【研究背景】
反双极性器件同时存在正跨导和负跨导,在逻辑电路设计中有着广泛的应用前景如倍频器,二进制相/频移键控电路和三值反相器,其优势在于可以简化电路设计,进一步提高芯片集成度。但高性能反双极性器件的制备,一直是一个难题。
近日,天津大学胡晓东、刘晶团队和南加州大学Chongwu Zhou团队,利用一种快速、非易失的光电掺杂方法,实现了任意MoTe2/MoS2异质结器件由双极性到反双极性可控转变,且该反双极性器件展现超高的开关比(达到105 ,相比于之前同行的工作,提升了1-4个数量级)和大的开态电流(mA级)。另外,该反双极性转移特性曲线电导最大点可以随光电掺杂线性可调。基于该反双极性器件,团队设计了可调的多值反相器,有望打破基本的2-bit位限制,实现高密度数据存储。此外,该反双极性异质结器件展现了优异的光伏特性和光电检测性能。该成果以“Photo-Induced Doping to Enable Tunable and High-Performance Anti-Ambipolar MoTe2/MoS2 Heterotransistors”为题在线发表于ACS NANO杂志上,胡晓东教授、张代化教授和刘晶副教授为文章的共同通讯作者,2018级博士生武恩秀和解媛为文章第一作者和共同第一作者。
【图文导读】
图1:器件原理图、表征和电学特性图
a:器件原理图 b:器件SEM图 c:材料拉曼表征图 d:器件本征电学特性图 e:异质结不同栅压下的输出特性曲线
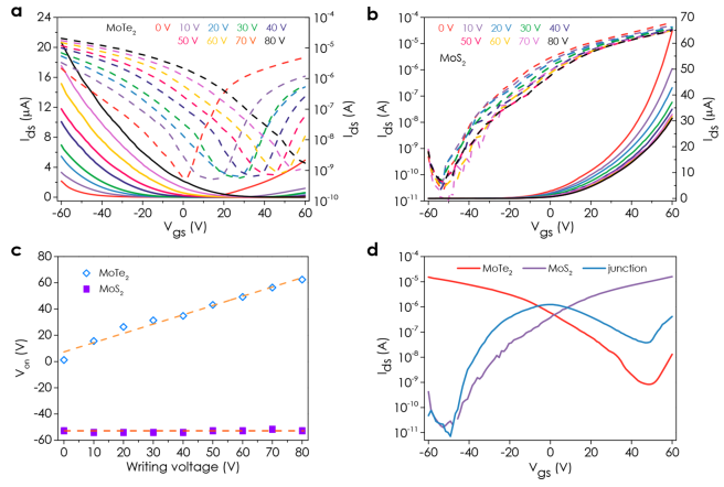
图2:器件在不同光电掺杂程度下的电学特性曲线

a,b:MoTe2和MoS2场效应管在不同光电掺杂程度下的电学特性
c:MoTe2和MoS2场效应管开启电压与掺杂程度的关系图
d: MoTe2,MoS2场效应管及其异质结在光电掺杂后的电学特性
图3:MoTe2/MoS2异质结在不同光电掺杂程度下的电学特性曲线

a,b: MoTe2/MoS2异质结在不同光电掺杂程度下的电学特性
c,d: MoTe2/MoS2异质结开态电流、电导最大值位置和电导最小点位置与掺杂程度的关系图
e,f: MoTe2/MoS2异质结在不同程度掺杂下的输出特性曲线及其整流比变化
图4:基于反双极性器件的多值反相器制备

a:反相器原理图
b:不同源漏电压下,MoTe2场效应管和异质结的电学特性
c:随源漏电压可调的多值反相器
d:反相器增益
图5:基于反双极性器件的光伏器件和光电探测器制备

a:异质结在不同光照强度下的输出特性曲线
b:动态光电检测图
c:光响应度和光灵敏度与光照强度的关系图
d:光电检测速度示意图
【小结】
利用一种快速、非易失的光电掺杂方法,实现了MoTe2/MoS2 反双极性异质结器件制备,并设计了基于该器件的多值反相器和光电探测器
文献DOI和链接:
DOI: 10.1021/acsnano.9b00201
https://pubs.acs.org.ccindex.cn/doi/10.1021/acsnano.9b00201
通讯作者及团队介绍:
胡晓东
天津大学教授。主持国家自然科学基金项目2项,国家973计划课题1项,国家863计划子项目3项,省部级重点项目2项,作为主要参与人完成国家和省部级项目10余项;近年在Science Advances,ACS NANO等国际顶级期刊上来发表学术论文100余篇;已授权发明专利10项,撰写了2项国家标准.
刘晶
2013年11月至今任天津大学精密仪器与光电子工程学院副教授,2006年与2008年分别获得华中HTH官网地址 大学光信息与技术专业学士和硕士学位,2012年12月获得于美国密歇根大学生物医学工程系博士学位。2014年入选天津市第十批青年千人项目,荣获天津大学北洋青年学者骨干教师称号。主要研究方向包括纳米材料器件物理、纳米材料传感器,以及它们在柔性传感、光电检测和临床医疗等领域的应用。2009年至今,在Science Advances,ACS NANO等国际期刊上发表SCI论文40篇,平均影响因子8.73,总引用800余次,h指数15。多次受邀参加国内外学术会议并做大会报告。承担国家自然科学性基金和国家重点研发计划等项目。
课题组微信公众号:TJU_NanoMeasurem
本文由天津大学国家重点实验室胡晓东教授课题组供稿,材料人编辑部编辑
欢迎大家到材料人宣传HTH官网地址 成果并对文献进行深入解读,投稿邮箱: tougao@cailiaoren.com.
投稿以及内容合作可加编辑微信:cailiaorenVIP.





