当前位置: 材料牛 » HTH官网地址 » 导读 » 理化所和清华大学:基于液态金属建立室温打印柔性薄膜晶体管及集成电路新方法

理化所和清华大学:基于液态金属建立室温打印柔性薄膜晶体管及集成电路新方法

引言

现代社会信息技术高速发展,一代又一代集成电路芯片不断突破,向着更高性能、更廉价的方向发展,使得电子产品在各行各业中扮演着举足轻重的作用。晶体管是电子器件中的核心元件之一,场效应晶体管是一种三端的有源固体电子器件,它可以通过改变施加于栅极的电流或电压从而达到调控源漏级之间电流电压的目的,是电路中最基本的逻辑单元之一。现如今,晶体管无处不在,Pad或其他电子产品处理器中已集成数以百万甚至数以亿计的晶体管。但是现代电子技术是建立在硅(Si)、锗(Ge)及砷化嫁(GaAs)等无机半导体材料的基础上,部分低端应用以非晶硅(a-Si)、多晶硅(p-Si)材料为基础。这些器件的制备一般采用半导体技术及光刻工艺,工艺十分复杂,制作成本昂贵,对环境要求苛刻,不适宜大面积生产。此外,传统的硅基电子缺乏柔性,无法满足日益增长的便捷和柔性的需求。柔性电子可弯曲、拉伸、折叠,且轻量化、制作成本低,在信息、能源、医疗、国防领域有着广泛的应用前景。在众多的电子加工方法中,打印电子技术在大面积、柔性化、个性化、低成本制造电子等方面具有无可比拟的优势。印刷柔性晶体管对于大规模和低成本的电子产品具有巨大的潜力。

近年来引发国际广泛重视的液态金属印刷电子学为此提供了诸多可能,新型功能材料-液态金属是在常温常压下保持液态的一类合金,具有许多常规材料不易拥有的独特属性,蕴藏着诸多以往从未被认识的新奇物理特性。当前围绕室温液态金属的基础及应用研究已成为国际热门的重大HTH官网地址 前沿,正为电子信息、高新能源、先进制造、国防军事以及生物医疗健康技术等领域的发展带来颠覆性变革,并开辟出多个十分重要的新兴方向。液态金属具有优异的导电性及稳定性,相应电子器件可以直接打印并应用于各种非常规及柔性基板上,不仅克服了传统电子器件制作工艺复杂、成本昂贵、要求苛刻、缺乏柔性等弊端,而且能有效发挥柔性器件可弯曲、拉伸、折叠,且轻量化、大面积、个性化、低成本制造电子器件等方面的优势。因此液态金属电子器件被认为是柔性全打印集成电路的最有前途及巨大潜力的候选者,必将引领和推进柔性功能器件领域的重大进展。然而,要发展真正基于液态金属的高性能柔性印刷集成电路,首先应在柔性基板上实现基于液态金属与半导体相结合的薄膜晶体管(TFT)单元器件。

成果简介

近日,来自中国科学院理化技术研究所与清华大学的联合团队报道了这一领域的最新进展,首次尝试在柔性基板上直接打印制备出了性能优异且稳定的大面积液态金属-碳纳米管晶体管阵列,实现了液态金属墨水与具有优异电学性能及良好电子传输特性的碳纳米管墨水的联合打印。作者在这个领域构建了世界第一个基于液态金属打印的柔性p型晶体管器件; 此外,为了与传统电路设计兼容、降低静态功耗并提高电路噪声容限,作者还通过印刷不同种类的液态金属源漏电极,在柔性基板上同时实现了第一个基于液态金属的n型和双极性晶体管,且两种晶体管均具有与p型器件相媲美的优异性能,打破了目前常温下在环境条件中n型晶体管难以稳定实现的桎梏。尤为突出的是,所有导电类型的晶体管均具有优异的可弯折性及时间稳定性。从这种意义上讲,该成果为进一步构建基于液态金属的大面积印刷集成电路及功能器件奠定了坚实的基础。此项全打印大面积液态金属柔性薄膜晶体管器件的工作,以题为 “Printed Flexible Thin-Film Transistors based on Different Types of Modified Liquid Metal with Good Mobility” 发表在SCIENCE CHINA Information Sciences上(doi: 10.1007/s11432-019-9918-4)。论文第一作者为中科院理化所博士后李倩,共同第一作者为清华大学博士生林聚,通讯作者为中科院理化所研究员及清华大学教授刘静。在整个研发过程中,北京梦之墨HTH官网地址 有限公司给与了大力的协助。

