当前位置: 材料牛 » HTH官网地址 » 导读 » 浙江大学 张兴宏 Macromolecules: 双组分有机催化剂用于高活性和选择性合成具有高分子量的线性聚(γ-丁内酯)

浙江大学 张兴宏 Macromolecules: 双组分有机催化剂用于高活性和选择性合成具有高分子量的线性聚(γ-丁内酯)

【研究背景介绍】

        由于不可生物降解或不可回收的商业聚合物而导致的白色污染,对人类和自然界其他物种的生存都造成了极大的危害,所以开发一种具有绿色生命周期的可循环聚合物是生产生活所期望的,但仍然是一个巨大的挑战。目前主要是通过寻求可再生单体和开发高活性催化剂两个方面以制备出可降解的聚合物。
         近年来,研究人员发现生物质衍生物γ-丁内酯(γ-BL)的开环聚合(ROP)是生产可循环聚合物的一种新兴的方法。在2016年,Hong和Chen等报道的一项里程碑式的研究,研究了γ-BL的开环聚合(ROP)过程,在低反应温度下使用金属(La,Y)配合物作为催化剂(-40至-60 ℃)(Nat. Chem. 2016, 8, 42−49); 同时,也报导了γ-BL的无金属ROP工艺,使用1-叔丁基-4,4,4-三(二甲基氨基)-2,2-双[三(二甲基氨基)亚磷酰基氨基] – 2λ5,4λ5磷腈 (Angew. Chem., Int. Ed. 2016, 55, 4188−4193.), 超强碱(pKa:42.6 在CH3CN中; 30.2 在DMSO中)作为催化剂。其中,两种催化方法对于γ-BL的ROP都提供了具有26.7-30.0 kg/mol的数均分子量(Mns,GPC)的线性和环状聚(γ-丁内酯)(PγBLs)的混合物。Li和Liu等人也报道了使用新公开的环状三聚磷腈碱(CH3CN中 pKa = 33.3)选择性合成Mns高达22.9 kg/mol的PγBLs,可以显著减少大环PγBL的产生。(Angew. Chem., Int. Ed. 2017, 56, 12987−12990.; Polym. Chem. 2018, 9, 2936−2941.)。聚合物的机械性能与其分子量(MW)和拓扑结构密切相关。对于PγBLs而言,高MW和线性结构对于改善机械性能是有利的,而大环聚合物引起较少的链缠结并因此削弱机械性能。之前的研究发现,活性链的阴离子与链中的羰基位点的发生链回咬反应,产生的大环PγBL降低了其MW。因此,开发出能够抑制链回咬反应的高活性催化剂提高其分子量很具有挑战性。

【成果简介】

近日,浙江大学的张兴宏教授(通讯作者)等人开发了用于γ-BL的ROP的双组分有机催化剂,使用具有给电子基团的对称(硫)脲来调控由超强碱磷腈(P4)产生的阴离子的亲核性。选择性地合成了线性PγBLs,具有高反应活性,并且数均分子量高达64.3 kg/mol。这些P4/(硫代)脲对催化过程的转换频率高达125 h-1。高分子量PγBLs显示出显着改善的机械性能。研究成果以题为“Dual Organocatalysts for Highly Active and Selective Synthesis of Linear Poly(γ-butyrolactone)s with High Molecular Weights”发布在国际著名期刊Macromolecules上。

【图文解读】

图一、研究了不同硫脲结构对于γ-BL的ROP的影响,选出最优化合物。

Scheme 1.  P4联合(硫代)脲对γ-BL的作用。(a)(硫代)脲的调控作用,用于抑制醇盐中的阴离子的反应。(b)各种(硫)脲。具有给电子基团的TU-3-TU-7,U-1和U-2对于γ-BL的ROP更好。

