【引言】
近年来,纳米玻璃的发现使得非晶态金属或金属玻璃领域更为丰富。纳米玻璃具有长度尺度在几纳米的内部结构特征,可通过局域自由体积和化学组成的显著变化来表征。现有研究发现,纳米玻璃的结构和传统方法制备得到的金属玻璃有着显著差异。通常认为纳米玻璃的结构包含两个不同的非晶态区域,从而引发一系列显著不同于快冷金属玻璃的力学、热学和磁性能。因此,纳米玻璃作为一种新的非晶固态材料,在众多结构和功能应用中具有着开创性的机遇和潜力。
【成果简介】
近日,德国卡尔斯鲁厄理工学院的Yulia Ivanisenko研究员(第一作者兼通讯作者)和Horst Hahn研究员(通讯作者)在Advanced Engineering Materials上发表了题为“Structure and Properties of Nanoglasses”的综述文章。此篇综述的基本结构如下:首先描述了纳米玻璃背后的基础概念;接着对其合成和制备路径作了总结,证明纳米玻璃原子结构的显著差异;最后,说明纳米玻璃的结构不均匀性是如何导致其性能的剧烈变化的。
【图文导读】
图1:基于Gleiter等人的工作,图示纳米晶材料和纳米玻璃的缺陷和化学显微结构之间的类比。

图2:径向分布函数的示意图:无序原子结构,计算得到的对分布函数和计算得到的径向分布函数。

图3:纳米束衍射序列acquisition的示意图,后续进行RDF处理以得到RDF立方体。

图4:TEM显微形貌表征。

(a)未过滤的TEM图像;
(b)相应的Ti的EFTEM分布;
(c)相应的Ni的EFTEM分布;
(d)Ni50Ti45Cu5薄膜的叠加彩图;
(e)非晶态Ni50Ti45Cu5结构的HRTEM图像。
图5:凝聚态物质的Voronoi多面体。

(a)面心立方晶格中原子周围的多面体;
(b)面心立方格子相应的Voronoi多面体是一个菱形十二面体;
(c)展开多面体可以看到12个菱面体,从而给出Voronoi指数<0,12,0,0>;
(d)在非晶态Cu64Zr36中以Cu为中心的二十面体单元;
(e)(d)图中对应的Voronoi多面体是正十二面体;
(f)将(e)图经展开平铺后得到12个五边形面。
图6:纳米玻璃的TEM表征。

(a)Cu50Zr50非晶态纳米颗粒的TEM图像,内插图表示通过SAED确定粉末的非晶态本质;
(b)HRTEM图像显示纳米玻璃为无晶相区域的非晶态结构,相应的衍射模式间内插图。
图7:Ni50Ti45Cu5磁控溅射薄膜的显微结构。

(a)1μm厚的薄膜表面形貌的SEM图像;
(b)在Si/SiO2基底上沉积得到的薄膜,经FIB制备的横截面STEM图像。
图8:初级Fe90Sc10非晶态纳米颗粒中Fe和Sc分布情况的EELS分布图。

(a)STEM图像;
(b)Fe的分布图;
(c)Sc的分布图;
(d)将(b)和(c)叠加得到的图像,红色代表Fe,绿色代表Sc;
(e)分子动力学模拟结果表明,由于表面偏析效应,在IGC方法制备形成的非晶态球体中存在成分差异;
(f)分子动力学模拟得到直径尺寸在6-8nm的Cu50Zr50非晶态球体。
图9:Fe25Sc75纳米玻璃的RDF分布表示结构涨落及其与元素偏析之间的关联。

(a)STEM-HAADF图像;
(b)在RDF分布中发现的两种典型RDF,可描述两类成分相的不同原子堆积情况;
(c)成分1(绿色)包含更多的Sc-Sc键,因此表示富Sc环境,而成分2(红色)包含更多的Fe-Sc键,表示富Fe环境;
(d)相分布表示尺寸在5-8纳米的两种成分相的团簇类型分布;
(e)两相的RGB分布;
(f)相同样品的STEM-EELS分布。
图10:Cu50Zr50纳米玻璃样品的成分分布情况。

