当前位置: 材料牛 » 业界 » 观点 » 材料人报告|2019年第一季度钙钛矿太阳能电池研究详情分析

材料人报告|2019年第一季度钙钛矿太阳能电池研究详情分析

近年来,有机-无机杂化钙钛矿材料吸引了大批科研学者的研究热情,因为它们具有带隙高度可调,吸收系数高,激子束缚能低和载流子寿命长等诸多优势。更重要的是,这种钙钛矿材料元素储量丰富,价格低廉,且可溶液法加工,非常适合于各种光电器件的制作。作为钙钛矿材料众多光电应用之一,钙钛矿太阳能电池(PSCs)取得了前所未有的巨大成就,其功率转换效率从2009年的3.8%暴增至2019年的24.2%,该效率超过了现有所有薄膜电池的效率记录,并仅次于单晶硅电池的26.7%。有机-无机杂化钙钛矿材料的化学通式为ABX3,其中A通常为一价有机阳离子如MA+、FA+;B代表金属阳离子如Pb2+、Sn2+;X则是一些卤素阴离子如I、Br。PSCs是一种极具革命性的新型光伏技术,它在2013年被《Science Magazine》评为“年度十大突破”之一,2015年被《BP Magazine》评为“改变能源格局的八大技术”之一,2016年被《WEF Magazine》评为“十大新兴技术”之一,2017年被《MIT TR Magazine》评为“年度最引人注目的能源进步”之一,2018年被《Frobes Magazine》评为“未来十年改变人类生活的技术”之一。可以肯定的是,再多的溢美之词来形容这种神奇的材料也不为过。但更令人欣慰的一点是,PSCs研究的高速发展带动了这种“魔法”材料在其他光电领域的进步,例如发光二极管、光子探测器、微型激光器等,这也开启了百花齐放的研究盛世。

今年是PSCs诞辰十周年,短短十年中PSCs取得的阶段性成果显著,这让人们对这项破坏性新型光伏技术的未来充满无限期待。鉴于此,小编根据Web of Science数据对2019年第一季度PSCs相关论文进行了统计,得到的发文数量超过了1128篇,下面小编从不同方面进行的数据解读。

1、不同月份发文数量情况

看图可知,PSCs在2019年第一季度每月的发文数量相差不多,且发文量均超过300篇,这也反映出全球范围内PSCs的研究热情仍然未退却。虽然PSCs已经走完了第一个十年,但其发展势头仍然迅猛,预计整个2019年度PSCs发文量会在3000+。

2、不同期刊发文数量情况

该表统计了第一季度PSCs发文期刊分布情况,显然地,JMCA牢牢把持着头名,可见其比较受PSCs研究学者青睐,而JMCA今年的IF预计将会破10。紧跟其后的是新晋高IF期刊Nano Energy,此刊近年来对PSCs接收较多,IF增长较快,预计今年的IF会上15,属于比较理想投递的刊物。再后面的四种刊物IF相差不多,发文量接近。比较引人瞩目的是ACS Applied Energy Materials的PSCs发文量在不断暴增,该刊创建期较短,目前尚无IF,但文章定位相对较高,预计后期IF会呈现比较可观的数值,这一点与发文量同样突出的Solar RRL很相似。传统的高IF期刊如Advanced Materials和Advanced Functional Materials的PSCs发文量也不少,AM无需多说,IF仍然存在很大的增长空间,倒是AFM的增长空间可能受到内部和外部期刊的压缩。整体而言,多数PSCs发文刊物的IF会大于5,但高IF的PSCs发文量在减少,当然这也是比较符合当前PSCs研究形势的。

3、不同作者和机构发文数量情况

从研究机构单位情况表可以得出,PSCs领域的研究群体十分集中,绝大多数基本被中国研究机构所占据。尤其是,中科院和中科大的发文量占比接近20%,研究非常活跃。中科院下属半导体研究所、大连化学物理研究所、青岛生物能源与过程研究所、上海硅酸盐研究所、福建物质结构研究所、宁波材料技术与工程研究所、苏州纳米技术与纳米仿生研究所和化学研究所等等都在PSCs研究领域发文贡献较多。另外,华中HTH官网地址 大学如同往年一样依然保持较高的PSCs发文量,而北京大学和西安交通大学近年来发文量在不断追赶。就国外研究团队来说,瑞士EPFL和韩国成均馆大学的发文量还是比较有保证的。