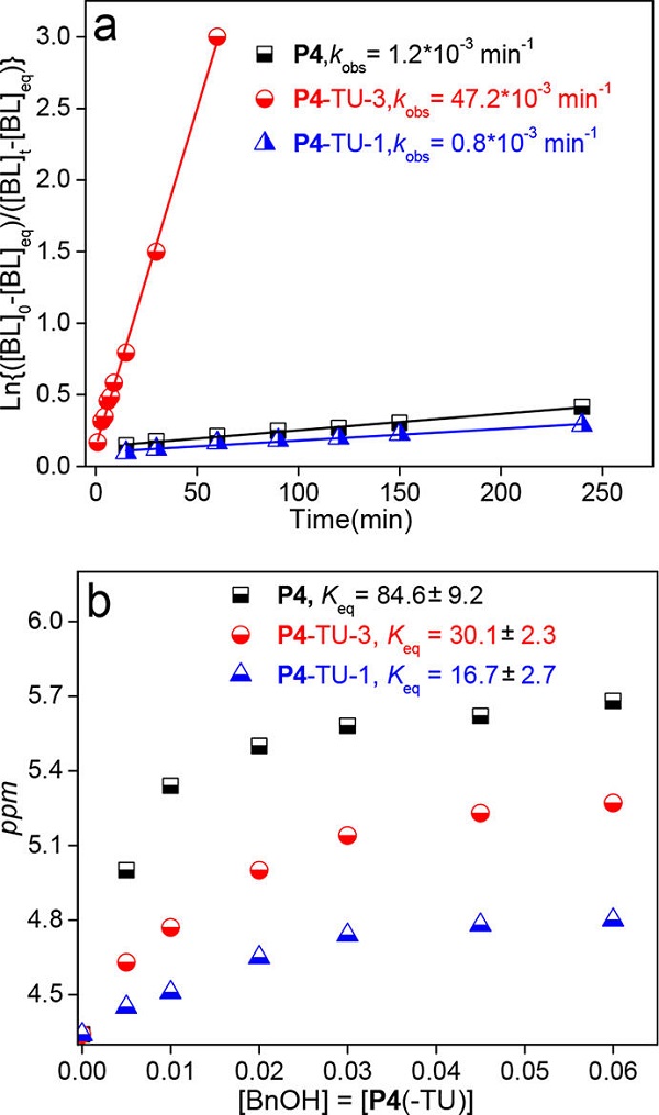
图二、通过动力学研究揭示了TU-3对P4催化的γ-BL的ROP的活性的影响(Figure 1a)。检测了使用P4 / TU-3对的γ-BL的ROP的动力学,并且使用单独P4和P4/TU-1对作为对照。 单独P4的BnOH的平衡常数为84.6 ± 9.2,P4/TU-3对为30.1 ± 2.3,而在25 ℃时C6D6中的P4/TU-1对的平衡常数为16.7 ± 2.7 (Figure 1b),表明生成的BnO 的碱性顺序为P4 > P4/TU-3 > P4/TU-1。
Figure 1. (a){-[BL]0-[BL]eq/([BL]t – [BL]eq)}对-40 ℃ γ-BL的ROP时间的一阶图-BL/P4/BnOH = 300/1/1; γ-BL/P4/TU-3 /BnOH = 300/1/1/1; γ-BL/P4/TU-1/BnOH = 300/1/1/1。(b)结合体系的化学位移与C6D6中25 ℃的BnOH和P4(-TU),[BnOH] = [P4(-TU)]浓度的化学位移图。

图三、通过NMR技术检测TU-3,P4和BnOH的相互作用,进一步探讨了TU-3在P4催化的γ-BL ROP中的作用。31P NMR(Figure 2a)和1H NMR光谱(Figure S3)显示P4以化学计量方式完全去质子化TU-3。 因此,P4/TU-3离子对可以形成为方案2中的种类。当引入具有比TU-3和P4小得多的pKa的BnOH时(红线,Figure 2b),可以去质子化。
Figure 2. (a)P4,P4/TU-3(1/0.5),P4/TU-3(1/1)的31P NMR光谱; (b) C6D6中BnOH,BnOH/P4(1/1),BnOH/P4/TU-3(1/1/1),BnOH/P4/TU-1(1/1/1)的1H NMR光谱。

