当前位置: 材料牛 » HTH官网地址 » 导读 » 重庆大学孙立东教授课题组Nano Energy:将太阳能同时转化为电能和热能的“太阳能管”

重庆大学孙立东教授课题组Nano Energy:将太阳能同时转化为电能和热能的“太阳能管”

【前言】

太阳能电池是一种将太阳能直接转化为电能的装置,其单个pn结电池的理论转化效率约为31%(Shockley-Queisser limit);而此类电池对太阳辐照光谱的利用率通常小于50%(主要在紫外和可见光区域),因此单个器件对太阳辐照总能量的利用率小于15%,而大部分能量以热量的形式耗散。鉴于此,开发高度集成的一体化器件,在光电转化的同时收集耗散的热能并进一步利用,是一种提高太阳能整体利用率的有效途径之一。孙立东教授课题组利用金属钛管及表面纳米管涂层,设计开发了“太阳能管”,同时实现光电和光热转化,获得了约25.2%的总能量效率。该研究成果为太阳能的高效利用提供了新思路。

【成果简介】

近日,重庆大学孙立东教授、西南大学张善勇教授(共同通讯作者)等人在Nano Energy发表了题为“A Solar Tube: Efficiently Converting Sunlight into Electricity and Heat”的研究论文。该论文报道了将太阳能同时转化为电能和热能的一体化器件:太阳能管。该研究的亮点为:选择具有等离子体频率较小的金属钛实现将低能量光子向热能的转换;利用钛管表面的纳米管阵列消除涂层开裂,并用作电子收集电极;开发了高透明、高导电性、可转移的PEDOT:PSS/Ag NWs/PEDOT:PSS复合膜,用作管式太阳能电池的透明导电电极。

图文简介

图一:太阳管结构

(a) 太阳辐照光谱;

(b) 典型金属反射率曲线;

(c) 太阳能管结构示意图;

(d) 太阳能电池能级图。

图二:太阳能电池电子传导层优化

(a, e) 钛管表面TiO2致密薄膜/纳米管薄膜示意图;

(b, c, f-h) 钛管表面TiO2致密薄膜/纳米管薄膜SEM图;

(d) 相应太阳能电池J-V曲线。

图三:太阳能电池透明导电电极

(a) 透明导电电极示意图;

(b-c) 透明导电电极SEM图;

(d) 可见光透过率曲线;

(e) 透明导电电极性能比较图。

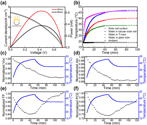
图四:太阳能管性能曲线

(a) 管式太阳能电池J-V曲线;

(b) 管式集热器Tt曲线;

(c-f) 管式一体化器件性能曲线。

论文链接:

Xiang, C.; Zhao, X.; Tan, L.; Ye, J.; Wu, S.; Zhang, S.; Sun, L., A solar tube: Efficiently converting sunlight into electricity and heat. Nano Energy 2019, 55, 269-276. https://www.sciencedirect.com/science/article/pii/S2211285518308048

本文由重庆大学孙立东教授课题组供稿,材料人编辑部编辑。

投稿以及内容合作可加编辑微信:cailiaorenvip。

欢迎大家到材料人宣传HTH官网地址 成果并对文献进行深入解读,投稿邮箱tougao@cailiaoren.com。

未经允许不得转载:材料牛 » 重庆大学孙立东教授课题组Nano Energy:将太阳能同时转化为电能和热能的“太阳能管”

相关文章

Baidu
map