从研究作者情况表来看,第一季度黄维和戴松元的PSCs发文占据前两位,产量比较突出。像Kanatzidis、Grätzel、Park、Yabing Qi、Yang Yang和Nazeeruddin等PSCs大牛第一季度发文量也不少,且他们整体的发文IF较高,也反映相对较高的学术地位。最后,受益于全无机、准二维等PSCs概念的密集研究,刘生忠的发文量出现明显的爆发。

4、不同研究主题发文数量情况

由研究主题分布表可以看出,首先,PSCs中有机-无机杂化钙钛矿薄膜的制备仍然占据较大的比重,显然地,钙钛矿薄膜制备工艺的优化是PSCs制作永恒的主题。随着人们对钙钛矿薄膜认识的不断深入,溶剂工程、缺陷钝化工程和晶体生长控制工程等相关工艺层出不穷,高品质的钙钛矿薄膜是实现高效稳定PSCs的关键因素之一。其次,界面接触研究也是相当广泛,总占比超过了20%,不同种类的电子和空穴传输材料相继出现。最后,全无机、非铅和二维钙钛矿基PSCs占比也超过了10%,反映出这些PSCs研究新方向正在快速发展,尤其是全无机钙钛矿基PSCs的发文量十分惊人,因为相较于有机-无机杂化钙钛矿,全无机钙钛矿的预期稳定性要更高。稳定性问题是制约PSCs商业化的严重挑战,全无机钙钛矿的广泛研究很好地迎合了这一点。

5、2019年第一季度Top 10 PSCs文献推荐

(1) Surface passivation of perovskite film for efficient solar cells(https://doi.org/10.1038/s41566-019-0398-2)

近年来,钙钛矿太阳能电池的功率转换效率已经提高到20%以上。寻找有效的缺陷钝化方法被认为是进一步提高钙钛矿太阳能电池功率转换效率和开路电压的有效途径。在这里,我们报道了有机卤化物盐苯乙基碘化铵(PEAI)用于混合钙钛矿薄膜表面缺陷钝化。研究发现PEAI可以通过减少缺陷和抑制非辐射复合而产生更高效的电池,最终获得了具有认证效率高达23.32%(准稳态)的平面钙钛矿太阳能电池。此外,在吸收阈值为1.53 eV时VOC达到了1.18 V,这相当于Shockley-Queisser极限VOC(1.25 V)的94.4%。

点评:效率!效率!!效率!!!全球能把PSCs效率做到23%以上的团队寥寥无几。

(2) Efficient, stable and scalable perovskite solar cells using poly(3-hexylthiophene)(https://doi.org/10.1038/s41586-019-1036-3)

钙钛矿太阳能电池中钙钛矿有源层通常夹在电子和空穴传输材料之间。到目前为止,在这些太阳能电池中只有两种有机空穴传输材料取得了最优异的器件性能:PTAA和Spiro-OMeTAD。然而,这些材料在商业化方面具有若干缺点包括成本高、需要吸湿性掺杂剂以及沉积过程受限。聚(3-己基噻吩)(P3HT)是一种可替代的空穴传输材料,它具有具有优异的光电性能,低成本且易于加工,但到目前为止使用P3HT的钙钛矿太阳能电池效率仅达到约16%。在这里,我们提出了一种使用无掺杂剂P3HT作为空穴传输材料的高效钙钛矿太阳能电池器件架构。另外,通过正己基三甲基溴化铵在钙钛矿表面的原位反应使窄带隙光吸收层的顶部形成薄的宽带隙卤化物钙钛矿层。冠军器件获得了高达22.7%的认证功率转换效率,回滞因子仅为±0.51%。在没有封装的情况下,器件在85%的相对湿度下表现出良好的稳定性。进一步地,未封装器件在室温下1-太阳照射长达1370小时后仍可保持95%的初始效率,显示出优异的运行稳定性。我们采用可扩展的D-Bar涂布法制造大面积模块(24.97平方厘米),并沉积P3HT空穴传输层,器件实现了16.0%的功率转换效率。