图四、P4/TU-3离子对可以形成为Scheme 2中的种类(1)。当引入具有比TU-3和P4小得多的pKa的BnOH时(红线,Figure 2b),它可以去质子化。通过氢键相互作用提供与TU3结合的BnO-,在Scheme 2中产生物质(2)。
Scheme 2. 用P4/TU-3对提出γ-BL的ROP机理。

图五、在1.0当量TU-3存在下,α-OBn,ω-OH- 终止聚合物(BnO- [C(= O)CH2CH2CH2O]n + H + K+)的一个主要分布(Figure 3a),通过对比在不存在TU-3的情况下,在低MW区域中观察到相当大量的大环聚合物([C(= O)CH2CH2CH2O]n + K+)(Figure 3b)。
Figure 3. (a)γ-BL/ P4/ TU-3/ BnOH = 300/ 1/ 1/ 1(Mn:3.5 kg/ mol,GPC),(b)γ-BL/ P4合成的PγBLs的MALDI-TOF MS谱/ BnOH = 300/ 1/ 1(Mn:3.8 kg/ mol,GPC)。

图六、为了证明PγBLs的MWs对力学性能的影响,比较研究了不同MWs的PγBLs的应力-应变行为。Figure 4所示,Mn为42.5 kg/mol的PγBL的极限拉伸强度在室温下的断裂伸长率为183.5%,拉伸强度为16.3 MPa,而Mn为18.5 kg / mol的PγBL表现出来。失效应变仅为8.5%,抗拉强度为8.6 MPa。
Figure 4. 在室温下,50 mm/min,Mn为18.5 kg/mol(蓝线)和42.5 kg/mol(红线)的PγBLs的应力-应变曲线。合成条件与entries 2和Table 2中的条件相同。重复热处理降低了纯PγBLs的Mn。

【总结】

通过研究已经证明了使用商业上可获得的P4和各种给电子基团取代的(硫)脲,可以实现γ-BL的高活性和选择性ROP用于合成高MW线性PγBLs。这是一种不含金属的聚合方法,即使在P4的低负载下也具有高活性和选择性。高MW的PγBLs表现出极大改进的机械性能。通过(硫)脲与P4的相互作用产生有机酸碱调控体系,可以调控生长的阴离子并在氢键作用下活化γBL。双组分有机催化剂完美地反映了阴阳哲学原理(限制和促进彼此平衡的两个因素)。扩展各种(硫代)脲和开发商业上可获得的和低成本的(硫代)脲(尤其是脲)相对于金属催化剂是很有竞争力,并且是非常值得特别关注。

文献链接:Dual Organocatalysts for Highly Active and Selective Synthesis of Linear Poly(γ-butyrolactone)s with High Molecular Weights(Macromolecules, 2018, DOI: 10.1021/acs.macromol.8b01757)

通讯作者简介:

张兴宏,教授,博士生导师,高分子科学与工程学系副系主任。
主持国家自然科学基金项目5项,中国博士后自然科学基金一等资助项目1项,浙江省自然科学基金项目1项;浙江省HTH官网地址 厅社会公益技术项目1项;获2016年浙江省杰出青年基金项目;承担香港建滔化工集团、德国巴斯夫委托的国内外研究课题多项。在Nature communications, Angew Chem., Accounts of Chemical Research, Chemical Science, Macromolecules, J. Polym. Sci. Part A: Polym. Chem.和Polymer等国内外期刊发表70篇论文;受邀撰写英文专著3章(Wiley和Elsevier出版社);授权发明专利20余项(含美国专利2项)。

个人主页:https://person.zju.edu.cn/xinghongzhang

本文由材料人高生组、纳米组的小胖纸编译,材料人整理编辑。

欢迎大家到材料人宣传HTH官网地址 成果并对文献进行深入解读,投稿邮箱: tougao@cailiaoren.com.

投稿以及内容合作可加编辑微信:cailiaokefu.

 

未经允许不得转载:材料牛 » 浙江大学 张兴宏 Macromolecules: 双组分有机催化剂用于高活性和选择性合成具有高分子量的线性聚(γ-丁内酯)

相关文章

Baidu
map