(a)尖端为Cu50Zr50纳米玻璃样品制备的原子探针图像;
(b)沿(a)图箭头方向表示的Cu和Zr的成分分布。
图11:分子动力学模拟得到的Cu50Zr50纳米玻璃的显微结构。

(a)成分定义的显微结构;
(b)原子根据其von Mises剪切应变涂色,表示短程序变化定义的显微结构;
(c)剪切后原子在合成过程的轻微变化和显著变化。
图12:原始和被压缩的Fe90Sc10非晶态纳米颗粒的小角X射线散射结果。

(a)SAXS谱中,背景散射已被减去;
(b)ln[l(q)·q4]-q2图确定原始和被压缩的非晶态纳米颗粒的厚度。
图13:通过熔融纺丝和内部气相凝聚(IGC)制备得到的非晶态Fe90Sc10合金的RDF。

图14:熔体甩带的带材(a)和纳米玻璃(b)的低温Mossbauer谱。

图15:设想中的纳米玻璃结构的模型示意图。

图16:晶态材料,金属玻璃和两种纳米玻璃的自由能状态。

图17:快淬带材和纳米玻璃在压痕应变速率为0.05s-1时测得的典型纳米压痕曲线。

图18:制得的纳米玻璃和周围有明显剪切带的熔体甩带的带材中压痕的SEM成像。

图19:纳米玻璃和快冷玻璃的拉伸实验。

(a)纳米玻璃和快冷块体玻璃的拉伸应力应变曲线;
(b)测试后的快冷玻璃拉伸试样;
(c)记录视频中提取的画面;
(d)测试后的纳米玻璃拉伸试样;
(e)同为测试后的纳米玻璃拉伸试样,内插图为选区衍射图像。
图20:Cu50Zr50快冷带材和纳米玻璃的DSC图。

DSC测试表示出玻璃转变和结晶温度。纳米玻璃的结晶温度要高于快冷带材。
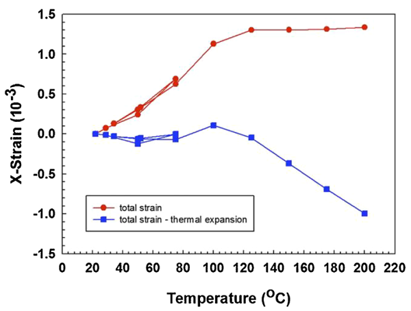
图21:Fe25Sc75纳米玻璃的热应变和初始热膨胀测量过程中出现的体积损失。

【小结】
纳米玻璃被视为新型的结构调整过的金属玻璃,表现出一系列快冷金属玻璃中未出现的新奇性质。不同的结构和性质是由于纳米玻璃具有完全不同的制备路径。纳米玻璃通常是经过在高压下室温合并非晶态颗粒。纳米玻璃的原子结构包含两种具有显著差异的非晶态区域,一种和快冷玻璃的结构相同,另一种表现出更大的自由体积,且伴随着中程序增加。这种特殊的原子结构导致纳米玻璃和同成分的快冷块体金属玻璃相比,会产生不同的力学、热学和磁学性质。
总的来说,纳米玻璃是非晶态材料家族中新奇有趣的一类,因而在多中结构和功能性应用中有着巨大的潜力。然而,要想愿望成真,还需要对纳米玻璃的结构及结构-性能关系进行深入理解。另外,为使工业界的纳米玻璃材料能可持续的制造,在发展制备技术方面应该加大力度。
文献链接:Structure and Properties of Nanoglasses(Adv. Eng. Mater.,2018,DOI:10.1002/adem.201800404)
本文由材料人金属材料组Isobel供稿,材料牛整理编辑。
欢迎大家到材料人宣传HTH官网地址 成果并对文献进行深入解读,投稿邮箱tougao@cailiaoren.com。
投稿以及内容合作可加编辑微信:cailiaorenvip
材料人重磅推出材料计算解决方案,组建了一支来自全国知名高校老师及企业工程师的HTH官网地址 顾问团队,专注于为大家解决各类计算模拟需求。如果您有需求,欢迎扫以下二维码提交您的需求,或直接联系微信客服(微信号:cailiaoren001)