点评:目前最高效的PSCs仅限于顺式结构,即在钙钛矿吸光层上部需要沉积空穴传输层(HTMs),而多数的HTMs为有机分子或聚合物。P3HT的优点无须赘述,这项研究将P3HT HTM基PSCs的效率从约16%大幅提升至认证的22.7%,已经足够亮眼!!!另外,Dopant-free HTMs也迎合了实现高效稳定PSCs的发展趋势。

(3) A Eu3+-Eu2+ ion redox shuttle imparts operational durability to Pb-I perovskite solar cells(10.1126/science.aau5701)

金属卤化物钙钛矿吸收剂中具有柔软性质的组分通常在器件制造和操作期间产生铅(Pb)0和碘(I)0缺陷。这些缺陷不仅会充当降低器件效率的复合中心,而且还会诱导分解降低器件寿命。研究表明铕离子对Eu3+-Eu2+充当“氧化还原梭”,可以实现同时氧化Pb0和减少I0缺陷的周期性转变,所得到的器件实现了21.52%(认证20.52%)的功率转换效率(PCE),并且具有显著改善的长期稳定性。器件在1-sun连续照射或85°C加热1500小时后可以保留92%和89%的峰值PCE,而MPP Tracking 500小时后,也可保留91%的原始稳定PCE。

点评:稳定!稳定!!稳定!!!兼具高效率和超高稳定性的PSC,是目前为止85°C条件下PSC的最佳表现。

(4) Chemical stability and instability of inorganic halide perovskites(10.1039/C8EE03559H)

近年来,无机卤化物钙钛矿(IHPs)在光电领域引起了极大的关注。IHP通常预期表现出优于主流有机-无机杂化卤化物钙钛矿的化学稳定性-无机钙钛矿广泛用于各种光电器件如太阳能电池和发光设备,这主要是由于消除了IHP晶体结构中弱键合的有机成分。然而,最近的研究表明IHPs仍然面临化学不稳定的严重问题,因此人们做出很多努力来稳定IHPs以实现高性能设备。在这种背景下,本综述详细总结了过去在这方面取得的研究进展,深入了解了IHPs的稳定和不稳定性,并为未来努力制造稳定的IHP材料和设备提供了洞见。

点评:无机卤化物钙钛矿的研究虽迟于有机-无机杂化卤化物钙钛矿,但发展速度惊人,是目前PSCs研究领域的当红炸子鸡。全无机钙钛矿基PSCs的预期稳定性很高,但实际中仍面临诸多挑战,这篇综述较为完整地总结了过往人们在这方面的努力。

(5)How transport layer properties affect perovskite solar cell performance: insights from a coupled charge transport/ion migration model(1039/C8EE01576G)

本文调查了传输层对钙钛矿太阳能电池性能的影响,特别是异常滞后现象,并制定了一种用于三层平面钙钛矿太阳能电池的耦合离子空位运动和电荷传输模型。实验结果证明使用具有较低介电常数和/或掺杂的材料更换标准传输层材料(Spiro-OMeTAD和TiO2)会导致扫描更严重的扫描速率-滞后差异。这些结果为有机电子传输层可以产生看似“无滞后”的器件但仍表现出低温滞后的现象提供了强有力的解释。在这些装置中,使用低介电常数/掺杂有机传输层导致离子空位迁移率随温度而降低来补偿滞后速率的增加。另外,本文也讨论了通过设计协议来减轻高离子空位分布对电池降解的可能影响。最后,本文描述了设备保持在最大功率点附近的稳态电位特征,这为通过调节传输层特性来减少界面重组和提高性能提供了很好的建议。

