当前位置: 材料牛 » HTH官网地址 » 导读 » 今日Science石墨烯重大发现:石墨烯中狄拉克流体的量子临界电导率

今日Science石墨烯重大发现:石墨烯中狄拉克流体的量子临界电导率

【引言】

朗道的费米液体理论将经典金属的相互作用电子描述为一种非相互作用准粒子的理想气体。这种理论可能不适用于单层石墨烯,主要是由于石墨烯的线性色散带和最小屏蔽库伦相互作用的影响,使得接近电荷中性的石墨烯应该具有“狄拉克流体”性质,其是一种由相对论流体力学所控制电子和空穴的量子临界等离子体,即无质量电子和空穴之间的快速碰撞。而相对论流体力学一种新奇的结果是在轻掺杂的石墨烯中,电流可以采用总动量为零和非零两种不同的模式,有时被称为能量波和等离子激元。

【成果简介】

加州大学伯克利分校的王峰教授(通讯作者)等人使用片上的太赫兹光谱测量电子温度介于77 K和300 K之间的干净、微米级石墨烯的依赖于频率的光电导率。当电荷是中性时,研究人员观察到狄拉克的量子临界散射速率的特性。在更高掺杂时,研究人员检测到两种不同的载流模式,分别为总动量为零和非零,这是相对论流体力学的一种表现。该工作揭示了石墨烯在电荷中性附近的量子临界性以及不寻常的动态激发特性。2019年4月12日,该成果以题为“Quantum-critical conductivity of the Dirac fluid in graphene”发表于Science上。

【图文导读】
图一 利用片上太赫兹光谱测量石墨烯的电动力学

图二 费米液体状态下石墨烯依赖于频率的光电导率

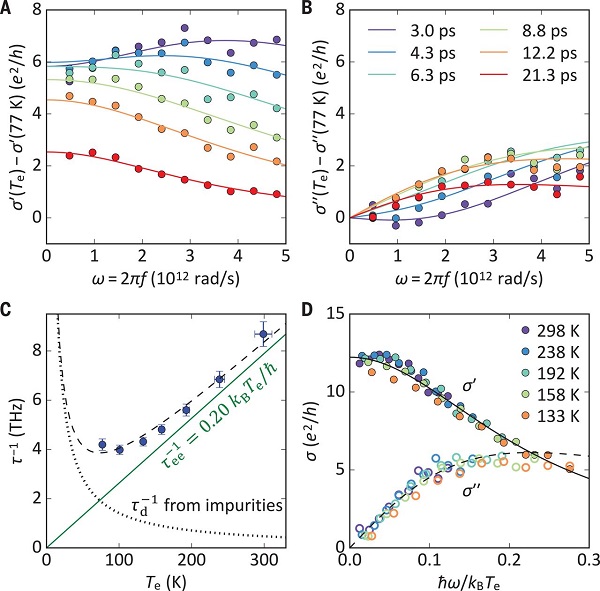
图三 狄拉克流体的量子临界散射率

图四 低掺杂时零动量模和低动量模的共存

文献连接:Quantum-critical conductivity of the Dirac fluid in graphene(Science, 2019, DOI: 10.1126/science.aat8687)

本文由杜成江编译供稿。

欢迎大家到材料人宣传HTH官网地址 成果并对文献进行深入解读,投稿邮箱tougao@cailiaoren.com.

投稿以及内容合作可加编辑微信:cailiaorenvip.

未经允许不得转载:材料牛 » 今日Science石墨烯重大发现:石墨烯中狄拉克流体的量子临界电导率

相关文章

Baidu
map