当前位置: 材料牛 » HTH官网地址 » 导读 » 金属所卢磊研究员Acta Materialia.: 预变形引起择优取向纳米孪晶金属非对称循环响应

金属所卢磊研究员Acta Materialia.: 预变形引起择优取向纳米孪晶金属非对称循环响应

【背景介绍】

金属材料及其构件的疲劳失效是指在循环应力幅小于材料的屈服强度的疲劳条件下,由金属内部的缺陷和疲劳损伤积累造成的。传统粗晶(CG)金属由于屈服强度低,其疲劳极限也较低。最近二十年,材料学者对超细晶(UFG)和纳米晶(NC)金属进行广泛而深入的研究,发现它们的强度和疲劳极限都有所提高。然而,循环变形过程中局部晶粒粗化和剪切带等常常发生,具有严重的应变局部化,因此这些材料通常表现出循环软化和较短的(应变控制)疲劳寿命。从安全性角度考虑,这些问题严重限制了高强度纳米金属材料的工程应用。
近期的研究表明,在微米尺寸的晶粒中引入高密度的择优取向纳米孪晶界面,是金属材料获得理想拉伸强度、良好延展性和加工硬化能力等优异力学性能的一种有效策略。在循环载荷作用下,纳米孪晶(NT)金属不仅表现出极高的疲劳极限,还可以显著提高疲劳寿命和抑制疲劳裂纹扩展速率,克服传统粗晶和超细晶结构金属中高周疲劳性能与低周疲劳性能之间的无法兼得的倒置关系。

【成果简介】

近期,中国科学院金属研究所卢磊研究员布朗大学高华健教授团队报道了择优取向纳米孪晶铜(NT-Cu)经预变形处理后表现出的非对称循环响应现象,并研究了其相关机理。在这项工作中,他们对纳米孪晶铜施加小幅度拉伸预应变,引入受限位错,然后进行应变控制的拉压对称循环试验,研究预先引入的受限位错对随后循环变形行为的影响。他们发现,预变形处理后的纳米孪晶铜试样的循环响应具有明显的拉压不对称性,且循环不对称程度随着循环次数的增加或塑性应变幅值的增大而逐渐减弱。在足够大的塑性应变幅度下,预变形后的纳米孪晶铜试样在循环变形后又恢复到其对称循环响应状态。分子动力学模拟和微结构表征同时证明,在拉伸预变形过程中,受限位错的尾部在孪晶界上延伸,形成错配位错,具有明显的结构不对称性,从而引起不对称循环响应。在循环变形过程中,相邻纳米孪晶内部的受限位错的尾部相互连接形成结构对称的项链型关联位错(CND)。CND沿孪晶界来回移动,无定向滑移阻力,引起对称循环响应。相关成果以“Asymmetric cyclic response of tensile pre-deformed Cu with highly oriented nanoscale twins”发表于Acta Mater.期刊上。

【图文摘要】

【图文导读】

图一、NT-,CG-和UFG-Cu的循环对称性
NT-Cu(a)、UFG-Cu(b)和CG Cu(c)在塑性应变幅值(Δεpl/2)为0.05%时,应力-应变滞回环随循环次数的变化。NT-、UFG-和CG-Cu均表现为对称循环响应。

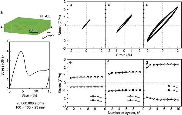
图二、1.5%拉伸预变形后NT-Cu的循环响应
1.5%拉伸预变形应变(a)后,当Δεpl/2为0.02%(b,e),0.05%(c,f)和0.15%(d,g)时,NT-Cu的应力-应变滞回环(b,c,d)和循环应力演化(e,f,g)。预变形引起NT-Cu的不对称循环响应,在循环初始阶段以及小塑性应变幅时更明显。

图三、3%拉伸预变形后NT-Cu的循环响应
3%拉伸预变形应变(a)后,当Δεpl/2为0.02%(b,e),0.05%(c,f)和0.15%(d,g)时,NT-Cu的应力-应变滞回环(b,c,d)和循环应力演化(e,f,g)。预变形引起NT-Cu的不对称循环响应,在循环初始阶段以及小塑性应变幅时更明显。

图四、3%拉伸预变形后UFG-和CG-Cu的循环响应
3%拉伸预变形应变(a)后,当Δεpl/2为0.02%时,UFG-(a,b,c)和CG-Cu(d,e,f)的拉伸预变形的工程应力-应变曲线(a,d)及应力-应变滞回环(b,e)和循环应力演化(e,f)。 UFG-和CG-Cu的不对称响应行为在初始的70个循环周次内迅速消失,恢复到对称状态。

图五、循环周次和应变幅对NT-、UFG-和CG-Cu循环响应的影响
在分别施加1.5%和3%拉伸预变形应变后,NT-Cu(a)、UFG-和CG-Cu(b)的应力比(σmax/∣σmin∣)在不同应变幅值下随循环周次的演化。在较大应变幅下,拉伸预变形引起的NT-Cu的循环不对称性消减更快。