点评:PSCs中界面调控一直是PSCs研究的重点,虽然通过大量的努力使PSCs的回滞现象有所缓解,但尚未完全克服。另外,界面传输层对PSCs的稳定性影响同样十分重要。本文提供了一种很好的研究模型来深入探讨界面传输对PSCs的影响。

(6)Room-Temperature Molten Salt for Facile Fabrication of Efficient and Stable Perovskite Solar Cells in Ambient Air(https://doi.org/10.1016/j.chempr.2019.02.025)

在这里,我们报道了一种可替代环境友好型室温熔盐-乙酸甲基铵(MAAc),它可以作为新型溶剂在环境空气中快速制造钙钛矿太阳能电池(PSC)。MAAc具有优异的化学性质,粘度高,蒸气压可忽略不计,并且无毒。氢键作用下甲基铵和铅盐能够完全溶解到MAAc中。即使在相对湿度超过80%条件下采用无反溶剂的简单一步法仍然可以容易地制造出高重现性、致密且无针孔的钙钛矿薄膜。在优化的加工条件下,基于CH3NH3PbI3的平面PSC最大效率为20.05%,平均值功率转换效率为18.42%。另外,未封装设备暴露在环境空气中超过1,000小时仍然保持其原始效率的93%以上。

点评:溶剂很特别,优点很多,且没有毒性;钙钛矿薄膜的制备不需要反溶剂,且加工环境很开放(基本不受限);重现性高,器件效率高。

(7)Flexible quintuple cation perovskite solar cells with high efficiency(1039/C8TA11945G)

柔性钙钛矿太阳能电池(PSC)由于其轻柔和低温加工性而成为最具前景的光伏技术。然而,它们的功率转换效率(PCE)仍远远落后于刚性基板电池。柔性设备PCE的增强仍然面临挑战。在这里,我们开发了两种改进柔性PSC PCE的策略。一种策略是使用五分之一的单价阳离子来获得高质量的钙钛矿薄膜。将铷(Rb)和钾(K)阳离子加入到含有铯、甲基铵和甲脒阳离子的标准钙钛矿膜中以提高高效PSC的薄膜质量。Rb+和K+阳离子的共存可以有效地减少PSC内的复合,从而提高了光伏性能。第二个策略是通过低温原子层沉积在氧化铟锡层(ITO)和氧化锡层之间插入超薄HfO2层。研究发现引入优化的HfO2层后ITO和钙钛矿膜之间的复合得到有效抑制。结果,PEN/ITO上的PSC器件获得高达19.11%的创纪录效率,这是迄今为止报道的柔性PSC的最高PCE。

点评:这是迄今为止报道的柔性PSC的最高PCE。

(8)Reliable Measurement of Perovskite Solar Cells(https://doi.org/10.1002/adma.201803231)

钙钛矿太阳能电池(PSC)由于其高效率和低制造成本而实现了令人难以置信的快速发展,这引起了全世界的强烈关注。然而,对PSC进行可靠的测量是具有挑战性的,这为研究人员进行比较和重现已发布研究结果创造了极大的困难。在此,本文总结了影响PSC评估的主要测量方法和关键因素,如电流-电压测量中的滞后,对光谱和光强不匹配室温太阳光模拟器进行校准,以及计算电流密度和功率转换效率的面积。文中也比较了n-i-p或p-i-n结构PSC在相同的测量方法下表现出不同的响应。最后,本文提供了一些测量建议以帮助研究人员获得接近公共认证机构的可靠测量结果。

点评:虽然PSC的平均效率水平在不断提高,但PSCs的可靠性测试依然十分重要。

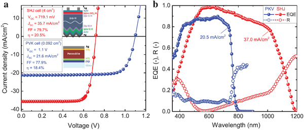
(9)Infrared Light Management Using a Nanocrystalline Silicon Oxide Interlayer in Monolithic Perovskite/Silicon Heterojunction Tandem Solar Cells with Efficiency above 25%(https://doi.org/10.1002/aenm.201803241)

