OFETs的传输特性曲线,包括PMMA介电层以及PAA介电层晶体管。;

(d)柱状图显示了p型、双极性或n型FETs中空穴和电子迁移率随栅介电层的变化;

(e)P(VDF-TrFE)/PMMA的自组装相分离;

(f)在VG = − 20 V和VD = − 5 V的恒定偏压下,三种器件的归一化电流衰减随时间的变化。

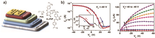
图二十二

(a)利用PVA/CL-PVP作为栅极介电层的底栅、顶接触(PEA)2SnI4 场效应晶体管的示意图以及PVA 和 CL-PVP的分子结构;

(b)室温下空气中(PEA)2SnI4 FETs的传输和输出性能。

4、非理想OFET的运用

4.1、利用肖特基接触(用于大增益逆变器)

图二十三、反相器的肖特基势垒

(a)截面结构示意图;

(b)不同沟道长度的输出曲线;

(c)本征增益;

(d)提取的肖特基势垒高度与VG作图;

(e)电压传递曲线和由此产生的反相器的电压增益。

4.2、利用本征俘获态(用于光存储器件)

图二十四、光存储晶体管的捕获效应

(a)OFETs 16×16阵列光存储器的数字图像。

(b)阵列测试设置说明:有方形和三角形的灯光照射到阵列上。

(c)阵列中单个像素的示意图。

(d~f)应用方形光程序后256个器件的源漏电流图。

(g~i)应用三角光程序后,256个器件的源漏电流图。

(j)OFETs光存储器中电荷捕获机制的示意图。

4.3、利用主动层之间的捕获效应(适用于存储及光电晶体管)

图二十五、OFET存储器的捕获效应

(a)使用(3-pyrrolinium(CdCl3)/C60双层单晶的OFET存储器的迟滞特性。

(b~d)分别是对应的写入-读取-擦除-读取(WRER)循环、耐久特性和时间稳定性测试。

(e)基于三层结构并五苯/p13/五苯的非易失性晶体管示意图。

(f)编程和擦除过程的OFETS传输曲线。

(g~h)OFET存储器的耐久性和时间稳定特性。

4.4、利用半导体介电界面上的陷阱(适用于光敏元件及突触)

图二十六、OFET突触的捕获效应

(a)一系列有机半导体和聚合物电介质的OFET结构示意图。

(b)应用OFET模拟光刺激突触行为的示意图。

(c)PLA-DNTT-OFET(VG=−20 V,Vd=−60 V)和PAN-DNTT-OFET(VG=−40 V,Vd=−60 V)暴露在输入光突触列中的输出ID信号,光的开启时间为10 ms(p=1 mW cm2),关闭时间为500 ms。

(d)PPF指数作为脉冲间隔的函数。

5、总结与展望

在这篇综述中,作者总结了基于有机或有机杂化半导体的非理想晶体管的形成原因、优化策略以及如何利用这种非理想特性构建新器件。尽管有机半导体和OFET得到了迅速的发展,但各种形式的非理想特性已被广泛观察到,限制了应用OFET构建可靠电路的最终目标。基于此,作者讨论了理想的假设及其在实际场效应晶体管中如何失效,对反应载流子输运的载流子迁移率以及决定了载流子浓度和漂移电场的沟道电势进行了重点阐述。作者认为,通过对积累和输运机制的清晰的理解,我们能够优化基于有机和有机杂化材料的FETs薄膜形貌、接触注入和界面。一方面,对非理想因素的精细控制使器件朝着理想的晶体管行为方向发展,另一方面,有意识和有目的地利用非理想特性,例如利用肖特基接触和捕获效应分别实现低功耗逻辑或存储电路。同时,随着预期获得更理想的OFET,未来可预测发展趋势是混合集成,包括有机-有机,有机-无机,以及无机电子器件的集成。最后,作者认为尽管这些工作还处于早期阶段,所构建的代表性器件也有限,但这些进展已经证明了深入理解非理想OFET在开发新应用方面具有巨大潜力。

文献链接:Understanding, Optimizing, and Utilizing Nonideal Transistors Based on Organic or Organic Hybrid SemiconductorsAdv. Funct. Mater. 2019, 1903889)

本文由我亦是行人编译整理。

欢迎大家到材料人宣传HTH官网地址 成果并对文献进行深入解读,投稿邮箱:tougao@cailiaoren.com.

投稿以及内容合作可加编辑微信:cailiaokefu.

未经允许不得转载:材料牛 » 中山大学刘川Adv. Funct. Mater.综述: 理解、优化和利用基于有机或有机杂化半导体的非理想晶体管

相关文章

Baidu
map