图六、NT-Cu的预拉伸及拉压循环模拟
(a)NT-Cu计算构型及拉伸预变形应力-应变曲线;

(b~d)NT-Cu在循环总应变幅(Δεt/2)为0.5%、1%和2%时的应力-应变滞回环;

(e~g)Δεt/2对循环应力σmaxσmin演化的影响。

图七、NT-Cu和无孪晶Cu循环不对称性的模拟结果
拉伸预变形后,在不同循环总应变幅下,NT-Cu(a)和无孪晶Cu(b)的应力比∣σmax/σmin∣随循环次数的变化。模拟和试验结果一致。

图八、无孪晶Cu的拉伸预变形和拉压循环模拟
(a)无孪晶Cu的计算构型和拉伸预变形应力-应变曲线;

(b~d)无孪晶Cu在循环总应变幅(Δεt/2)为0.5%、1%和2%时的应力-应变滞回环;

(e~g)Δεt/2对循环应力σmaxσmin演化的影响。

图九、拉伸预变形NT-Cu循环不对称机制探讨
(a)1.5%拉伸预变形应变后,以及在Δεpl/2为0.02%(b)和0.15%(c)应变幅下,循环70周次后试样横截面的TEM照片;

(d)双光束衍射斑(g=[-200]M)。拉伸预变形引起的随机分布的受限位错发生关联,形成项链型关联位错(CND)。

图十、不对称循环响应和对称循环响应转变机理示意图
(a~b)拉伸预变形激发具有不对称结构的受限位错,引起不对称循环响应;

(c)黑色箭头表示孪晶界上的错配位错;

(d)受限位错连接形成具有对称结构的关联位错(CND),引起对称循环响应;

(e)黑色箭头表示关联位错。

图十一、压缩预变形NT-Cu循环不对称的MD模拟
(a)压缩预变形的工程应力-应变曲线;

(b)不同循环总应变幅度下NT-Cu的应力比σmax/σmin随循环周次的变化。

【小结】

综上所述,作者通过系统的实验和分子动力学模拟研究了拉伸预变形对择优取向纳米孪晶块体多晶铜循环行为的影响,发现拉伸预变形会引起明显的拉压循环不对称性。在循环变形过程中,拉伸阶段的最大应力比压缩阶段的最小应力的数值大得多。这种由预变形引起的循环不对称性有别于传统金属的包兴格效应。进一步研究发现,拉伸预变形NT-Cu的循环非对称响应是受限位错的不对称结构所致。循环不对称随应变幅和循环次数的增加而减小,受限位错逐渐转化为关联位错。作者认为,预变形引起的循环不对称性不仅加深了对金属疲劳行为的理解,而且可以为设计抗疲劳工程材料与结构提供指导。

文献链接:Asymmetric cyclic response of tensile pre-deformed Cu with highly oriented nanoscale twinsActa Mater. 2019, DOI: https://doi.org/10.1016/j.actamat.2019.06.026)

相关研究文章列表

[1] Q.S. Pan, H.F. Zhou, Q.H. Lu, H.J. Gao, L. Lu, History-independent cyclic response of nanotwinned metals, Nature 551 (2017) 214-217.
[2] Q.S. Pan, L. Lu, Strain-controlled cyclic stability and properties of Cu with highly oriented nanoscale twins, Acta Mater. 81 (2014) 248-257.
[3] J.Z. Long, Q.S. Pan, N.R. Tao, M. Dao, S. Suresh, L. Lu, Improved fatigue resistance of gradient nanograined Cu, Acta Materialia 166 (2019) 56-66.
[4] J.L. Jing, Q.S. Pan, J.Z. Long, N.R Tao, L. Lu, Effect of volume fraction of gradient nanograined layer on high-cycle fatigue behavior of Cu, Scripta Materialia 161 (2019) 74-77.
[5] J.Z.Long, Q.S. Pan, N.R. Tao, L. Lu, Residual stress induced tension-compression asymmetry of gradient nanograined copper, Mater. Res. Lett. 6 (2018) 456-461.
[6] J.Z. Long, Q.S. Pan, N.R. Tao, L. Lu, Abnormal grain coarsening in cyclically deformed gradient nanograined Cu, Scripta Materialia 145 (2018) 99-103.

本文由我亦是行人编译整理。

欢迎大家到材料人宣传HTH官网地址 成果并对文献进行深入解读,投稿邮箱:tougao@cailiaoren.com.

投稿以及内容合作可加编辑微信:cailiaokefu.

未经允许不得转载:材料牛 » 金属所卢磊研究员Acta Materialia.: 预变形引起择优取向纳米孪晶金属非对称循环响应

相关文章

Baidu
map