钙钛矿/硅串联太阳能电池有望提高电池效率突破单结晶硅(Si)效率限制。但是,相对于透明导电氧化物和钙钛矿吸收层,Si的光学折射率相对较大,导致单基板(双端)器件中电池内部结处产生显著的反射损失。因此,光管理对于改善Si底部电池中的光电流吸收至关重要。结果表明,使用纳米氧化硅光学插入层可以显著减少平坦硅基串联电池中的红外反射损失。研究证明了110纳米厚折射率为2.6(在800纳米)的中间层可以使硅底电池产生1.4 mA cm-2的电流增益。在AM1.5G下照射,1 cm2冠军钙钛矿/硅串联电池的总电流密度为38.7 mA cm-2和认证稳定功率转换效率为25.2%。

点评:钙钛矿/硅串联太阳能电池被认为是最有希望进行商业化的PSCs技术,牛津光伏认证的效率已经达到28%,超过了晶硅电池的26.7%,是目前的效率世界纪录。本文的研究单位就是牛津光伏。虽然牛津光伏制作出最高效的PSC器件,且控制着全球绝大多数的钙钛矿/硅串联太阳能技术专利,但全球能把钙钛矿/硅串联太阳能电池效率做到25%以上的小组依然很少。

(10)Highly stable carbon-based perovskite solar cell with a record efficiency of over 18% via hole transport engineering(https://doi.org/10.1016/j.jmst.2018.12.025)

与金属对电极相比,碳基钙钛矿太阳能电池由于其低生产成本和优异的空气稳定性而显示出巨大的潜力。然而,碳基PSC虽然在首次报道时显示出令人印象深刻的效率,但进展缓慢。其中一个主要障碍是为最先进的Au基PSC开发的空穴传输材料不适用于碳基PSC。在这里,我们开发了一种低温溶液处理的P3HT/石墨烯复合空穴传输层(HTL),它可与印刷碳电极兼容以产生最先进的钙钛矿设备。空间电荷限制电流测量表明P3HT /石墨烯复合材料具有出色的电荷迁移率和耐热性,空穴迁移率从8.3×10-3 cm2 V-1 s-1(沉积后)增加到1.2×10-2 cm2 V-1 s-1(在100°C退火后)-比纯P3HT大两个量级。与具有纯P3HT HTL的电池相比,复合HTL改进了电荷传输和显着提高了效率。因此,我们报道了碳基太阳能电池的记录效率为17.8%(由Newport认证),且是第一个准稳态认证的钙钛矿电池。在环境条件(湿度:约50%)中储存1680小时(未封装)后,仅有3%的PCE下降,这证明了它出色的装置稳定性。另外,在室温氮气环境中连续1-Sun持续照射600小时(封装)后可保持原始输出的89%。

点评:PSCs中的对电极材料早期研究较多,目前并不是十分密集的关注。但不容忽视的一点是,寻找廉价稳定的对电极材料对于PSCs的商业化至关重要。低温碳材料电极是研究最为广泛的一类,但整体性能仍然无法与通用金属电极器件相比。本文给出了较为亮眼的碳基PSCs认证效率记录,或许能重燃碳基PSCs的研究热情。

往期回顾:

材料人报告 | 百篇最高引花落谁家 —— 戳文看国内详情分析

材料人报告 | 各国在MOFs领域的研究状况分析

材料人报告 | 材料领域引用最高的100篇文章,你读过哪些?

材料人报告丨团队作战效率高:2018年度Nature、Science、AM和JACS研究论文作者数量和单位数量统计

材料人报告丨中国学者在主流材料类期刊的论文贡献(NS出版社系列)

材料人报告| 过去一年 国人在影响因子20以上的期刊上发表了多少篇材料科研论文?

本文由作者bbbbbbioy供稿,材料人编辑部编辑。

欢迎大家到材料人宣传HTH官网地址 成果并对文献进行深入解读,投稿邮箱: tougao@cailiaoren.com.

投稿以及内容合作可加编辑微信:cailiaorenVIP.

未经允许不得转载:材料牛 » 材料人报告|2019年第一季度钙钛矿太阳能电池研究详情分析

相关文章

Baidu
map