图文导读

Figure 1. 不同种类的掺杂和改性液态金属。

(a) 纯EGaIn和改性后的七种液态金属形貌(分别命名为LM-1~LM-7);

(b) 打印的金属LM-1的能谱表征;

(c) 打印的LM-1,LM-2,LM-3金属元素分布表征;

(d) 液态金属与其他弹性导电材料的对比。

Figure 2. 在柔性基底上打印的大面积液态金属-碳纳米管晶体管阵列。

(a) 柔性晶体管单元器件的结构图;

(b),(c)全打印晶体管阵列;

(d) 沟道区域长度为50 µm。

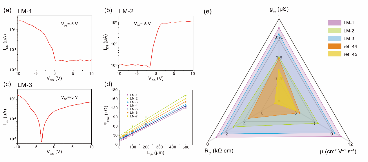
Figure 3. 基于不同改性液态金属电极的晶体管电学性能。

(a) ~(c) 液态金属LM-1,LM-2,LM-3晶体管的传输特性;

(d) 七种改性金属与碳纳米管的接触电阻;

(e) 液态金属晶体管与其他电极晶体管的性能对比。

Figure 4. 基于七种液态金属的晶体管器件的输出特性。(LM-1~LM-7)

Figure 5. 液态金属晶体管器件的稳定性。

(a)–(b) 开关比和场效应迁移率随弯折次数的变化;

(c)-(d) 开关比和场效应迁移率随时间的变化。

七种金属电极晶体管器件均展示出优异的稳定性。

Figure 6 液态金属晶体管器件的均一性。基于七种金属电极的晶体管均展示出优异的性能均一性。

小结

论文首次展示了基于液态金属的大面积印刷柔性晶体管,其中采用七种掺杂改性的液态金属和碳纳米管分别作为器件的电极和半导体沟道,所构建的p型柔性晶体管显示出良好的载流子迁移率(10.61 cm 2 V−1 s−1),优异的可弯折性和时间稳定性。此外,此项工作利用不同的金属电极在环境条件下实现了稳定的n型和双极型晶体管。值得注意的是,所获得三种类型晶体管均显示出优异且稳定的电学性能,其中n型器件具有与p型匹配良好的电学特性针,为进一步构建在大面积柔性集成系统中最受欢迎的低功耗CMOS逻辑电路奠定了关键基石。这一开拓性成果将催生柔性功能器件制造技术,为构建具有中等规模的芯片级性能优异且稳定的柔性液态金属集成电路,以及进一步研发高度灵活性、智能性和可控性的柔性功能电子电路打下坚实的基础。

文献链接

Printed Flexible Thin-Film Transistors based on Different Types of Modified Liquid Metal with Good Mobility”(doi: 10.1007/s11432-019-9918-4)http://engine.scichina.com/doi/10.1007/s11432-019-9918-4

本文由中国科学院理化技术研究所与清华大学的联合团队供稿。

欢迎大家到材料人宣传HTH官网地址 成果并对文献进行深入解读,投稿邮箱: tougao@cailiaoren.com。

投稿以及内容合作可加编辑微信:cailiaorenVIP。

未经允许不得转载:材料牛 » 理化所和清华大学:基于液态金属建立室温打印柔性薄膜晶体管及集成电路新方法

相关文章

Baidu
map